医療用医薬品 詳細表示

SPトローチ0.25mg「明治」

添付文書番号

2399710E1046_1_05

企業コード

780009

作成又は改訂年月

2020年4月改訂(第1版)

日本標準商品分類番号

87239

薬効分類名

口腔用剤

承認等

SPトローチ0.25mg「明治」

販売名コード

YJコード

2399710E1046

販売名英語表記

SP TROCHES「MEIJI」

販売名ひらがな

えすぴーとろーち0.25mg「めいじ」

承認番号等

承認番号

22100AMX00956000

販売開始年月

1975年1月

貯法・有効期間

貯法

室温保存

有効期間

4年

一般的名称

デカリニウム塩化物

3. 組成・性状

3.1 組成

SPトローチ0.25mg「明治」

有効成分(1錠中)
デカリニウム塩化物0.25mg   
添加剤白糖、D-マンニトール、ゼラチン、カルメロースナトリウム、ステアリン酸、ステアリン酸マグネシウム、パラオキシ安息香酸メチル、カンゾウエキス、青色一号アルミニウムレーキ
香料、アラビアガム、デキストリン、プロピレングリコール、緑茶末、l-メントール、エチルバニリン、バニリン

3.2 製剤の性状

SPトローチ0.25mg「明治」

剤形ドーナツ形のトローチ剤
色調うすい青色
外形表面
裏面
側面
大きさ直径18.1(mm)
厚さ5.2(mm)
質量1.40(g)

4. 効能・効果

咽頭炎、扁桃炎、口内炎、抜歯創を含む口腔創傷の感染予防

6. 用法・用量

デカリニウム塩化物として、通常1回0.25mgを1日6回投与し、口中で徐々に溶解させる。なお、症状により適宜増減する。

11. 副作用

次の副作用があらわれることがあるので、観察を十分に行い、異常が認められた場合には投与を中止するなど適切な処置を行うこと。

11.2 その他の副作用

頻度不明

過敏症

過敏症状

14. 適用上の注意

14.1 薬剤交付時の注意

PTP包装の薬剤はPTPシートから取り出して服用するよう指導すること。PTPシートの誤飲により、硬い鋭角部が食道粘膜へ刺入し、更には穿孔をおこして縦隔洞炎等の重篤な合併症を併発することがある。

14.2 薬剤投与時の注意

本剤は口腔内で唾液により徐々に溶かしながら用いるもので、嚙み砕いたり、呑み込んだりせずにできるだけ長く口中に含んで有効成分が口腔内に長時間保たれるようにすること。

18. 薬効薬理

18.1 作用機序

デカリニウム塩化物の作用機序を検討するため、Staphylococcus aureus CN491及びBacillus megaterium KMにデカリニウム塩化物を作用させ、電子顕微鏡で形態的観察を行った。いずれの菌も変化は主に細胞内に限定され、原形質は明らかに無秩序化されていた。また、14C標識デカリニウム塩化物を作用させたときのB. megaterium KMの細胞壁及び原形質への分布は、本剤の原形質内への浸透を示した1)
デカリニウム塩化物の蛋白凝固作用と抗菌力を検討した実験より、デカリニウム塩化物の作用機序には蛋白に及ぼす影響が関連することが推察された2)

18.2 in vitro抗菌作用

デカリニウム塩化物は、グラム陽性菌、真菌などに抗菌作用を示した3)

表1 in vitro抗菌作用

被験菌

最小発育阻止濃度(μg/mL)

S. aureus

3.12

Beta hemolytic Streptococcus

6.25

Klebsiella sp.

>100.0

C. albicans

1.56

18.3 ヒトの唾液、血清による影響

唾液による抗菌力の低下はわずかに認められたが、血清による抗菌力の低下はほとんど認められなかった4),5)

表2 ヒト唾液の影響

培地中の唾液濃度(%)

最小発育阻止濃度(μg/mL)
5日目

0

0.221

5

0.625

10

0.878

被験菌:Staphylococcus aureus CN491
培地:ブドウ糖・ペプトン水(37℃)

表3 ヒト血清による影響

薬剤

培地中の
血清濃度(%)

最小発育阻止濃度(μg/mL)

24時間

5日

デカリニウム塩化物

None

0.31

0.31

human 10

0.31

0.63

human 50

0.63

0.63

被験菌:Staphylococcus aureus CN491
培地:ペプトン水(37℃)

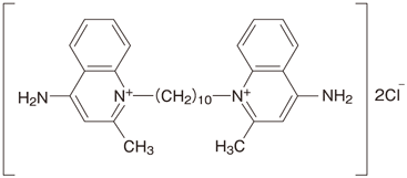
19. 有効成分に関する理化学的知見

一般的名称

デカリニウム塩化物(Dequalinium Chloride)

分子式

C30H40Cl2N4

分子量

527.57

性状

デカリニウム塩化物は白色~帯黄白色の結晶性の粉末で、においはなく、味は苦い。
本品は水、メタノール又はエタノールに溶けにくく、氷酢酸又は無水酢酸にほとんど溶けない。

化学構造式

融点

310~318℃(分解)

20. 取扱い上の注意

アルミピロー開封後は、光を避けて保存すること。

22. 包装

PTP包装 1200錠(12錠×100) 3000錠(12錠×250)

24. 文献請求先及び問い合わせ先

Meiji Seika ファルマ株式会社 くすり相談室

〒104-8002 東京都中央区京橋2-4-16

フリーダイヤル(0120)093-396 電話(03)3273-3539
FAX(03)3272-2438

26. 製造販売業者等

26.1 製造販売元

Meiji Seika ファルマ株式会社

東京都中央区京橋2-4-16

〒100-0013 東京都千代田区霞が関3-3-2 新霞が関ビル

画面を閉じる

Copyright © Pharmaceuticals and Medical Devices Agency, All Rights reserved.