医療用医薬品 詳細表示

アリチア配合錠

添付文書番号

3179102F1030_2_03

企業コード

730869

作成又は改訂年月

**2024年7月改訂(第2版)
2023年11月改訂(第1版)

日本標準商品分類番号

873179

薬効分類名

複合ビタミン剤

承認等

アリチア配合錠

販売名コード

YJコード

3179102F1030

販売名英語表記

Alithia Combination Tablets

販売名ひらがな

ありちあはいごうじょう

承認番号等

承認番号

22100AMX01150

販売開始年月

1969年1月

貯法・有効期間

貯法

室温保存

有効期間

3年

一般的名称

チアミンジスルフィド
ピリドキシン塩酸塩
シアノコバラミン

3. 組成・性状

3.1 組成

アリチア配合錠

有効成分1錠中
チアミンジスルフィド 10.0mg
日局 ピリドキシン塩酸塩 50.0mg
日局 シアノコバラミン 0.25mg  
添加剤乳糖水和物、無水リン酸水素カルシウム、ヒドロキシプロピルセルロース、タルク、ステアリン酸マグネシウム、ヒプロメロース、マクロゴール6000、白糖、合成ケイ酸アルミニウム、アラビアゴム末、ゼラチン、酸化チタン、黄色5号、黄色5号アルミニウムレーキ、カルナウバロウ

3.2 製剤の性状

アリチア配合錠

外形上面
側面
直径9.2mm
厚さ5.3mm
重量350mg
識別コードM105
(PTPに表示)
色調等だいだい色
糖衣錠

4. 効能又は効果

  • 本剤に含まれるビタミン類の需要が増大し、食事からの摂取が不十分な際の補給(消耗性疾患、妊産婦、授乳婦など)
  • 下記疾患のうち、本剤に含まれるビタミン類の欠乏又は代謝障害が関与すると推定される場合
    • 神経痛、筋肉痛・関節痛、末梢神経炎・末梢神経麻痺
      効果がないのに月余にわたって漫然と使用すべきでない。

6. 用法及び用量

通常成人1回1錠を1日2回経口投与する。
なお、年齢、症状により適宜増減する。

9. 特定の背景を有する患者に関する注意

9.7 小児等

小児等を対象とした臨床試験は実施していない。

10. 相互作用

    10.2 併用注意(併用に注意すること)

    薬剤名等臨床症状・措置方法機序・危険因子

    レボドパ

    ビタミンB6がレボドパの作用を減弱することがある。

    末梢でのレボドパの脱炭酸化が促進し、レボドパの中枢への移行が減少することが考えられている。

    11. 副作用

    次の副作用があらわれることがあるので、観察を十分に行い、異常が認められた場合には投与を中止するなど適切な処置を行うこと。

    11.2 その他の副作用

    頻度不明

    過敏症

    発疹、そう痒等の過敏症状

    消化器

    食欲不振、胃部不快感、下痢等

    14. 適用上の注意

    14.1 薬剤交付時の注意

    PTP包装の薬剤はPTPシートから取り出して服用するよう指導すること。PTPシートの誤飲により、硬い鋭角部が食道粘膜へ刺入し、更には穿孔をおこして縦隔洞炎等の重篤な合併症を併発することがある。

    18. 薬効薬理

    18.1 作用機序

    チアミンジスルフィドが還元されたチアミンは、ATP存在下でthiamine diphosphateに変換し、生理作用を現す。糖質、タンパク質、脂質代謝で、また、TCAサイクルの関門として重要な位置を占めるピルビン酸の脱炭酸反応やTCAサイクル内のα-ケトグルタル酸の脱炭酸反応に関与している1)
    ピリドキシン塩酸塩は、生体内で主としてリン酸ピリドキサール(ビタミンB6の補酵素型)となって作用する。アミノ酸・タンパク代謝酵素群の補酵素として各種アミノ酸・タンパクの分解・生合成に重要な役割を果たす2)
    シアノコバラミンは、多くの代謝系に関与し、正常な発育、造血、神経組織のミエリン鞘形成などに重要な役割を果たしている3)

    19. 有効成分に関する理化学的知見

    19.1 チアミンジスルフィド

    一般的名称

    チアミンジスルフィド(Thiamine Disulfide)

    化学名

    N,N '-{Dithiobis[2-(2-hydroxyethyl)-1-methyl-2,1-ethenediyl]}bis{N-[(4-amino-2-methyl-5-pyrimidinyl)methyl]formamide}

    分子式

    C24H34N8O4S2

    分子量

    562.71

    性状

    白色~淡黄白色の粉末で、においはないか、又はわずかに特異なにおいがあり、味はわずかに苦い。
    エタノール(95)に溶けにくく、水又はジエチルエーテルにほとんど溶けない。
    希塩酸又は希硝酸に溶ける。
    飽和水溶液はほぼ中性である。

    化学構造式

    19.2 ピリドキシン塩酸塩

    一般的名称

    ピリドキシン塩酸塩(Pyridoxine Hydrochloride)

    化学名

    4,5-Bis(hydroxymethyl)-2-methylpyridin-3-ol monohydrochloride

    分子式

    C8H11NO3・HCl

    分子量

    205.64

    性状

    白色~微黄色の結晶性の粉末である。
    水に溶けやすく、エタノール(99.5)に溶けにくく、無水酢酸、酢酸(100)にほとんど溶けない。
    光によって徐々に変化する。

    化学構造式

    融点

    約206℃(分解)

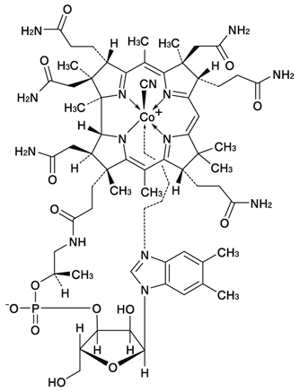
    19.3 シアノコバラミン

    一般的名称

    シアノコバラミン(Cyanocobalamin)

    化学名

    Coα-[α-(5,6-Dimethyl-1H-benzimidazol-1-yl)]-Coβ-cyanocobamide

    分子式

    C63H88CoN14O14P

    分子量

    1355.37

    性状

    暗赤色の結晶又は粉末である。
    水にやや溶けにくく、エタノール(99.5)に溶けにくい。
    吸湿性である。

    化学構造式

    22. 包装

    100錠[10錠(PTP)×10、乾燥剤入り]
    1000錠[10錠(PTP)×100、乾燥剤入り]

    24. 文献請求先及び問い合わせ先

    **ヴィアトリス製薬合同会社 メディカルインフォメーション部

    〒106-0041 東京都港区麻布台一丁目3番1号

    フリーダイヤル 0120-419-043

    26. 製造販売業者等

    26.1 **,*製造販売元

    ヴィアトリス・ヘルスケア合同会社

    東京都港区麻布台一丁目3番1号

    26.2 **販売元

    ヴィアトリス製薬合同会社

    東京都港区麻布台一丁目3番1号

    〒100-0013 東京都千代田区霞が関3-3-2 新霞が関ビル

    画面を閉じる

    Copyright © Pharmaceuticals and Medical Devices Agency, All Rights reserved.