医療用医薬品 詳細表示

トコフェロールニコチン酸エステルカプセル200mg「ホリイ」

処方せん医薬品以外の医薬品

添付文書番号
企業コード
作成又は改訂年月
日本標準商品分類番号
薬効分類名
承認等
一般的名称
3.組成・性状
3.1組成
3.2製剤の性状
4.効能又は効果
6.用法及び用量
9.特定の背景を有する患者に関する注意
9.5妊婦
9.6授乳婦
9.7小児等
11.副作用
11.2その他の副作用
14.適用上の注意
16.薬物動態
16.1血中濃度
16.2吸収
17.臨床成績
17.1有効性及び安全性に関する試験
18.薬効薬理
18.1作用機序
18.2脂質代謝改善作用
18.3微小循環系賦活作用
18.4血小板凝集抑制作用
18.5血中酸素分圧上昇作用
19.有効成分に関する理化学的知見
20.取扱い上の注意
22.包装
23.主要文献
24.文献請求先及び問い合わせ先
26.製造販売業者等

トコフェロールニコチン酸エステルカプセル200mg「ホリイ」

添付文書番号

2190006M2250_1_02

企業コード

710068

作成又は改訂年月

2023年12月改訂(第1版)

日本標準商品分類番号

87219

薬効分類名

微小循環系賦活剤

承認等

トコフェロールニコチン酸エステルカプセル200mg「ホリイ」

販売名コード

YJコード

2190006M2250

販売名英語表記

Tocopherol Nicotinate Capsules

販売名ひらがな

とこふぇろーるにこちんさんえすてるかぷせる200みりぐらむほりい

承認番号等

承認番号

30200AMX00065000

販売開始年月

2020年6月

貯法・有効期間

貯法

室温保存

有効期間

3年

一般的名称

トコフェロールニコチン酸エステルカプセル

3. 組成・性状

3.1 組成

トコフェロールニコチン酸エステルカプセル200mg「ホリイ」

有効成分1カプセル中 トコフェロールニコチン酸エステル   200mg
添加剤グリセリン脂肪酸エステル、ゼラチン、濃グリセリン、D-ソルビトール、酸化チタン、パラオキシ安息香酸エチル、パラオキシ安息香酸プロピル、黄色5号

3.2 製剤の性状

トコフェロールニコチン酸エステルカプセル200mg「ホリイ」

剤形軟カプセル剤
色調だいだい色
外形
(楕円球)
大きさ長径約12.8mm
短径約7.7mm
質量約455mg
識別コードHR210(PTPシート)

4. 効能又は効果

  • 下記に伴う随伴症状
    高血圧症
  • 高脂質血症
  • 下記に伴う末梢循環障害
    閉塞性動脈硬化症

6. 用法及び用量

通常成人には、1日3カプセルを3回に分けて経口投与する。なお、年齢、症状により適宜増減する。
なお、トコフェロールニコチン酸エステルとしての用法及び用量は、通常成人1日300~600mgを3回に分けて経口投与する。

9. 特定の背景を有する患者に関する注意

9.5 妊婦

妊婦又は妊娠している可能性のある女性には、治療上の有益性が危険性を上回ると判断される場合にのみ投与すること。

9.6 授乳婦

治療上の有益性及び母乳栄養の有益性を考慮し、授乳の継続又は中止を検討すること。

9.7 小児等

小児等を対象とした臨床試験は実施していない。

11. 副作用

次の副作用があらわれることがあるので、観察を十分に行い、異常が認められた場合には投与を中止するなど適切な処置を行うこと。

11.2 その他の副作用

0.1~5%未満

0.1%未満

頻度不明

消化器

食欲不振、胃部不快感、胃痛、悪心、下痢、便秘

過敏症

発疹

肝臓

肝機能障害(AST、ALTの上昇等)

その他

温感、潮紅

顔面浮腫、浮腫

発現頻度は副作用発生頻度調査結果に基づく。

14. 適用上の注意

14.1 薬剤交付時の注意

PTP包装の薬剤はPTPシートから取り出して服用するよう指導すること。PTPシートの誤飲により、硬い鋭角部が食道粘膜に刺入し、更には穿孔をおこして縦隔洞炎等の重篤な合併症を併発することがある。

16. 薬物動態

16.1 血中濃度

  1. 16.1.1 単回投与

    健康成人男子12名にトコフェロールニコチン酸エステルとして6001)mgを食後単回経口投与後、未変化体及びトコフェロール濃度を測定した。
    未変化体は投与後6時間で最高血漿中濃度(Cmax=0.615μg/mL)を示し、以後、消失半減期4.3時間で速やかに減少した。また、トコフェロール濃度(内因性トコフェロール濃度を除したもの)は投与後10時間で最高血漿中濃度(Cmax=1.62μg/mL)を示し、以後、消失半減期38.5時間で緩徐に減少した1)

  2. 16.1.2 生物学的同等性試験

    トコフェロールニコチン酸エステルカプセル200mg「ホリイ」とユベラNソフトカプセル200mgを、クロスオーバー法によりそれぞれ1カプセル(トコフェロールニコチン酸エステル200mg)健康成人男子に食後単回経口投与して血漿中トコフェロールニコチン酸エステル濃度を測定し、得られた薬物動態パラメータ(AUC、Cmax)について統計解析を行った結果、両製剤の生物学的同等性が確認された2)

    AUC0-10

    (μg・hr/mL)

    Cmax
    (μg/mL)

    Tmax
    (hr)

    T1/2
    (hr)

    トコフェロールニコチン酸エステルカプセル200mg 「ホリイ」

    1.394
    ±0.199

    0.362
    ±0.059

    4.94
    ±0.43

    1.45
    ±0.12

    ユベラNソフトカプセル200mg

    1.323
    ±0.181

    0.390
    ±0.062

    4.19
    ±0.37

    1.39
    ±0.12

    (mean±S.E.、n=16)

    血漿中濃度並びにAUC、Cmax等のパラメータは、被験者の選択、体液の採取回数・時間等の試験条件によって異なる可能性がある。

16.2 吸収

  1. 16.2.1 食事の影響

    健康成人男子4名にトコフェロールニコチン酸エステルとして6001)mgを経口投与した結果、食後服用は空腹時服用に比べ、最高血漿中濃度は32倍、AUCは29倍高い値を示した。本剤の吸収には食事が強く影響する3)

1) 本剤の承認された用法及び用量は「通常成人1日300~600mgを3回に分けて経口投与する。」である。

17. 臨床成績

17.1 有効性及び安全性に関する試験

  1. 17.1.1 二重盲検試験(高血圧症)

    二重盲検試験において高血圧症の随伴症状の改善が認められた。特に手足のしびれ感、めまい感、首すじや肩のこり、不眠、耳鳴、息切れ、抑うつ、四肢冷感などの随伴症状を改善した4),5)

  2. 17.1.2 一般臨床試験(高脂質血症)

    高脂質血症を対象とした一般臨床試験において、本剤投与2カ月後の臨床成績は、投与前の各検査値に比し、総コレステロール高値例では有意な減少が、HDL-コレステロール低値例では有意な上昇が認められ、過酸化脂質は有意な減少が認められた6)

18. 薬効薬理

18.1 作用機序

ビタミンE製剤であり、次のような作用を示す。
・コレステロール、中性脂肪、リン脂質等の脂質代謝を改善する。
・血管壁に直接作用して、微小循環系の持続的な血流増加を示す。
・細胞膜構造の安定化とともに、毛細血管の脆弱化を改善する。
これらを利用して、臨床的には高脂質血症や閉塞性動脈硬化に伴う末梢循環障害などに用いられる7)

18.2 脂質代謝改善作用

ヒトの血中総コレステロールを低下させ、リポ蛋白代謝において血中HDL-コレステロールを上昇させる6)

18.3 微小循環系賦活作用

  1. 18.3.1 本薬の微小循環系賦活作用は、神経系を介さず、血管平滑筋に直接作用し、血管運動性を維持しながら耳殼血流を増加させることが無麻酔ウサギの実験で認められている8)
  2. 18.3.2 ヒトの末梢循環不全に対する改善作用は、ビタミンEとニコチン酸との併用よりも明らかに優れている9)

18.4 血小板凝集抑制作用

  1. 18.4.1 ヒトの凝集能が亢進している血小板に対するアドレナリン凝集、アラキドン酸凝集、コラーゲン凝集、ADP凝集のいずれにおいても血小板凝集抑制が認められている10)
  2. 18.4.2 ヒトの多血小板血漿に対するアラキドン酸凝集、コラーゲン凝集において血小板凝集抑制作用をトコフェロールニコチン酸エステル、トコフェロール酢酸エステル、トコフェロールで比較した結果、トコフェロールニコチン酸エステルが強力な抑制効果を示した11)

18.5 血中酸素分圧上昇作用

ヒトにおいて低下した血中酸素分圧を上昇させることが認められている12)

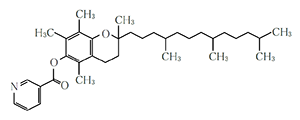
19. 有効成分に関する理化学的知見

一般的名称

トコフェロールニコチン酸エステル(Tocopherol Nicotinate)

化学名

2,5,7,8-Tetramethyl-2-(4,8,12-trimethyltridecyl)chroman-6-yl nicotinate

分子式

C35H53NO3

分子量

535.80

性状

黄色~橙黄色の液体又は固体である。
エタノール(99.5)に溶けやすく、水にほとんど溶けない。
エタノール(99.5)溶液(1→10)は旋光性を示さない。
光によって変化する。

化学構造式

20. 取扱い上の注意

PTP包装はアルミピロー包装開封後、バラ包装は開栓後、高温、湿気を避けて遮光して保存すること。高温、湿気によりカプセルが軟化することがある。

22. 包装

100カプセル[10カプセル(PTP)×10]
1,200カプセル[10カプセル(PTP)×120]
600カプセル[バラ、ガラス瓶、乾燥剤入り]

24. 文献請求先及び問い合わせ先

堀井薬品工業株式会社 安全性情報部

〒540-0038 大阪市中央区内淡路町1丁目2番6号

TEL 06-6942-3487
FAX 06-6942-1505

26. 製造販売業者等

26.1 製造販売元

堀井薬品工業株式会社

大阪市中央区内淡路町1丁目2番6号

〒100-0013 東京都千代田区霞が関3-3-2 新霞が関ビル

画面を閉じる

Copyright © Pharmaceuticals and Medical Devices Agency, All Rights reserved.