医療用医薬品 詳細表示

プロスタンディン点滴静注用500μg

処方せん医薬品

添付文書番号
企業コード
作成又は改訂年月
日本標準商品分類番号
薬効分類名
承認等
一般的名称
2.禁忌(次の患者には投与しないこと)
3.組成・性状
3.1組成
3.2製剤の性状
4.効能又は効果
6.用法及び用量
8.重要な基本的注意
9.特定の背景を有する患者に関する注意
9.1合併症・既往歴等のある患者
9.5妊婦
9.6授乳婦
9.7小児等
9.8高齢者
11.副作用
11.1重大な副作用
11.2その他の副作用
14.適用上の注意
16.薬物動態
16.1血中濃度
16.3分布
16.4代謝
16.5排泄
17.臨床成績
17.1有効性及び安全性に関する試験
18.薬効薬理
18.1作用機序
19.有効成分に関する理化学的知見
20.取扱い上の注意
22.包装
23.主要文献
24.文献請求先及び問い合わせ先
25.保険給付上の注意
26.製造販売業者等

プロスタンディン点滴静注用500μg

添付文書番号

2190402D2092_2_03

企業コード

730119

作成又は改訂年月

2023年8月改訂(第1版)

日本標準商品分類番号

87219

薬効分類名

プロスタグランジンE1製剤

承認等

プロスタンディン点滴静注用500μg

販売名コード

YJコード

2190402D2092

販売名英語表記

PROSTANDIN for Intravenous Infusion 500μg

販売名ひらがな

ぷろすたんでぃんてんてきじょうちゅうよう500μg

承認番号等

承認番号

22400AMX00135

販売開始年月

1987年9月

貯法・有効期間

貯法

室温保存

有効期間

3年

一般的名称

注射用アルプロスタジル アルファデクス

2. 禁忌(次の患者には投与しないこと)

  1. 2.1 重症の動脈硬化症及び心あるいは脳に高度な循環障害のある患者[低血圧により症状が悪化するおそれがある。]
  2. 2.2 重症の肝疾患、腎疾患のある患者[低血圧により症状が悪化するおそれがある。]
  3. 2.3 非代償性の高度の出血、ショック状態及び呼吸不全の患者、未治療の貧血患者[低血圧により症状が悪化するおそれがある。]
  4. 2.4 妊婦又は妊娠している可能性のある女性
  5. 2.5 本剤の成分に対し過敏症の既往歴のある患者

3. 組成・性状

3.1 組成

プロスタンディン点滴静注用500μg

有効成分1バイアル中
アルプロスタジル アルファデクス  
(アルプロスタジルとして   500μg )
添加剤1バイアル中
マルトース水和物 100mg

3.2 製剤の性状

プロスタンディン点滴静注用500μg

剤形用時溶解して用いる凍結乾燥注射剤(バイアル)
pH3.5~5.5
(本品1バイアルを生理食塩液5mLに溶かした液)
浸透圧比1.2~1.3
(本品1バイアルを生理食塩液5mLに溶かした液)
性状白色の塊又は粉末

4. 効能又は効果

  • 下記における外科手術時の低血圧維持
    高血圧症または軽度の虚血性心疾患を合併する場合
  • 外科手術時の異常高血圧の救急処置

6. 用法及び用量

通常成人には本品1バイアル(アルプロスタジルとして500μg)を輸液100mLに溶解し毎分5~10μg(0.1~0.2μg/kg/分)の注入速度で点滴静注を開始する。血圧の下降に注意しながら目的とする血圧まで下げ、以後それを維持できる点滴速度に調節する。低血圧を維持するためには通常毎分2.5~10μg(0.05~0.2μg/kg/分)を必要とする。

8. 重要な基本的注意

  1. 8.1 本剤の作用には個人差があるので血圧を頻回に測定するとともに、患者の全身状態を十分に管理しながら慎重に投与すること。
  2. 8.2 低血圧を必要とする手術ではECG、導尿等により心機能や腎機能を監視すること。
  3. 8.3 呼吸抑制があらわれることがあるので、呼吸管理に注意すること。
  4. 8.4 本剤の過剰投与により著明な低血圧をきたした場合には本剤の投与を中止して、麻酔を浅くし、体位変換、気道内圧の減少等の処置を行うこと。また、その他の副作用があらわれた場合にはすみやかに投与速度を遅くするか又は投与を中止すること。
  5. 8.5 術後は患者の血圧が完全に回復するまで管理を行うこと。

9. 特定の背景を有する患者に関する注意

9.1 合併症・既往歴等のある患者

  1. 9.1.1 心不全のある患者

    心不全の増強傾向があらわれるとの報告があるので、観察を十分に行い、慎重に投与すること。

  2. 9.1.2 緑内障、眼圧亢進のある患者

    動物実験(ウサギ)で眼圧上昇が報告されている1)

  3. 9.1.3 ステロイド服用中の患者

    急性副腎不全を起こすおそれがある。

  4. 9.1.4 衰弱患者

    状態が悪化するおそれがある。

9.5 妊婦

妊婦又は妊娠している可能性のある女性には投与しないこと。アルプロスタジルには子宮収縮作用が認められている2)

9.6 授乳婦

治療上の有益性及び母乳栄養の有益性を考慮し、授乳の継続又は中止を検討すること。

9.7 小児等

小児等を対象とした臨床試験は実施していない。

9.8 高齢者

低用量から投与を開始するなど患者の状態を観察しながら慎重に投与すること。一般に生理機能が低下している。

11. 副作用

次の副作用があらわれることがあるので、観察を十分に行い、異常が認められた場合には投与を中止するなど適切な処置を行うこと。

11.1 重大な副作用

  1. 11.1.1 ショック(頻度不明)

11.2 その他の副作用

5~10%未満

5%未満

頻度不明

循環器

心電図異常(ST上昇・低下、T波逆転・平低化)、頻脈、不整脈

低血圧

注射部

静脈炎

肝臓

AST・ALTの上昇等

その他

タキフィラキシー

尿量減少、PaO2低下

14. 適用上の注意

14.1 薬剤投与時の注意

本剤は輸液以外の薬剤とは別経路で投与すること。患者の血圧の変化に応じて本剤の投与速度を適宜調節する必要がある。

16. 薬物動態

16.1 血中濃度

  1. 16.1.1 手術患者

    手術患者6例に平均0.116μg/kg/分1)を静脈内持続投与し、動脈血を採取してRIA法により血漿中濃度を測定すると、PGE濃度は投与前値214±25pg/mLから投与開始2.5分後には408±55pg/mLと有意に上昇し、その後平均400pg/mLを維持し、投与終了2.5分後には277±125pg/mLと急速に低下した3)

  2. 16.1.2 ICU患者

    ICUへ入室しSwan-Ganzカテーテルを挿入した正常肺動脈圧患者(平均肺動脈圧25mmHg以下、5例)にPGE1を20~40ng/kg/分1)で持続投与し、1時間後肺動脈血と末梢動脈血を同時に採取して、血中PGE1濃度をRIA(ラジオイムノアッセイ法)にて測定すると、肺動脈血は916pg/mL、末梢動脈血は172pg/mLであった。また、PGE1肺内代謝率を100×(1-末梢動脈血濃度/肺動脈血濃度)%として表現したとき、肺内代謝率は77.6%であった4)

  3. 16.1.3 健康成人

    健康成人にPGE1 60μg1)を2時間静脈内持続注入したとき、注入後5分以内に血漿中PGE1濃度は4.5pg/mLに増加し、持続注入終了時まで持続した。終了後血漿レベルは速やかに減少し、投与終了10分後の血漿中PGE1濃度は2.5pg/mL、2時間後には1.3pg/mLであった。また、半減期は0.2分(α相)と8.2分(β相)であった5)。(外国人データ)

16.3 分布

雄性ラットに3H-PGE114C-CDを静脈内投与したとき、投与5分後の3Hの臓器内放射能分布は、肝臓16.8%、小腸6.0%、腎臓5.6%、大腸1.7%であり、14Cの臓器内放射能分布は、肝臓3.7%、腎臓3.1%、小腸3.0%、大腸2.1%であった。また、雄性ラットに3H-PGE114C-CDを1日1回7日間静脈内投与した場合、PGE1及びCDとも各臓器への蓄積は認められない6)

16.4 代謝

雄性ラットに3H-PGE114C-CDを静脈内投与したとき、投与後数分間でPGE1の大部分は代謝物の13,14-dihydro 15-keto PGElとして血液中に存在し、CDはほとんど代謝を受けることなくそのまま血液中に存在する6)

16.5 排泄

雄性ラットに3H-PGE114C-CDを静脈内投与したとき、投与24時間以内に3H-PGE1は投与量の30~40%が尿中に、25~30%が糞中に排泄され、14C-CDは代謝を受けずに、そのままの形で92~98%が尿中に排泄され、糞中への排泄は0.4%以下であった6)

1) 本剤の承認用量は、「通常成人には本品1バイアル(アルプロスタジルとして500μg)を輸液100mLに溶解し毎分5~10μg(0.1~0.2μg/kg/分)の注入速度で点滴静注を開始する。血圧の下降に注意しながら目的とする血圧まで下げ、以後それを維持できる点滴速度に調節する。低血圧を維持するためには通常毎分2.5~10μg(0.05~0.2μg/kg/分)を必要とする。」である。

17. 臨床成績

17.1 有効性及び安全性に関する試験

  1. 17.1.1 国内比較臨床試験1

    高血圧症又は虚血性心疾患合併患者の低血圧麻酔及び術中異常高血圧患者322例を対象に、トリメタファン及び非投与群を対照として比較臨床試験を行った。本剤は、0.05~0.4μg/kg/分の速度で点滴静注を行った2)。有効性として血圧下降・出血量減少、調節性として調節のしやすさ及び安全性として心電図所見・尿量維持、特に高血圧性心疾患又は虚血性心疾患を合併する患者については心電図所見を中心に安全性が確認され、これらを総合評価した本剤の有用率は、高血圧合併例では61%(40/66例)、虚血性心疾患合併例では63%(25/40例)、術中異常高血圧例では63%(36/57例)であった。副作用は、7.4%(12/163例)にみられ、発現した副作用は血管炎11例、タキフィラキシー1例であった7)

  2. 17.1.2 国内比較臨床試験2

    低血圧麻酔を必要とし、虚血性心疾患又は高血圧性心疾患合併患者86例を対象に、非投与群を対照として比較臨床試験を行った。本剤は、0.1~0.2μg/kg/分の速度で点滴静注を開始し、0.05~0.4μg /kg/分の範囲で調節した。その結果、有効性、安全性及び調節性などを総合評価した本剤の有用率は78.0%(32/41例)であった。副作用は、7.3%(3/41例)にみられ、発現した副作用は、投与部位の発赤、接合部調律及びST低下/上昇が各1例であった8)

  3. 17.1.3 国内臨床試験

    比較臨床試験を含む臨床試験350例において、低血圧麻酔における血圧下降の有効率は80%(187/234例)、出血量減少の有効率は70%(160/230例)、術中異常高血圧における血圧下降度の有効率は83%(96/116例)であった。副作用は10.8%(38/352例)にみられ、主な副作用は血管炎23件、ST低下4件、頻脈4件及び不整脈4件であった9)

2) 本剤の用法・用量は、「通常成人には本品1バイアル(アルプロスタジルとして500μg)を輸液100mLに溶解し毎分5~10μg(0.1~0.2μg/kg/分)の注入速度で点滴静注を開始する。血圧の下降に注意しながら目的とする血圧まで下げ、以後それを維持できる点滴速度に調節する。低血圧を維持するためには通常毎分2.5~10μg(0.05~0.2μg/kg/分)を必要とする。」である。

18. 薬効薬理

18.1 作用機序

血管平滑筋及び血小板のプロスタノイド受容体に作用し、細胞内のcAMPを増加させることで血管弛緩作用及び血小板凝集抑制作用を示す10),11)

18.2 血圧低下作用

  1. 18.2.1 麻酔下のイヌにPGE1を静脈内持続投与(7.9μg/kg/分及び3~4μg/kg/分)すると、速やかな血圧低下が認められ、投与中も低血圧状態を維持した。また投与終了後の低血圧からの回復も速やかであった12),13)
  2. 18.2.2 麻酔下の成人にPGE1を静脈内持続投与(0.13μg/kg/分)すると、速やかな血圧低下が認められ、投与中も低血圧状態を維持した14)

18.3 術中出血量に対する作用

  1. 18.3.1 麻酔下のイヌにPGE1を静脈内持続投与(1μg/kg/分)し低血圧麻酔とした群は、非低血圧麻酔群に対して、有意に出血量が低下した15)
  2. 18.3.2 麻酔下の成人にPGE1を静脈内持続投与(0.106μg/kg/分)し低血圧麻酔とした群は、非低血圧麻酔群に対して、有意に出血量が低下した16)

18.4 末梢血管拡張作用

麻酔下のイヌにPGE1を静脈内持続投与(7.9μg/kg/分及び0.2~1.0μg/kg/分)すると、全末梢血管抵抗が減少し、血流量は増加した12),17)

18.5 臓器に対する影響

  1. 18.5.1 心臓
    1. (1) 麻酔下のイヌにPGE1を静脈内持続投与(3~4μg/kg/分)すると、心拍出量に有意な変化は認められなかった13)。またPGE1の投与(7.9μg/kg/分)はtriple product(収縮期血圧×心拍数×駆血時間)と左冠血流量との比を有意に増加させたことから、心筋における酸素の需要・供給バランスを維持すると考えられた12)
    2. (2) 麻酔下の成人にPGE1を静脈内持続投与(0.13μg/kg/分)し低血圧麻酔とした時、心拍数は有意な変化を示さなかったが、左室仕事係数は有意に低下した14)
  2. 18.5.2 腎臓
    1. (1) 麻酔下のイヌにPGE1を静脈内持続投与(1μg/kg/分)し低血圧麻酔とした時、左腎動脈の血流量は増加する傾向を示した15)
    2. (2) 麻酔下の成人にPGE1を静脈内持続投与(0.106μg/kg/分)し低血圧麻酔とした時、尿量やNa排泄量、尿中ナトリウム排泄率、腎血漿血流量が有意に増加したことから、腎機能は保持されていると考えられた16)
  3. 18.5.3
    1. (1) 麻酔下のイヌにPGE1を静脈内持続投与(5.6μg/kg/分)し低血圧麻酔とした時、脳圧は有意に低下したが、脳酸素消費量の変化は認められなかった18)
    2. (2) 意識下及び浅い全身麻酔下の成人にPGE1を静脈内持続投与(0.2μg/kg/分)した時、脳脊髄液圧への影響は少なかった19)
  4. 18.5.4 肝臓

    麻酔下のイヌにPGE1を静脈内持続投与(3~4μg/kg/分)し低血圧麻酔とした時、全肝血流量に大きな変化は認められなかった13)

  5. 18.5.5

    麻酔下の成人にPGE1を静脈内持続投与(0.13μg/kg/分)し低血圧麻酔とした時、肺動脈圧及び肺動脈楔入圧は有意に低下した16)

18.6 凝固・線溶系への影響

麻酔下の成人にPGE1を大腿静脈より持続投与(0.19±0.05μg/kg/分)し低血圧麻酔とした時、血小板凝集抑制作用は認められたが、投与終了後速やかに回復し、凝固・線溶系への影響は認められなかった20)

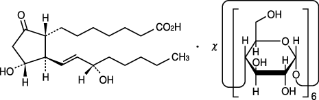
19. 有効成分に関する理化学的知見

一般的名称

アルプロスタジル アルファデクス(Alprostadil Alfadex)

化学名

7-{(1R,2R,3R)-3-Hydroxy-2-[(1E,3S)-3-hydroxyoct-1-en-1-yl]-5-oxocyclopentyl}heptanoic acid-α-cyclodextrin

分子式

C20H34O5xC36H60O30

分子量

354.48(アルプロスタジルとして)

性状

白色の粉末である。
水に溶けやすく、エタノール(95)、酢酸エチル又はジエチルエーテルにほとんど溶けない。
吸湿性である。

化学構造式

融点

114~118℃(アルプロスタジルとして)

20. 取扱い上の注意

外箱開封後は、遮光して保存すること。

22. 包装

5バイアル

23. 主要文献

24. 文献請求先及び問い合わせ先

丸石製薬株式会社 学術情報部

〒538-0042 大阪市鶴見区今津中2-4-2

TEL. 0120-014-561

25. 保険給付上の注意

外科手術時の低血圧維持・外科手術時の異常高血圧の救急処置においては、既に他の薬剤が用いられており一般的に特に本剤を用いる必然性はないが、本剤の作用上の特徴等を踏まえ、保険診療上は、術前から、高血圧症を合併する場合であって腎機能障害若しくは肝機能障害を有する場合、又は軽度の虚血性心疾患を合併する場合における外科手術時の低血圧維持に限り本剤の使用を認めるものであること。(昭和62年8月28日保険発第58号厚生省保険局医療課長通知)

26. 製造販売業者等

26.1 製造販売(輸入)元

丸石製薬株式会社

大阪市鶴見区今津中2-4-2

〒100-0013 東京都千代田区霞が関3-3-2 新霞が関ビル

画面を閉じる

Copyright © Pharmaceuticals and Medical Devices Agency, All Rights reserved.