医療用医薬品 詳細表示

オキサトミドシロップ小児用0.2%「VTRS」

処方せん医薬品以外の医薬品

添付文書番号
企業コード
作成又は改訂年月
日本標準商品分類番号
薬効分類名
承認等
一般的名称
2.禁忌(次の患者には投与しないこと)
3.組成・性状
3.1組成
3.2製剤の性状
4.効能又は効果
6.用法及び用量
8.重要な基本的注意
9.特定の背景を有する患者に関する注意
9.1合併症・既往歴等のある患者
9.3肝機能障害患者
9.5妊婦
9.6授乳婦
9.7小児等
9.8高齢者
10.相互作用
10.2併用注意(併用に注意すること)
11.副作用
11.1重大な副作用
11.2その他の副作用
12.臨床検査結果に及ぼす影響
13.過量投与
14.適用上の注意
16.薬物動態
16.1血中濃度
16.3分布
16.4代謝
16.5排泄
17.臨床成績
17.1有効性及び安全性に関する試験
18.薬効薬理
18.1作用機序
18.2細胞内カルシウム制御作用
18.3ケミカルメディエーターの遊離抑制作用
18.4ケミカルメディエーター拮抗作用
18.5実験的アレルギー反応の抑制効果
19.有効成分に関する理化学的知見
20.取扱い上の注意
22.包装
23.主要文献
24.文献請求先及び問い合わせ先
26.製造販売業者等

オキサトミドシロップ小児用0.2%「VTRS」

添付文書番号

4490005Q1051_1_03

企業コード

730869

作成又は改訂年月

**2024年7月改訂(第4版)
2023年11月改訂(第3版)

日本標準商品分類番号

874490

薬効分類名

アレルギー性疾患治療剤

承認等

オキサトミドシロップ小児用0.2%「VTRS」

販売名コード

YJコード

4490005Q1051

販売名英語表記

OXATOMIDE Syrup for pediatric

販売名ひらがな

おきさとみどしろっぷしょうによう0.2%「VTRS」

承認番号等

承認番号

22700AMX00228

販売開始年月

1998年7月

貯法・有効期間

貯法

室温保存

有効期間

3年

一般的名称

オキサトミド

2. 禁忌(次の患者には投与しないこと)

  1. 2.1 本剤の成分に対し過敏症の既往歴のある患者
  2. 2.2 妊婦又は妊娠している可能性のある女性

3. 組成・性状

3.1 組成

オキサトミドシロップ小児用0.2%「VTRS」

有効成分1mL中 オキサトミド   2.0mg
添加剤D-ソルビトール、結晶セルロース、カルメロースナトリウム、ポビドン、ポリソルベート80、ソルビタンセスキオレイン酸エステル、安息香酸ナトリウム、亜硫酸水素ナトリウム、ジメチルポリシロキサン(内服用)、香料、pH調節剤

3.2 製剤の性状

オキサトミドシロップ小児用0.2%「VTRS」

性状白色の水性懸濁液
pH3.0~5.0

4. 効能又は効果

  • 小児
    • 気管支喘息
    • アトピー性皮膚炎
    • 蕁麻疹
    • 痒疹

6. 用法及び用量

通常、小児には1回オキサトミドとして0.5mg/kg(シロップとして0.25mL/kg)を朝及び就寝前の1日2回経口投与する。なお、年齢、症状により適宜増減する。ただし、1回最高用量はオキサトミドとして0.75mg/kg(シロップとして0.375mL/kg)を限度とする。

8. 重要な基本的注意

  • 〈効能共通〉
    1. 8.1 眠気を催すことがあるので、本剤投与中の患者には自動車の運転等危険を伴う機械の操作には従事させないよう十分注意すること。
    2. 8.2 本剤により、末梢血中好酸球が増加することがあるので、このような場合には経過観察を十分に行うこと。
  • 〈気管支喘息〉
    1. 8.3 本剤は気管支拡張剤並びに全身性ステロイド剤と異なり、既に起こっている喘息発作を速やかに軽減する薬剤ではないので、このことは患者に十分注意しておく必要がある。

9. 特定の背景を有する患者に関する注意

9.1 合併症・既往歴等のある患者

  1. 9.1.1 長期ステロイド療法を受けている患者

    本剤投与によりステロイド減量を図る場合には十分な管理下で徐々に行うこと。

9.3 肝機能障害患者

  1. 9.3.1 肝機能障害又はその既往歴のある患者

    肝機能障害が悪化又は再燃するおそれがある。

9.5 妊婦

妊婦又は妊娠している可能性のある女性には投与しないこと。動物実験(ラット)で口蓋裂、合指症、指骨の形成不全等の催奇形作用が報告されている。

9.6 授乳婦

治療上の有益性及び母乳栄養の有益性を考慮し、授乳の継続又は中止を検討すること。動物実験(イヌ)で乳汁移行が認められている。

9.7 小児等

過量投与を避けること。幼児(特に2歳以下)において錐体外路症状が発現するおそれがある。

9.8 高齢者

本剤は、主として肝臓で代謝されるが、高齢者では肝機能が低下していることが多い。

10. 相互作用

    10.2 併用注意(併用に注意すること)

    薬剤名等臨床症状・措置方法機序・危険因子

    アルコール性飲料

    中枢神経抑制剤

    • 麻薬性鎮痛剤
    • 鎮静剤
    • 催眠剤等

    眠気、倦怠感等が強くあらわれるおそれがある。

    相加的に作用する。

    11. 副作用

    次の副作用があらわれることがあるので、観察を十分に行い、異常が認められた場合には投与を中止するなど適切な処理を行うこと。

    11.1 重大な副作用

    1. 11.1.1 肝炎、肝機能障害、黄疸(いずれも頻度不明)

      AST、ALT、γ-GTP、ビリルビン、Al-P、LDHの著しい上昇等を伴う肝炎、肝機能障害、黄疸(初期症状:全身倦怠感、食欲不振、発熱、嘔気・嘔吐等)があらわれることがある。

    2. 11.1.2 ショック、アナフィラキシー(いずれも頻度不明)

      血圧低下、呼吸困難、全身紅潮、咽頭・喉頭浮腫等の症状があらわれることがある。

    3. 11.1.3 中毒性表皮壊死融解症(Toxic Epidermal Necrolysis:TEN)、皮膚粘膜眼症候群(Stevens-Johnson症候群)(いずれも頻度不明)
    4. 11.1.4 血小板減少(頻度不明)

    11.2 その他の副作用

    0.1~5%未満

    頻度不明

    錐体外路症状1)

    硬直(口周囲、四肢)、眼球偏位、後屈頸、攣縮、振戦

    過敏症

    発疹、浮腫(顔面、手足等)

    内分泌

    月経障害、乳房痛、女性化乳房

    精神神経系

    眠気、倦怠感、口渇、頭痛・頭重、めまい・ふらつき・立ちくらみ

    しびれ感

    泌尿器

    膀胱炎様症状(頻尿、排尿痛、血尿、残尿感等)

    排尿困難

    消化器

    下痢、腹痛、腹部不快感

    嘔気・嘔吐、胃部不快感、便秘、胃痛、食欲不振、食欲亢進、にがみ、口内炎、舌のあれ

    循環器

    動悸

    その他

    好酸球増多

    ほてり、鼻出血、発熱

    1) 必要に応じて抗パーキンソン剤の投与等の適切な処置を行うこと。

    12. 臨床検査結果に及ぼす影響

    本剤の投与は、アレルゲン皮内反応を抑制し、アレルゲンの確認に支障を来すので、アレルゲン皮内反応検査を実施する前は本剤を投与しないこと1)

    13. 過量投与

    1. 13.1 症状

      頸部硬直等の錐体外路症状、痙攣、意識障害、傾眠、血圧低下、洞性徐脈、縮瞳等が発現した例がある。

    14. 適用上の注意

    14.1 薬剤調製時の注意

    本剤は、他の液シロップ剤と混合した場合に分散性が低下し、正確な用量調整が困難であるため配合しないこと。

    16. 薬物動態

    16.1 血中濃度

    1. 16.1.1 生物学的同等性試験

      オキサトミドシロップ小児用0.2%「VTRS」30mLとセルテクトドライシロップ2% 3.0g(それぞれオキサトミドとして60mg)をクロスオーバー法により健康成人男子に絶食時単回経口投与して血漿中オキサトミド濃度を測定し、得られた薬物動態パラメータ(AUC、Cmax)の平均値の差はセルテクトドライシロップ2%の20%以内であり、両剤の生物学的同等性が確認された2)

      血漿中オキサトミドの薬物動態パラメータ

      判定パラメータ

      参考パラメータ

      AUCt
      (ng・hr/mL)

      Cmax
      (ng/mL)

      Tmax
      (hr)

      T1/2
      (hr)

      オキサトミドシロップ小児用0.2%「VTRS」

      127.40±103.88

      17.12±13.68

      2.57±0.65

      4.76±1.70

      セルテクトドライシロップ2%

      124.85±104.84

      18.24±14.63

      2.36±0.63

      3.58±1.33

      (平均値±標準偏差、n=14)

      血漿中オキサトミドの濃度推移

      血漿中濃度並びにAUC、Cmax等のパラメータは、被験者の選択、体液の採取回数・時間等の試験条件によって異なる可能性がある。

    16.3 分布

    1. 16.3.1 体組織への分布

      ラットに14C-オキサトミド10mg/kgを経口投与した場合、投与後30分で、肝臓、腎臓、腸間膜リンパ節、肺、副腎の順に高い放射能濃度を示し、投与後1、2及び6時間においても上記組織で放射能濃度が認められたが、96時間にはほとんどの組織で検出限界値以下となった3)

    2. 16.3.2 血液-胎盤関門通過性

      妊娠ラットに14C-オキサトミド10mg/kgを経口投与した結果、胎児内濃度は胎盤中濃度の1/4~1/5であり、母体に投与した量の0.08%であった4)

    3. 16.3.3 母乳中への移行性

      分娩後のイヌに14C-オキサトミド10mg/kgを経口投与し、乳汁への移行性を検討した結果、血漿中及び乳汁中の放射能の最高値は、投与後2時間以内にほぼ同程度のレベルを示した4)

    16.4 代謝

    1. 16.4.1 ヒトで確認された代謝経路は、piperazine及びbenzimidazoloneのN位の酸化的脱アルキル化及びbenzimidazoloneの芳香環水酸化である5)
    2. 16.4.2 in vitro試験において、本剤の代謝には、肝チトクロームP-450(主にCYP3A4、またCYP2D6)が関与することが示された6),7)

    16.5 排泄

    健常成人に14C-オキサトミド60mgを経口投与した場合、放射能は投与後96時間までに尿中に投与量の40.1%、糞中に54.0%が排泄された5)(外国人データ)。

    17. 臨床成績

    17.1 有効性及び安全性に関する試験

    • 〈本剤〉
      1. 17.1.1 国内臨床試験(気管支喘息)

        15歳以下の気管支喘息患者40例を対象に、オキサトミドシロップ1mg/kg/日(分2)、8週間経口投与した結果、臨床的改善度の改善率(「改善」以上)は、62.5%(25/40)であった8)
        副作用発現率は、眠気2.5%(1/40例)であった。

      2. 17.1.2 国内臨床試験(アトピー性皮膚炎)

        15歳以下のアトピー性皮膚炎患者40例を対象に、オキサトミドシロップ1mg/kg/日(分2)、8週間経口投与した結果、臨床的効果が有効以上は、60.0%(24/40)であった9)
        副作用発現率は、眠気2.5%(1/40例)であった。

    • 〈セルテクトドライシロップ2%〉
      1. 17.1.3 国内臨床試験(気管支喘息)

        14歳以下の気管支喘息患者89例を対象に、オキサトミドドライシロップ1mg/kg/日(分2)、4週間経口投与した結果、最終全般改善度の改善率(「改善」以上)は、59.2%(45/76例)であった10)
        副作用発現率は3.4%(3/89例)で、眠気2.2%(2/89例)、血尿1.1%(1/89例)であった。

      2. 17.1.4 国内臨床試験(アトピー性皮膚炎、蕁麻疹、痒疹)

        14歳以下のアトピー性皮膚炎、蕁麻疹及び痒疹患者338例を対象に、オキサトミドドライシロップ0.4~1.9mg/kg/日(分2)、2週間経口投与した結果、臨床効果が「有効」以上は、アトピー性皮膚炎67.5%(158/234)、蕁麻疹89.0%(81/91)、痒疹・色素性蕁麻疹76.9%(10/13)であった11)
        副作用発現率は、2.0%(7/344例)で、眠気1.2%(4/344例)、下痢0.6%(2/344例)、咳0.3%(1/344例)であった。

    18. 薬効薬理

    18.1 作用機序

    オキサトミドは、アレルギー反応に関係する細胞内のカルシウム制御作用により、ヒスタミン、ロイコトリエン等のケミカルメディエーターの遊離を抑制する。また、アレルギー反応により遊離したメディエーターに対する拮抗作用も有し、特にアレルギー性疾患の慢性化と重症化に関係するロイコトリエンに対しては、拮抗作用とともにその合成酵素の阻害作用を有する。

    18.2 細胞内カルシウム制御作用

    本剤は、アレルギー反応によって誘発される細胞内カルシウム濃度の上昇を抑制する作用、いわゆる細胞内カルシウム制御作用を有することが、ラット腹腔肥満細胞を用いた実験で確認されている。このカルシウム制御作用により、本剤はアレルギー反応性細胞におけるケミカルメディエーターの遊離抑制作用を発現するものと考えられている。なお、心筋細胞内へのカルシウム流入を抑制する作用は弱い12)

    18.3 ケミカルメディエーターの遊離抑制作用

    本剤のヒスタミン遊離抑制作用が、ラット腹腔肥満細胞、ヒト白血球、アナフィラキシー反応時のラット皮膚を用いた実験で確認されている。また、ロイコトリエンの遊離抑制が、ヒト肺、ヒト白血球、ヒト好中球、ヒト好酸球、ラット腹腔肥満細胞を用いた実験で確認されている。更に、ロイコトリエンについて本剤は、その合成酵素である5-lipoxygenaseに対する阻害作用を示すことが認められている12),13),14),15)

    18.4 ケミカルメディエーター拮抗作用

    本剤のロイコトリエン、ヒスタミン、セロトニン、アセチルコリン、ブラディキニンに対する拮抗作用が、ラット皮膚、モルモットの摘出回腸、摘出気管支を用いた実験で確認されている。また、血小板活性化因子(PAF)によるモルモット気道抵抗上昇に対しても抑制作用を示した16),17),18)

    18.5 実験的アレルギー反応の抑制効果

    本剤は、アレルギー反応のモデルである、抗原投与時のモルモット気道収縮反応、抗原投与時のイヌ気管縮小反応、ラット受身皮膚アナフィラキシー反応、モルモット摘出回腸及び気管のシュルツ・デール反応等を抑制する14),19),20)

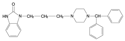
    19. 有効成分に関する理化学的知見

    一般的名称

    オキサトミド(Oxatomide)

    化学名

    1-[3-[4-(Diphenylmethyl)-1-piperazinyl]propyl]-2-benzimidazol-2(3H)-one

    分子式

    C27H30N4O

    分子量

    426.55

    性状

    白色~微黄白色の結晶性の粉末である。
    酢酸(100)又はクロロホルムに溶けやすく、エタノール(95)にやや溶けにくく、ジエチルエーテルに溶けにくく、水にほとんど溶けない。

    化学構造式

    融点

    155~161℃

    20. 取扱い上の注意

    用時よく振って用いること。

    22. 包装

    500mL[瓶]

    24. 文献請求先及び問い合わせ先

    ヴィアトリス製薬合同会社 メディカルインフォメーション部

    **〒106-0041 東京都港区麻布台一丁目3番1号

    フリーダイヤル 0120-419-043

    26. 製造販売業者等

    26.1 **,*製造販売元

    ヴィアトリス・ヘルスケア合同会社

    東京都港区麻布台一丁目3番1号

    26.2 **販売元

    ヴィアトリス製薬合同会社

    東京都港区麻布台一丁目3番1号

    〒100-0013 東京都千代田区霞が関3-3-2 新霞が関ビル

    画面を閉じる

    Copyright © Pharmaceuticals and Medical Devices Agency, All Rights reserved.