医療用医薬品 詳細表示

カフェイン水和物「VTRS」原末

添付文書番号

2115004X1175_1_03

企業コード

730869

作成又は改訂年月

**2024年7月改訂(第3版)
2023年11月改訂(第2版)

日本標準商品分類番号

872115

薬効分類名

中枢興奮・鎮痛剤

承認等

カフェイン水和物「VTRS」原末

販売名コード

YJコード

2115004X1175

販売名英語表記

Caffeine Hydrate Powder

販売名ひらがな

かふぇいんすいわぶつ「VTRS」げんまつ

承認番号等

承認番号

23100AMX00093

販売開始年月

1951年7月

貯法・有効期間

貯法

室温保存

有効期間

5年

基準名

日本薬局方

カフェイン水和物

規制区分

劇薬

一般的名称

カフェイン水和物

3. 組成・性状

3.1 組成

カフェイン水和物「VTRS」原末

有効成分1g中 日局 カフェイン水和物   1g

3.2 製剤の性状

カフェイン水和物「VTRS」原末

本剤は白色の柔らかい結晶又は粉末で、においはなく、味はやや苦い。

4. 効能又は効果

  • ねむけ、倦怠感
  • 血管拡張性及び脳圧亢進性頭痛(片頭痛、高血圧性頭痛、カフェイン禁断性頭痛など)

6. 用法及び用量

カフェイン水和物として、通常成人1回0.1~0.3gを1日2~3回経口投与する。
なお、年齢、症状により適宜増減する。

9. 特定の背景を有する患者に関する注意

9.1 合併症・既往歴等のある患者

  1. 9.1.1 胃潰瘍又はその既往歴のある患者

    胃液分泌を促進するため、悪影響を及ぼすおそれがある。

  2. 9.1.2 心疾患のある患者

    徐脈又は頻脈を起こすことがある。

  3. 9.1.3 緑内障の患者

    症状が悪化するおそれがある。

9.5 妊婦

妊婦又は妊娠している可能性のある女性には、治療上の有益性が危険性を上回ると判断される場合にのみ投与し、長期連用を避けること。胎盤を通過する。

9.6 授乳婦

治療上の有益性及び母乳栄養の有益性を考慮し、授乳の継続又は中止を検討すること。また、長期連用は避けること。母乳中に容易に移行する。

9.8 高齢者

本剤を減量するなど注意すること。一般に高齢者では生理機能が低下している。

10. 相互作用

    10.2 併用注意(併用に注意すること)

    薬剤名等臨床症状・措置方法機序・危険因子

    他のキサンチン系薬剤

    • アミノフィリン水和物
      ジプロフィリン
      テオフィリン等

    中枢神経興奮薬

    • エフェドリン塩酸塩
      マオウ等

    過度の中枢神経刺激作用が現れることがある。

    併用薬の代謝・排泄を遅延させることがある。

    MAO阻害剤

    • セレギリン塩酸塩
      ラサギリンメシル酸塩
      サフィナミドメシル酸塩

    頻脈、血圧上昇等が現れることがある。

    機序は不明である。

    シメチジン

    過度の中枢神経刺激作用が現れることがある。

    本剤の代謝・排泄を遅延させることがある。

    11. 副作用

    次の副作用があらわれることがあるので、観察を十分に行い、異常が認められた場合には投与を中止するなど適切な処置を行うこと。

    11.2 その他の副作用

    頻度不明

    循環器

    不整脈注)

    精神神経系

    振戦注)、めまい注)、不眠注)、不安注)

    感覚器

    瞳孔散大注)

    その他

    虚脱注)

    注)大量投与によりあらわれることがある。

    13. 過量投与

    1. 13.1 症状

      消化器症状(悪心、嘔吐等)、循環器症状(不整脈、血圧上昇等)、精神神経症状(痙攣、昏睡)、呼吸器症状(呼吸促進、呼吸麻痺等)などの増悪を起こすことがある。

    2. 13.2 処置

      興奮状態には対症療法としてジアゼパム注、フェノバルビタール注などの中枢神経抑制薬投与を考慮し、呼吸管理を実施する。

    18. 薬効薬理

    18.1 作用機序

    カフェインは、非選択的ホスホジエステラーゼ阻害薬であり、cAMP及びcGMPの分解を抑制し、cAMP及びcGMPをセカンドメッセンジャーとする受容体機能を亢進させる。また、アデノシン受容体拮抗薬であり、A1、A2A受容体に拮抗して神経伝達物質遊離を脱抑制する1)

    18.2 中枢神経系への作用

    カフェインは、大脳皮質及び延髄中枢の興奮を起こす。常用量で覚せい、不穏、精神緊張を生じ、知覚及び運動機能を高める。また、脳細動脈に作用して収縮させ脳血流量を減少させる1)

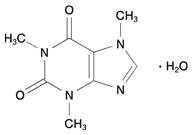
    19. 有効成分に関する理化学的知見

    一般的名称

    カフェイン水和物(Caffeine Hydrate)

    化学名

    1,3,7-Trimethyl-1H-purine-2,6(3H,7H)-dione monohydrate

    分子式

    C8H10N4O2・H2O

    分子量

    212.21

    性状

    白色の柔らかい結晶又は粉末で、においはなく、味はやや苦い。
    クロロホルムに溶けやすく、水、酢酸(100)又は無水酢酸にやや溶けにくく、エタノール(95)に溶けにくく、ジエチルエーテルに極めて溶けにくい。
    1.0gを水100mLに溶かした液のpHは5.5~6.5である。
    乾燥空気中で風解する。

    化学構造式

    融点

    235~238℃(乾燥後)

    22. 包装

    25g[瓶]
    500g[袋]

    24. 文献請求先及び問い合わせ先

    **ヴィアトリス製薬合同会社 メディカルインフォメーション部

    〒106-0041 東京都港区麻布台一丁目3番1号

    フリーダイヤル 0120-419-043

    26. 製造販売業者等

    26.1 **,*製造販売元

    ヴィアトリス・ヘルスケア合同会社

    東京都港区麻布台一丁目3番1号

    26.2 **販売元

    ヴィアトリス製薬合同会社

    東京都港区麻布台一丁目3番1号

    〒100-0013 東京都千代田区霞が関3-3-2 新霞が関ビル

    画面を閉じる

    Copyright © Pharmaceuticals and Medical Devices Agency, All Rights reserved.