医療用医薬品 詳細表示

ゼポラスパップ40mg

処方せん医薬品以外の医薬品

添付文書番号
企業コード
作成又は改訂年月
日本標準商品分類番号
薬効分類名
承認等
一般的名称
2.禁忌(次の患者には投与しないこと)
3.組成・性状
3.1組成
3.2製剤の性状
4.効能又は効果
6.用法及び用量
8.重要な基本的注意
9.特定の背景を有する患者に関する注意
9.1合併症・既往歴等のある患者
9.5妊婦
9.7小児等
9.8高齢者
11.副作用
11.1重大な副作用
11.2その他の副作用
14.適用上の注意
16.薬物動態
16.1血中濃度
16.3分布
16.4代謝
16.5排泄
17.臨床成績
17.1有効性及び安全性に関する試験
18.薬効薬理
18.1作用機序
19.有効成分に関する理化学的知見
20.取扱い上の注意
22.包装
23.主要文献
24.文献請求先及び問い合わせ先
26.製造販売業者等

ゼポラスパップ40mg

添付文書番号

2649732S1164_1_10

企業コード

750007

作成又は改訂年月

**2025年12月改訂(第3版)
2024年10月改訂

日本標準商品分類番号

872649

薬効分類名

経皮吸収型鎮痛・消炎剤

承認等

ゼポラスパップ40mg

販売名コード

YJコード

2649732S1164

販売名英語表記

ZEPOLASPAP40mg

承認番号等

承認番号

22000AMX00716000

販売開始年月

1988年5月

貯法・有効期間

貯法

室温保存

有効期間

3年

一般的名称

フルルビプロフェン貼付剤

2. 禁忌(次の患者には投与しないこと)

  1. 2.1 本剤又は他のフルルビプロフェン製剤に対して過敏症の既往歴のある患者
  2. 2.2 アスピリン喘息(非ステロイド性消炎鎮痛剤等による喘息発作の誘発)又はその既往歴のある患者
    [喘息発作を誘発させることがある。],

3. 組成・性状

3.1 組成

ゼポラスパップ40mg

有効成分日本薬局方 フルルビプロフェン   40mg
添加剤ミリスチン酸イソプロピル、グリセリン、酸化チタン、CMC-Na、カオリン、ゼラチン、エデト酸Na、ポリソルベート80、ソルビタンセスキオレイン酸エステル、ポリアクリル酸部分中和物、ポリビニルアルコール(部分けん化物)、l-メントール、pH調整剤、香料、その他3成分

3.2 製剤の性状

ゼポラスパップ40mg

大きさ10cm×14cm
質量膏体12g/136cm2
識別コードMZ-ZEP40
性状膏体が白色~淡黄色の貼付剤で、わずかに芳香を有し、膏体は支持体に均一に展延され、膏面をライナーで被覆してある。

4. 効能又は効果

下記疾患並びに症状の鎮痛・消炎
変形性関節症、肩関節周囲炎、腱・腱鞘炎、腱周囲炎、上腕骨上顆炎(テニス肘等)、筋肉痛、外傷後の腫脹・疼痛

6. 用法及び用量

1日2回、患部に貼付する。

8. 重要な基本的注意

  1. 8.1 消炎鎮痛剤による治療は原因療法ではなく対症療法であることに留意すること。
  2. 8.2 慢性疾患(変形性関節症等)に対し本剤を用いる場合には薬物療法以外の療法も考慮すること。

9. 特定の背景を有する患者に関する注意

9.1 合併症・既往歴等のある患者

  1. 9.1.1 気管支喘息のある患者(アスピリン喘息又はその既往歴のある患者を除く)

    アスピリン喘息でないことを十分に確認すること。気管支喘息患者の中にはアスピリン喘息の患者も含まれている可能性があり、それらの患者では喘息発作を誘発させることがある。,

  2. 9.1.2 皮膚感染症のある患者

    感染を伴う炎症に対して用いる場合には適切な抗菌剤又は抗真菌剤を併用し、観察を十分に行い、慎重に使用すること。皮膚の感染症を不顕性化するおそれがある。

9.5 妊婦

*妊婦又は妊娠している可能性のある女性には、治療上の有益性が危険性を上回ると判断される場合にのみ使用すること。シクロオキシゲナーゼ阻害剤を妊娠中期以降の妊婦に使用し、胎児動脈管収縮が起きたとの報告がある。また、シクロオキシゲナーゼ阻害剤(経口剤、坐剤)を妊婦に使用し、胎児の腎機能障害及び尿量減少、それに伴う羊水過少症が起きたとの報告がある。

9.7 小児等

小児等を対象とした臨床試験は実施していない。

9.8 高齢者

貼付部の皮膚の状態に注意しながら慎重に使用すること。

11. 副作用

次の副作用があらわれることがあるので、観察を十分に行い、異常が認められた場合には使用を中止するなど適切な処置を行うこと。

11.1 重大な副作用

  1. 11.1.1 ショック、アナフィラキシー(いずれも頻度不明)

    胸内苦悶、悪寒、冷汗、呼吸困難、四肢しびれ感、血圧低下、血管浮腫、蕁麻疹等があらわれた場合には使用を中止し、適切な処置を行うこと。

  2. 11.1.2 喘息発作の誘発(アスピリン喘息)(頻度不明)

    乾性ラ音、喘鳴、呼吸困難感等の初期症状が発現した場合は使用を中止すること。なお、本剤による喘息発作の誘発は、貼付後数時間で発現している。,

11.2 その他の副作用

0.1~5%未満1)

0.1%未満1)

皮膚

そう痒、発赤、発疹

かぶれ、ヒリヒリ感

1) 発現頻度は使用成績調査を含む。

14. 適用上の注意

14.1 薬剤投与時の注意

  1. 14.1.1 損傷皮膚及び粘膜に使用しないこと。
  2. 14.1.2 湿疹又は発疹の部位に使用しないこと。

16. 薬物動態

16.1 血中濃度

  1. 16.1.1 単回投与

    健康成人による単回貼付(14時間、1枚中フルルビプロフェン40mg含有貼付剤)時の最高血中濃度到達時間は13.8±1.3hr、最高血中濃度は38.5±5.9ng/mLであり、半減期は10.4±0.8hrであった1)。(平均値±S.E. n=10)

  2. 16.1.2 反復投与

    健康成人による反復貼付(1日2回、29日間、1枚中フルルビプロフェン40mg含有貼付剤)による血中濃度は、4日目以降に定常状態となり、剥離48時間後には血中より消失し、蓄積性は認められなかった2)

16.3 分布

  1. 16.3.1 組織内移行

    変形性膝関節症等の患者に1枚中フルルビプロフェン40mg含有貼付剤を適用した場合の薬物の組織移行性を、同量のフルルビプロフェン(40mg)経口投与時と比較した結果、滑膜中濃度はやや低いが、皮下脂肪、筋肉内濃度はほぼ近似した傾向が認められた3)

    貼付剤、内服剤投与時の組織内濃度(6時間値)

16.4 代謝

健康成人による単回貼付(14時間、1枚中フルルビプロフェン40mg含有貼付剤)時の代謝物は経口投与時とほぼ同一であった1)

16.5 排泄

健康成人による単回貼付(14時間、1枚中フルルビプロフェン40mg含有貼付剤)時の72時間までの尿中総排泄量は1.94%であった1)

17. 臨床成績

17.1 有効性及び安全性に関する試験

  1. 17.1.1 二重盲検比較試験を含む国内143施設、414例について実施された1枚中フルルビプロフェン40mg含有貼付剤の臨床試験の概要は次のとおりである。なお、投与方法は、1日2回であり、投与期間は3日~4週間である3),4),5),6),7),8),9),10),11),12),13),14),15),16),17)。(有効率は“有効と認められるもの”以上を集計した。)

    疾患名

    有効率
    (“有効と認められるもの”以上例数/評価例数)

    変形性関節症

    57.8%(52/90)

    肩関節周囲炎

    64.0%(48/75)

    腱・腱鞘炎、腱周囲炎

    64.7%(44/68)

    上腕骨上顆炎(テニス肘等)

    59.3%(32/54)

    筋肉痛

    75.0%(33/44)

    外傷後の腫脹・疼痛

    80.7%(67/83)

18. 薬効薬理

18.1 作用機序

フルルビプロフェンは、プロスタグランジンの合成を阻害することが報告されているin vitro18)。シクロオキシゲナーゼ活性を阻害することによりプロスタグランジンの生成を抑制し、鎮痛・抗炎症作用を示すと考えられる。

18.2 鎮痛作用

ランダルセリット法(ラット)、尿酸滑膜炎(イヌ)での疼痛反応に対して、基剤より有意に強い抑制作用を示した19),20)

18.3 抗炎症作用

  1. 18.3.1 急性炎症に対する作用

    カラゲニンによる足浮腫(ラット)、抗ラット家兎血清による背部浮腫(ラット)、紫外線紅斑(モルモット)に対して、基剤より有意に強い抑制作用を示した19),21)
    カラゲニンによる背部浮腫(ラット)、抗ラット家兎血清による背部浮腫(ラット)、紫外線紅斑(モルモット)に対しては、インドメタシン1%含有軟膏、副腎エキス含有軟膏及びサリチル酸メチル含有貼付剤と同等かそれ以上の抑制作用を示した21)

  2. 18.3.2 慢性炎症に対する作用

    ホルマリン浸漬濾紙法による肉芽形成(ラット)、アジュバント関節炎(ラット)に対して、基剤より有意に強い抑制作用を示した19),22)
    ペーパーディスク法による肉芽形成(モルモット)に対しては、インドメタシン1%含有軟膏、副腎エキス含有軟膏及びサリチル酸メチル含有貼付剤とほぼ同等かそれ以上の抑制作用を示した21)

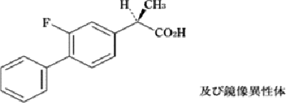
19. 有効成分に関する理化学的知見

一般的名称

フルルビプロフェン(Flurbiprofen)

化学名

(2RS)-2-(2-Fluorobiphenyl-4-yl)propanoic acid

分子式

C15H13FO2

分子量

244.26

性状

白色の結晶性の粉末で、わずかに刺激性のにおいがある。
メタノール、エタノール(95)、アセトン又はジエチルエーテルに溶けやすく、アセトニトリルにやや溶けやすく、水にほとんど溶けない。エタノール(95)溶液(1→50)は旋光性を示さない。

化学構造式

融点

114~117℃

20. 取扱い上の注意

内袋開封後はチャックを閉めて保存すること。

22. 包装

**ゼポラスパップ40mg:140枚(7枚×20)700枚(7枚×100)

24. 文献請求先及び問い合わせ先

三笠製薬株式会社 営業本部学術課

〒176-8585
東京都練馬区豊玉北二丁目3番1号

TEL(03)3557-7287
FAX(03)3994-7462

26. 製造販売業者等

26.1 製造販売元

三笠製薬株式会社

東京都練馬区豊玉北2-3-1

〒100-0013 東京都千代田区霞が関3-3-2 新霞が関ビル

画面を閉じる

Copyright © Pharmaceuticals and Medical Devices Agency, All Rights reserved.