医療用医薬品 詳細表示

ビブラマイシン錠50mg/ビブラマイシン錠100mg

処方せん医薬品

添付文書番号
企業コード
作成又は改訂年月
日本標準商品分類番号
薬効分類名
承認等
一般的名称
2.禁忌(次の患者には投与しないこと)
3.組成・性状
3.1組成
3.2製剤の性状
4.効能又は効果
5.効能又は効果に関連する注意
6.用法及び用量
7.用法及び用量に関連する注意
8.重要な基本的注意
9.特定の背景を有する患者に関する注意
9.1合併症・既往歴等のある患者
9.3肝機能障害患者
9.5妊婦
9.6授乳婦
9.7小児等
9.8高齢者
10.相互作用
10.2併用注意(併用に注意すること)
11.副作用
11.1重大な副作用
11.2その他の副作用
12.臨床検査結果に及ぼす影響
13.過量投与
14.適用上の注意
15.その他の注意
15.1臨床使用に基づく情報
16.薬物動態
16.1血中濃度
16.2吸収
16.5排泄
16.6特定の背景を有する患者
17.臨床成績
17.1有効性及び安全性に関する試験
18.薬効薬理
18.1作用機序
18.2抗菌作用
19.有効成分に関する理化学的知見
22.包装
23.主要文献
24.文献請求先及び問い合わせ先
26.製造販売業者等

ビブラマイシン錠50mg/ビブラマイシン錠100mg

添付文書番号

6152004F1074_3_04

企業コード

672212

作成又は改訂年月

2024年3月改訂(第2版)
2022年2月改訂

日本標準商品分類番号

876152

薬効分類名

テトラサイクリン系抗生物質

承認等

ビブラマイシン錠50mg

販売名コード

YJコード

6152004F1074

販売名英語表記

Vibramycin Tablets 50mg

販売名ひらがな

びぶらまいしんじょう50mg

承認番号等

承認番号

21900AMX01457

販売開始年月

1976年12月

貯法・有効期間

貯法

室温保存

有効期間

3年

基準名

日本薬局方

ドキシサイクリン塩酸塩錠

ビブラマイシン錠100mg

販売名コード

YJコード

6152004F2089

販売名英語表記

Vibramycin Tablets 100mg

販売名ひらがな

びぶらまいしんじょう100mg

承認番号等

承認番号

21900AMX01507

販売開始年月

1976年9月

貯法・有効期間

貯法

室温保存

有効期間

3年

基準名

日本薬局方

ドキシサイクリン塩酸塩錠

一般的名称

ドキシサイクリン塩酸塩水和物

2. 禁忌(次の患者には投与しないこと)

本剤の成分又はテトラサイクリン系抗生物質に対し過敏症の既往歴のある患者

3. 組成・性状

3.1 組成

ビブラマイシン錠50mg

有効成分1錠中
日局 ドキシサイクリン塩酸塩水和物   50mg(力価)
添加剤乳糖水和物、カルメロースカルシウム、トウモロコシデンプン、ヒドロキシプロピルセルロース、ステアリン酸マグネシウム、ヒプロメロース、マクロゴール、酸化チタン、流動パラフィン、タルク、カルナウバロウ、サラシミツロウ

ビブラマイシン錠100mg

有効成分1錠中
日局 ドキシサイクリン塩酸塩水和物   100mg(力価)
添加剤乳糖水和物、カルメロースカルシウム、トウモロコシデンプン、ヒドロキシプロピルセルロース、ステアリン酸マグネシウム、ヒプロメロース、マクロゴール、酸化チタン、流動パラフィン、タルク、カルナウバロウ、サラシミツロウ

3.2 製剤の性状

ビブラマイシン錠50mg

外形(mm)
識別コードPT096
色調等白色
フィルムコーティング錠

ビブラマイシン錠100mg

外形(mm)
識別コードPT097
色調等白色
フィルムコーティング錠

4. 効能又は効果

  • 〈適応菌種〉

    ドキシサイクリンに感性のブドウ球菌属、レンサ球菌属、肺炎球菌、淋菌、炭疽菌、大腸菌、赤痢菌、肺炎桿菌、ペスト菌、コレラ菌、ブルセラ属、Q熱リケッチア(コクシエラ・ブルネティ)、クラミジア属

  • 〈適応症〉

    表在性皮膚感染症、深在性皮膚感染症、リンパ管・リンパ節炎、慢性膿皮症、外傷・熱傷及び手術創等の二次感染、乳腺炎、骨髄炎、咽頭・喉頭炎、扁桃炎、急性気管支炎、肺炎、慢性呼吸器病変の二次感染、膀胱炎、腎盂腎炎、前立腺炎(急性症、慢性症)、尿道炎、淋菌感染症、感染性腸炎、コレラ、子宮内感染、子宮付属器炎、眼瞼膿瘍、涙嚢炎、麦粒腫、角膜炎(角膜潰瘍を含む)、中耳炎、副鼻腔炎、歯冠周囲炎、化膿性唾液腺炎、猩紅熱、炭疽、ブルセラ症、ペスト、Q熱、オウム病

5. 効能又は効果に関連する注意

  • 〈咽頭・喉頭炎、扁桃炎、急性気管支炎、感染性腸炎、中耳炎、副鼻腔炎〉

    「抗微生物薬適正使用の手引き」を参照し、抗菌薬投与の必要性を判断した上で、本剤の投与が適切と判断される場合に投与すること1)

6. 用法及び用量

通常成人は初日ドキシサイクリン塩酸塩水和物として1日量200mg(力価)を1回又は2回に分けて経口投与し、2日目よりドキシサイクリン塩酸塩水和物として1日量100mg(力価)を1回に経口投与する。
なお、感染症の種類及び症状により適宜増減する。

7. 用法及び用量に関連する注意

  • 〈コレラ、ペスト、ブルセラ症、Q熱〉
    1. 7.1 投与開始時期、投与量、投与期間、併用薬等について国内外の学会のガイドライン等、最新の情報を参考にし、投与すること。
  • 〈炭疽〉
    1. 7.2 投与開始時期、投与量、投与期間、併用薬等について国内外の学会のガイドライン等、最新の情報を参考にし、投与すること。
    2. 7.3 体重45kg以上の小児においては、成人と同量を投与できる。体重45kg未満の小児においては体重換算に基づき適切な量を投与すること2)
    3. 7.4 炭疽の発症及び進展抑制には、米国疾病管理センター(CDC)が、60日間の投与を推奨している3)
  • 〈クラミジア感染症〉
    1. 7.5 本剤の投与期間は原則として14日間とし、必要に応じ更に投与期間を延長する。

8. 重要な基本的注意

  1. 8.1 本剤の使用にあたっては、耐性菌の発現等を防ぐため、原則として感受性を確認し、疾病の治療上必要な最小限の期間の投与にとどめること。
  2. 8.2 投与が長期にわたる場合には、定期的に肝機能、腎機能、血液等の検査を行うことが望ましい。

9. 特定の背景を有する患者に関する注意

9.1 合併症・既往歴等のある患者

  1. 9.1.1 食道通過障害のある患者

    食道潰瘍を起こすおそれがある。

  2. 9.1.2 経口摂取の不良な患者又は非経口栄養の患者、全身状態の悪い患者

    観察を十分に行うこと。ビタミンK欠乏による出血傾向があらわれることがある。

9.3 肝機能障害患者

肝機能障害を悪化させるおそれがある。

9.5 妊婦

妊婦又は妊娠している可能性のある女性には、治療上の有益性が危険性を上回ると判断される場合にのみ投与すること。妊娠後半期の投与により、胎児に一過性の骨発育不全、歯牙の着色・エナメル質形成不全を起こすことがあり、また、動物実験(ラット)で胎仔毒性が認められている4)

9.6 授乳婦

授乳しないことが望ましい。母乳中へ移行することが報告されている。

9.7 小児等

他の薬剤が使用できないか、無効の場合にのみ適用を考慮すること。小児等(特に歯牙形成期にある8歳未満の小児等)に投与した場合、歯牙の着色・エナメル質形成不全、また、一過性の骨発育不全を起こすことがある。,

9.8 高齢者

高齢者には、次の点に注意し、用量並びに投与間隔に留意するなど患者の状態を観察しながら慎重に投与すること。

  1. 9.8.1 一般的に生理機能が低下していることが多く副作用が発現しやすい。
  2. 9.8.2 ビタミンK欠乏による出血傾向があらわれることがある。

10. 相互作用

    10.2 併用注意(併用に注意すること)

    薬剤名等臨床症状・措置方法機序・危険因子

    カルシウム、マグネシウム、アルミニウム、鉄剤、ビスマス塩

    本剤の吸収が低下し、効果が減弱するおそれがある。

    金属イオンとテトラサイクリンがキレートを形成することにより腸管からの吸収が阻害される。

    抗凝血剤(ワルファリン等)

    血漿プロトロンビン活性が抑制されることがある。
    プロトロンビン時間の延長の報告がある。

    機序は不明であるがTC系抗生物質によりビタミンK産生性の腸内細菌叢を抑制し、ビタミンK欠乏を引き起こすことに起因すると考えられる。

    カルバマゼピン、フェニトイン、リファンピシン、バルビツール酸誘導体

    本剤の血中濃度半減期が短縮することがある。

    これらの薬剤が肝臓の薬物代謝酵素の誘導作用を有することによる。

    スルホニル尿素系血糖降下薬(グリクロピラミド、グリベンクラミド、グリメピリド等)

    血糖降下作用が増強することがある。

    オキシテトラサイクリンがインスリンの半減期を延長したり、エピネフリンの作用を阻害することにより、インスリンの作用を増強するためと考えられている。
    またインスリンに対する膵臓外の反応の増加による血糖値の低下も示唆されている。

    経口避妊薬(デソゲストレル・エチニルエストラジオール、ノルエチステロン・エチニルエストラジオール、レボノルゲストレル・エチニルエストラジオール等)

    経口避妊薬の効果を減弱させるおそれがある5),6)

    本剤は腸内細菌叢を変化させ、経口避妊薬の腸肝循環による再吸収を抑制すると考えられる。

    11. 副作用

    次の副作用があらわれることがあるので、観察を十分に行い、異常が認められた場合には投与を中止するなど適切な処置を行うこと7)

    11.1 重大な副作用

    1. 11.1.1 ショック(頻度不明)、アナフィラキシー(呼吸困難、血管神経性浮腫等)(頻度不明)
    2. 11.1.2 中毒性表皮壊死融解症(Toxic Epidermal Necrolysis:TEN)(頻度不明)、皮膚粘膜眼症候群(Stevens-Johnson症候群)(頻度不明)、剥脱性皮膚炎(頻度不明)
    3. 11.1.3 薬剤性過敏症症候群(頻度不明)

      初期症状として発疹、発熱がみられ、更に肝機能障害、リンパ節腫脹、白血球増加、好酸球増多、異型リンパ球出現等を伴う遅発性の重篤な過敏症状があらわれることがあるので、観察を十分に行い、このような症状があらわれた場合には投与を中止し、適切な処置を行うこと。投与中止後も発疹、発熱、肝機能障害等の症状が再燃あるいは遷延化することがあるので注意すること8)

    4. 11.1.4 偽膜性大腸炎(頻度不明)

      偽膜性大腸炎等の血便を伴う重篤な大腸炎があらわれることがあるので、腹痛、頻回の下痢があらわれた場合には投与を中止し、適切な処置を行うこと。

    5. 11.1.5 肝炎(頻度不明)、肝機能障害(頻度不明)、黄疸(頻度不明)

    11.2 その他の副作用

    1%以上

    1%未満

    頻度不明

    肝臓

    AST、ALTの上昇

    消化器

    食欲不振、悪心・嘔吐

    腹痛、下痢、口内炎、舌炎

    膵炎、食道潰瘍、食道炎、嚥下障害、消化不良、腸炎、肛門周囲炎

    血液

    顆粒球減少、血小板減少、溶血性貧血、好酸球増多

    循環器

    潮紅、低血圧、心膜炎、末梢性浮腫、頻脈

    腎臓

    BUN上昇

    *過敏症

    発疹(斑状丘疹性皮疹、紅斑性発疹を含む)

    発熱、蕁麻疹、光線過敏症(爪甲剥離症を含む)、多形紅斑、固定薬疹

    皮膚

    色素沈着a)

    筋・骨格系

    関節痛、筋肉痛

    その他

    頭蓋内圧上昇(嘔吐、頭痛、複視、うっ血乳頭、大泉門膨隆等)に伴う症状、ビタミンK欠乏症状(低プロトロンビン血症、出血傾向等)、ビタミンB群欠乏症状(舌炎、口内炎、食欲不振、神経炎等)、全身性エリテマトーデスの悪化、血清病、耳鳴

    a:長期投与における発現。

    12. 臨床検査結果に及ぼす影響

    テトラサイクリン系薬剤は蛍光法による尿中カテコールアミン測定に干渉することが知られている。従って、実際よりも臨床検査値上高値を呈することがある。

    13. 過量投与

    1. 13.1 処置

      本剤は蛋白結合率が高いため、透析による除去は有効でない。

    14. 適用上の注意

    14.1 薬剤交付時の注意

    1. 14.1.1 PTP包装の薬剤はPTPシートから取り出して服用するよう指導すること。PTPシートの誤飲により、硬い鋭角部が食道粘膜へ刺入し、更には穿孔をおこして縦隔洞炎等の重篤な合併症を併発することがある。
    2. 14.1.2 食道に停留し、崩壊すると、まれに食道潰瘍を起こすことがあるので、多めの水で服用させ、特に就寝直前の服用等には注意すること。

    15. その他の注意

    15.1 臨床使用に基づく情報

    ビブラマイシンの吸収は食物やミルクと同時に摂取しても血中濃度の上昇がやや緩徐になりピークが遅れるものの、吸収には影響を受けない。従ってビブラマイシンは食事とともに投与することができる9)

    16. 薬物動態

    16.1 血中濃度

    ドキシサイクリン塩酸塩水和物は経口投与により、速やかに吸収され有効血中濃度を長時間持続する。このために本剤は1日1回投与することにより、1日数回の投与を必要とする他のテトラサイクリン系の薬剤に匹敵する効果が得られる。健常成人に本剤200mg経口投与後、最高血中濃度は2~4時間後に得られ、約3μg/mLの値になる10)。また血中濃度半減期は11~13時間である11)

    16.2 吸収

    ドキシサイクリン塩酸塩水和物は、ミルクや食物との同時摂取により血中濃度のピークが遅れるものの吸収が妨げられることはない9)

    16.5 排泄

    本剤200mg経口投与後の尿中排泄率は、投与後24時間以内で15~30%である10)

    16.6 特定の背景を有する患者

    1. 16.6.1 腎機能障害患者

      テトラサイクリンは、腎機能障害患者に通常用量を用いると血中濃度半減期が延長し、連用により体内に蓄積して高窒素血症を起こすことがあるが、ドキシサイクリン塩酸塩水和物はこの様な患者に投与した場合でも血中濃度半減期が有意に延長することなく、通常用量を連続投与しても過剰蓄積をきたさず、また、BUNの上昇を認めないと報告されている12),13)

    17. 臨床成績

    17.1 有効性及び安全性に関する試験

    1. 17.1.1 国内試験

      二重盲検比較試験を含め、国内118施設で実施された経口剤による原因菌別疾患別臨床効果の概要は以下のとおりである。

      1. (1) ブドウ球菌、レンサ球菌等グラム陽性菌による感染症(扁桃炎、乳腺炎、気管支炎等)に対する有効率:73.9%(357/483)
      2. (2) 淋菌、肺炎桿菌、大腸菌等グラム陰性菌による感染症(腎盂腎炎、膀胱炎、子宮内感染、淋疾等)に対する有効率:71.2%(306/430)
    2. 17.1.2 国内臨床試験

      国内17施設で実施されたクラミジア属による疾患別臨床効果の概要は以下のとおりである14)

      1. (1) クラミジア・トラコマチスによる尿道炎に対する有効率:97.8%(88/90)
      2. (2) クラミジア・トラコマチスによる子宮頸管炎に対する有効率:90.0%(9/10)
      3. (3) クラミジア・シッタシによるオウム病に対する有効率:100%(15/15)
    3. 17.1.3 炭疽、コレラ、ペスト、ブルセラ症、Q熱を対象とした臨床試験は実施していない。

    18. 薬効薬理

    18.1 作用機序

    ドキシサイクリン塩酸塩水和物の作用は細菌の蛋白合成阻害による。

    18.2 抗菌作用

    ドキシサイクリン塩酸塩水和物は、in vitroでグラム陽性菌、グラム陰性菌、クラミジア属及びQ熱リケッチアに対し優れた抗菌力を示す3),15),16),17),18),19)
    ドキシサイクリン塩酸塩水和物の抗菌スペクトルは、他のテトラサイクリン系抗生物質とほぼ同様であるが、抗菌力は黄色ブドウ球菌を含むグラム陽性菌に対して、より強力に作用する20)

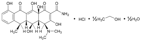
    19. 有効成分に関する理化学的知見

    一般的名称

    ドキシサイクリン塩酸塩水和物(Doxycycline Hydrochloride Hydrate)

    化学名

    (4S,4aR,5S,5aR,6R,12aS)-4-Dimethylamino-3,5,10,12,12a-pentahydroxy-6-methyl-1,11-dioxo-1,4,4a,5,5a,6,11,12a-octahydrotetracene-2-carboxamide monohydrochloride hemiethanolate hemihydrate

    分子式

    C22H24N2O8・HCl・½C2H6O・½H2O

    分子量

    512.94

    性状

    ドキシサイクリン塩酸塩水和物は、黄色~暗黄色の結晶又は結晶性の粉末である。水又はメタノールに溶けやすく、エタノール(99.5)に溶けにくい。

    化学構造式

    力価

    ドキシサイクリン塩酸塩水和物の力価は、ドキシサイクリン(C22H24N2O8)としての量を質量(力価)で示す。

    略号

    DOXY

    22. 包装

    • 〈ビブラマイシン錠50mg〉

      100錠[10錠(PTP)×10]

    • 〈ビブラマイシン錠100mg〉

      100錠[10錠(PTP)×10]

    23. 主要文献

    1) 厚生労働省健康局結核感染症課編:抗微生物薬適正使用の手引き

    2) CDC.:MMWR Morb Mortal Wkly Rep. 2001;50(41):889-893

    3) CDC.:MMWR Morb Mortal Wkly Rep. 2001;50(42):909-919

    4) 小澤 光 監訳.:妊娠期・授乳期医薬品の安全度判読事典 初版 西村書店. 1992;365

    5) Back,D.J.et al.:Br J Clin Pharmacol. 1988;25(5):527-532

    6) Back,D.J.et al.:J Steroid Biochem. 1982;16(3):407-413

    7) 厚生省薬務局:医薬品副作用情報. 1975;(13):1

    8) 厚生労働省:重篤副作用疾患別対応マニュアル 薬剤性過敏症症候群

    9) 大久保 滉ほか.:Chemotherapy(Tokyo). 1969;17(2):216-219

    10) 深谷 一太.:Jpn J Antibiot. 1977;30(8):619-621

    11) 上田 泰ほか.:Chemotherapy(Tokyo). 1969;17(2):177-184

    12) Klinger,W.et al.:Progress in Antimicrobial and Anticancer Chemotherapy. 1970;Vol.I:605-608

    13) 山作 房之輔ほか.:治療. 1973;55(7):1543-1548

    14) 社内資料:クラミジア感染症に対する塩酸ドキシサイクリンの臨床試験成績 [L20041115148]

    15) 相楽 裕子.:日本内科学会雑誌. 1997;86(11):2052-2057

    16) Smith,M.D.et al.:Antimicrob Agents Chemother. 1995;39(9):2153-2154

    17) Trujillano-Martin,I.et al.:Antimicrob Agents Chemother. 1999;43(1):194-195

    18) Hall,W.H.et al.:Appl Microbiol. 1970;20(4):600-604

    19) Gikas,A.et al.:Antimicrob Agents Chemother. 2001;45(11):3276-3278

    20) 中沢 昭三ほか.:Chemotherapy(Tokyo). 1969;17(2):123-128

    24. 文献請求先及び問い合わせ先

    ファイザー株式会社

    Pfizer Connect/メディカル・インフォメーション
    〒151-8589 東京都渋谷区代々木3-22-7

    TEL 0120-664-467

    26. 製造販売業者等

    26.1 製造販売元

    ファイザー株式会社

    東京都渋谷区代々木3-22-7

    〒100-0013 東京都千代田区霞が関3-3-2 新霞が関ビル

    画面を閉じる

    Copyright © Pharmaceuticals and Medical Devices Agency, All Rights reserved.