医療用医薬品 詳細表示

ビダラビンクリーム3%「マルホ」

処方せん医薬品以外の医薬品

添付文書番号
企業コード
作成又は改訂年月
日本標準商品分類番号
薬効分類名
承認等
一般的名称
2.禁忌(次の患者には投与しないこと)
3.組成・性状
3.1組成
3.2製剤の性状
4.効能・効果
5.効能・効果に関連する注意
6.用法・用量
7.用法・用量に関連する注意
9.特定の背景を有する患者に関する注意
9.5妊婦
9.7小児等
10.相互作用
10.2併用注意(併用に注意すること)
11.副作用
11.2その他の副作用
14.適用上の注意
16.薬物動態
16.1血中濃度
16.5排泄
17.臨床成績
17.1有効性及び安全性に関する試験
18.薬効薬理
18.1作用機序
18.2抗ウイルス作用
18.3生物学的同等性試験
19.有効成分に関する理化学的知見
20.取扱い上の注意
22.包装
23.主要文献
24.文献請求先及び問い合わせ先
26.製造販売業者等

ビダラビンクリーム3%「マルホ」

添付文書番号

6250700N1052_1_02

企業コード

730155

作成又は改訂年月

2023年9月改訂(第1版)

日本標準商品分類番号

87625

薬効分類名

抗ウイルス剤

承認等

ビダラビンクリーム3%「マルホ」

販売名コード

YJコード

6250700N1052

販売名英語表記

Vidarabine Cream

販売名ひらがな

びだらびんくりーむ3%「まるほ」

承認番号等

承認番号

30100AMX00394000

販売開始年月

2000年7月

貯法・有効期間

貯法

室温保存

有効期間

36箇月

一般的名称

ビダラビンクリーム

2. 禁忌(次の患者には投与しないこと)

本剤の成分に対し過敏症の既往歴のある患者

3. 組成・性状

3.1 組成

ビダラビンクリーム3%「マルホ」

有効成分1g中 ビダラビン   30mg
添加剤流動パラフィン、白色ワセリン、ジメチルポリシロキサン、セトステアリルアルコール、ベヘニルアルコール、濃グリセリン、1,3-ブチレングリコール、マクロゴール1500、トリイソオクタン酸グリセリン、ポリオキシエチレン硬化ヒマシ油60、ラウロマクロゴール、モノステアリン酸グリセリン、パラオキシ安息香酸エチル、キサンタンガム、pH調節剤

3.2 製剤の性状

ビダラビンクリーム3%「マルホ」

性状白色の均一なクリーム剤で、わずかに特異なにおいがある

4. 効能・効果

  • 帯状疱疹、単純疱疹

5. 効能・効果に関連する注意

本剤は局所治療を目的とした薬剤であるため、発熱、汎発疹等の全身症状がみられる場合又は使用中にあらわれた場合には重症化することがあるので、他の全身的治療を考慮すること。

6. 用法・用量

患部に適量を1日1~4回、塗布又は貼布する。

7. 用法・用量に関連する注意

  1. 7.1 本剤の使用は、発病初期に近い程効果が期待できるので、原則として発症から5日以内に使用開始すること。
  2. 7.2 本剤を7日間使用し、改善の兆しがみられないか、あるいは悪化する場合には他の治療に切り替えること。

9. 特定の背景を有する患者に関する注意

9.5 妊婦

妊婦又は妊娠している可能性のある女性には治療上の有益性が危険性を上回ると判断される場合にのみ使用すること。静脈投与による動物実験(ラット、ウサギ)で催奇形作用が報告されている。

9.7 小児等

小児等を対象とした有効性及び安全性を指標とした臨床試験は実施していない。

10. 相互作用

    10.2 併用注意(併用に注意すること)

    薬剤名等臨床症状・措置方法機序・危険因子
    • ペントスタチン

    ビダラビン(注射剤)との併用により腎不全、肝不全、神経毒性等の重篤な副作用が発現したとの報告がある1)

    ペントスタチンが、ビダラビンの代謝に関与するADA(アデノシンデアミナーゼ)酵素の阻害作用を有するため、ビダラビンの血中濃度が高まることによると考えられる2)

    11. 副作用

    次の副作用があらわれることがあるので、観察を十分に行い、異常が認められた場合には投与を中止するなど適切な処置を行うこと。

    11.2 その他の副作用

    1%未満

    皮膚

    接触皮膚炎様症状、刺激感、そう痒感等

    14. 適用上の注意

    14.1 薬剤交付時の注意

    本剤の基剤として使用されている油脂性成分は、コンドーム等の避妊用ラテックスゴム製品の品質を劣化・破損する可能性があるため、これらとの接触を避けさせること。

    14.2 薬剤使用時の注意

    眼科用として、角膜、結膜には使用しないこと。

    16. 薬物動態

    16.1 血中濃度

    健康成人男性(10例)にビダラビン軟膏剤3%10g(ビダラビンとして300mg)を24時間、密封塗布したところ、ビダラビンの血漿中濃度は検出限界以下であった3)

    16.5 排泄

    健康成人男性(10例)にビダラビン軟膏剤3%10g(ビダラビンとして300mg)を24時間、密封塗布したところ、塗布開始後48時間までのビダラビン及び主代謝物であるAra-Hx(9-β-D-Arabinofuranosyl Hypoxanthine)の尿中濃度は検出限界以下であった3)

    17. 臨床成績

    17.1 有効性及び安全性に関する試験

    • 〈帯状疱疹〉
      1. 17.1.1 国内第Ⅱ相臨床試験、第Ⅲ相臨床試験及び一般臨床試験

        帯状疱疹に対して実施した二重盲検比較試験及び一般臨床試験において、ビダラビン軟膏剤3%を1日1回10日間又は14日間1)貼布したところ、有用性評価がなされた210例中、極めて有用37例、有用98例で有用以上の有用率は64.3%であった。
        副作用発現頻度は、1.7%(4/232例)であった。副作用は、刺激感0.9%(2/232例)、びらん・潰瘍部の二次感染0.4%(1/232例)、そう痒感0.4%(1/232例)であった4),5),6)

    • 〈単純疱疹〉
      1. 17.1.2 国内第Ⅲ相臨床試験及び一般臨床試験

        単純疱疹に対して実施した二重盲検比較試験及び一般臨床試験において、ビダラビン軟膏剤3%を1日1~数回10日間又は14日間1)塗布又は貼布したところ、有用性評価がなされた233例中、極めて有用75例、有用94例で有用以上の有用率は72.5%であった。
        副作用発現頻度は、1.6%(4/252例)であった。副作用は、いずれも接触皮膚炎様症状であった7),8),9),10),11)

      2. 17.1.3 国内第Ⅲ相臨床試験

        性器ヘルペス症に対してビダラビン軟膏剤3%又はプラセボを1日3~4回10日間1)塗布又は貼布した二重盲検比較試験においてウイルス学的効果の検討がなされ、ウイルスの陰性化率はプラセボ投与群に比し有意に優れていた。
        副作用は認められなかった7)

      3. 17.1.4 国内臨床試験

        単純疱疹に対して実施した一般臨床試験において、ビダラビンクリーム3%「マルホ」を1日1~4回2週間塗布または貼付したところ、有効性評価がなされた41例中、著効25例、有効14例で有効以上の有効率は95.1%であった。
        副作用は認められなかった12)

        1) 投与期間中に治癒した場合はその時点で試験を終了し、有用性評価等の最終判定を実施した。

    18. 薬効薬理

    18.1 作用機序

    ウイルスのDNA依存DNAポリメラーゼを強力に阻害することにより抗ウイルス作用が発現するものと推察されている13)

    18.2 抗ウイルス作用

    1. 18.2.1 ビダラビンは単純ヘルペスウイルス14)、水痘・帯状疱疹ウイルス15)等のDNAウイルスに対して増殖抑制作用を有する(in vitro)。
    2. 18.2.2 単純ヘルペスウイルス1型を側腹部皮内に接種したマウスにウイルス接種3時間後よりビダラビン3%含有軟膏を12時間ごとに塗布した実験において、ビダラビン投与群ではプラセボ投与群に比し死亡率が有意に低下した。また、ウイルス接種24時間後より塗布を開始した実験でもビダラビン非塗布の対照群に比し有意な生存期間の延長が認められた16)
    3. 18.2.3 単純ヘルペスウイルス1型又はアシクロビル耐性の単純ヘルペスウイルス2型を側腹部皮内に接種したマウスにウイルス接種3時間後よりビダラビン3%含有クリームを12時間ごとに塗布した実験において、ビダラビン投与群ではプラセボ投与群に比しいずれのウイルス接種においても死亡率の有意な低下と生存期間の有意な延長が認められた17),18)

    18.3 生物学的同等性試験

    単純ヘルペスウイルス1型及びアシクロビル耐性単純ヘルペスウイルス2型の感染マウスを用い、皮疹の状態、死亡率及び生存期間を指標に、ビダラビンクリーム3%「マルホ」と標準製剤(アラセナ-A軟膏3%)の抗ウイルス作用について検討した結果、両剤は生物学的に同等であると判断された19)

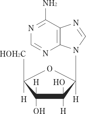
    19. 有効成分に関する理化学的知見

    一般的名称

    ビダラビン(Vidarabine)(JAN)

    化学名

    9-β-D-Arabinofuranosyladenine

    分子式

    C10H13N5O4

    分子量

    267.24

    性状

    白色の結晶性の粉末で、におい及び味はない。
    ジメチルスルホキシドに溶けやすく、酢酸(100)に溶けにくく、水又はエタノール(95)に極めて溶けにくく、ジエチルエーテルにほとんど溶けない。
    吸湿性である。

    化学構造式

    融点

    約250℃(分解)

    20. 取扱い上の注意

    高温を避けて保存すること。

    22. 包装

    チューブ:5g×5

    23. 主要文献

    1) Miser, J. S. et al.:Am. J. Clin. Oncol. 1992;15(6):490-493[11111111-4934]

    2) Agarwal, R. P.:Cancer Treat. Symp. 1984;2:17-22[11111111-4928]

    3) 伊藤裕喜 他:臨床医薬 1990;6(2):277-284[20230711-0004]

    4) 新村眞人 他:臨床医薬 1989;5(3):491-499[11111111-4922]

    5) 新村眞人 他:臨床医薬 1989;5(8):1685-1702[11111111-4923]

    6) 永島敬士 他:臨床医薬 1990;6(2):285-294[11111111-4924]

    7) 熊本悦明 他:臨床医薬 1990;6(4):727-744[11111111-4925]

    8) 池田重雄 他:臨床医薬 1990;6(1):175-184[20230711-0005]

    9) 安藤正明 他:西日本皮膚科 1990;52(2):365-370[11111111-4930]

    10) 上田 宏 他:皮膚 1990;32(2):285-292[11111111-4918]

    11) 上田 宏 他:皮膚 1990;32(2):293-301[11111111-4919]

    12) 社内資料:臨床試験成績[11111111-4906]

    13) Müller, W. E. G. et al.:Ann. N. Y. Acad. Sci. 1977;284:34-48[20201223-0024]

    14) Miller, F. A. et al.:Antimicrob. Agents Chemother. 1968;8:136-147[20230714-0006]

    15) 山西弘一 他:皮膚 1984;26(4):772-775[11111111-4920]

    16) 作間俊治 他:西日本皮膚科 1989;51(2):281-287[20180606-0048]

    17) 皆川洋子:西日本皮膚科 1998;60(2):184-187[20201223-0025]

    18) 皆川洋子:西日本皮膚科 1999;61(6):770-774[20180606-0037]

    19) 社内資料:生物学的同等性試験[11111111-4905]

    24. 文献請求先及び問い合わせ先

    マルホ株式会社  製品情報センター

    〒531-0071 大阪市北区中津1-11-1

    TEL:0120-12-2834

    26. 製造販売業者等

    26.1 製造販売

    マルホ株式会社

    大阪市北区中津1-5-22

    〒100-0013 東京都千代田区霞が関3-3-2 新霞が関ビル

    画面を閉じる

    Copyright © Pharmaceuticals and Medical Devices Agency, All Rights reserved.