医療用医薬品 詳細表示

トコフェロール酢酸エステルカプセル100mg「VTRS」

処方せん医薬品以外の医薬品

添付文書番号
企業コード
作成又は改訂年月
日本標準商品分類番号
薬効分類名
承認等
一般的名称
3.組成・性状
3.1組成
3.2製剤の性状
4.効能又は効果
6.用法及び用量
9.特定の背景を有する患者に関する注意
9.6授乳婦
9.7小児等
11.副作用
11.2その他の副作用
14.適用上の注意
16.薬物動態
16.1血中濃度
17.臨床成績
17.1有効性及び安全性に関する試験
18.薬効薬理
18.1作用機序
18.2微小循環系の賦活作用
18.3膜安定化作用
18.4抗酸化作用
18.5内分泌系の賦活作用
19.有効成分に関する理化学的知見
22.包装
23.主要文献
24.文献請求先及び問い合わせ先
26.製造販売業者等

トコフェロール酢酸エステルカプセル100mg「VTRS」

添付文書番号

3150002M1122_1_05

企業コード

730869

作成又は改訂年月

2024年7月改訂(第2版)
2023年12月改訂(第1版)

日本標準商品分類番号

87315

薬効分類名

ビタミンE剤

承認等

トコフェロール酢酸エステルカプセル100mg「VTRS」

販売名コード

YJコード

3150002M1122

販売名英語表記

TOCOPHEROL acetate Capsules

販売名ひらがな

とこふぇろーるさくさんえすてるかぷせる100mg「VTRS」

承認番号等

承認番号

22700AMX00281

販売開始年月

1969年4月

貯法・有効期間

貯法

室温保存

有効期間

3年

一般的名称

トコフェロール酢酸エステル

3. 組成・性状

3.1 組成

トコフェロール酢酸エステルカプセル100mg「VTRS」

有効成分1カプセル中 日局 トコフェロール酢酸エステル   100.0mg
添加剤オリブ油、中鎖脂肪酸トリグリセリド
(カプセル本体)ゼラチン、濃グリセリン、パラオキシ安息香酸エチル、パラオキシ安息香酸プロピル、赤色2号

3.2 製剤の性状

トコフェロール酢酸エステルカプセル100mg「VTRS」

外形
8.0mm×8.0mm
識別コード
色調等カプセル:赤色の球形の軟カプセル剤で、においはほとんどない
内容物:淡黄色の油性液で、わずかに特異なにおいがある

4. 効能又は効果

(1)ビタミンE欠乏症の予防及び治療
(2)末梢循環障害

  • (間歇性跛行症、動脈硬化症、静脈血栓症、血栓性静脈炎、糖尿病性網膜症、凍瘡、四肢冷感症)

(3)過酸化脂質の増加防止

  • (1)以外の効能については、効果がないのに月余にわたって漫然と使用すべきではない。

6. 用法及び用量

通常、成人にはトコフェロール酢酸エステルとして1回50~100mgを、1日2~3回経口投与する。
なお、年齢、症状により適宜増減する。

9. 特定の背景を有する患者に関する注意

9.6 授乳婦

治療上の有益性及び母乳栄養の有益性を考慮し、授乳の継続又は中止を検討すること。

9.7 小児等

小児等を対象とした臨床試験は実施していない。

11. 副作用

次の副作用があらわれることがあるので、観察を十分に行い、異常が認められた場合には投与を中止するなど適切な処置を行うこと。

11.2 その他の副作用

0.1~5%未満

0.1%未満

消化器

便秘、胃部不快感

下痢

過敏症

発疹

14. 適用上の注意

14.1 薬剤交付時の注意

PTP包装の薬剤はPTPシートから取り出して服用するよう指導すること。PTPシートの誤飲により、硬い鋭角部が食道粘膜へ刺入し、更には穿孔をおこして縦隔洞炎等の重篤な合併症を併発することがある。

16. 薬物動態

16.1 血中濃度

健康成人男性12名にトコフェロール酢酸エステルカプセル200mg注)を経口投与したとき、投与後19.2±7.1hrで最高血漿中濃度(Cmax=1412.0±98.7μg/dL)を示した1)
注)本剤の承認された用量は、1回50~100mgである。

17. 臨床成績

17.1 有効性及び安全性に関する試験

  1. 17.1.1 臨床効果
    1. (1) ビタミンE欠乏症

      ビタミンE欠乏症は低出生体重児、新生児、無β-リポタンパク血症、肝・胆・膵疾患に伴う脂肪吸収障害患者において認められ、眼や肺の障害、赤血球溶血亢進と寿命低下、筋萎縮、神経機能の異常などが発現し、トコフェロール酢酸エステルの投与により改善することが認められている2),3)

    2. (2) 末梢循環障害

      間歇性跛行症(閉塞性末梢動脈硬化症)については二重盲検試験で有用性が認められている4)。凍瘡、四肢冷感などの末梢循環障害に対しても一般臨床試験で有用であることが認められている5),6)

18. 薬効薬理

18.1 作用機序

作用機序は明確でない。

18.2 微小循環系の賦活作用

末梢循環不全に対し、末梢血行を促すとともに、血小板粘着・凝集能の抑制により微小循環系の動態を改善する7),8)

18.3 膜安定化作用

毛細血管壁内皮細胞や中膜筋細胞の原形質膜、ミトコンドリア、小胞体、ライソソームなどの生体膜を安定化させることにより、血管壁の透過性や血管抵抗性を改善する9),10)

18.4 抗酸化作用

異常酸化(過酸化)を抑制し、過酸化脂質の生成を抑制する11)

18.5 内分泌系の賦活作用

下垂体−副腎系に作用して、E欠乏ラットの内分泌系を賦活・調整し、内分泌の失調を是正する12)

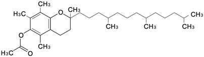
19. 有効成分に関する理化学的知見

一般的名称

トコフェロール酢酸エステル(Tocopherol Acetate)

化学名

2,5,7,8-Tetramethyl-2-(4,8,12-trimethyltridecyl)chroman-6-yl acetate

分子式

C31H52O3

分子量

472.74

性状

無色~黄色澄明の粘性の液で、においはない。
エタノール(99.5)、アセトン、クロロホルム、ジエチルエーテル、ヘキサン又は植物油と混和する。
エタノール(95)に溶けやすく、水にほとんど溶けない。
旋光性を示さない。
空気及び光によって変化する。

化学構造式

22. 包装

120カプセル[12カプセル(PTP)×10]
1200カプセル[12カプセル(PTP)×100]

24. 文献請求先及び問い合わせ先

*ヴィアトリス製薬合同会社 メディカルインフォメーション部

〒106-0041 東京都港区麻布台一丁目3番1号

フリーダイヤル 0120-419-043

26. 製造販売業者等

26.1 *製造販売元

ヴィアトリス・ヘルスケア合同会社

東京都港区麻布台一丁目3番1号

26.2 *販売元

ヴィアトリス製薬合同会社

東京都港区麻布台一丁目3番1号

〒100-0013 東京都千代田区霞が関3-3-2 新霞が関ビル

画面を閉じる

Copyright © Pharmaceuticals and Medical Devices Agency, All Rights reserved.