医療用医薬品 詳細表示

ヒアルロン酸Na関節注25mgシリンジ「明治」

処方せん医薬品

添付文書番号
企業コード
作成又は改訂年月
日本標準商品分類番号
薬効分類名
承認等
一般的名称
2.禁忌(次の患者には投与しないこと)
3.組成・性状
3.1組成
3.2製剤の性状
4.効能・効果
5.効能・効果に関連する注意
6.用法・用量
7.用法・用量に関連する注意
8.重要な基本的注意
9.特定の背景を有する患者に関する注意
9.1合併症・既往歴等のある患者
9.3肝機能障害患者
9.5妊婦
9.6授乳婦
9.7小児等
11.副作用
11.1重大な副作用
11.2その他の副作用
14.適用上の注意
16.薬物動態
16.1血中濃度
16.2吸収
16.3分布
16.4代謝
16.5排泄
17.臨床成績
17.1有効性及び安全性に関する試験
18.薬効薬理
18.1作用機序
18.2関節軟骨に対する作用
18.3関節可動域の改善作用
18.4疼痛抑制作用
19.有効成分に関する理化学的知見
20.取扱い上の注意
22.包装
23.主要文献
24.文献請求先及び問い合わせ先
26.製造販売業者等

ヒアルロン酸Na関節注25mgシリンジ「明治」

添付文書番号

3999408G1441_1_05

企業コード

780009

作成又は改訂年月

2023年12月改訂(第1版)

日本標準商品分類番号

873999

薬効分類名

関節機能改善剤

承認等

ヒアルロン酸Na関節注25mgシリンジ「明治」

販売名コード

YJコード

3999408G1441

販売名英語表記

SODIUM HYALURONATE Intra-articular Injection Syringe「MEIJI」

販売名ひらがな

ひあるろんさんNaかんせつちゅう25mgしりんじ「めいじ」

承認番号等

承認番号

23000AMX00544000

販売開始年月

2019年3月

貯法・有効期間

貯法

室温保存

有効期間

3年

基準名

日本薬局方

精製ヒアルロン酸ナトリウム注射液

一般的名称

精製ヒアルロン酸ナトリウム

2. 禁忌(次の患者には投与しないこと)

本剤の成分に対し過敏症の既往歴のある患者

3. 組成・性状

3.1 組成

ヒアルロン酸Na関節注25mgシリンジ「明治」

有効成分  1シリンジ(2.5mL)中
日局精製ヒアルロン酸ナトリウム25mg
添加剤  リン酸水素ナトリウム水和物、pH調節剤、等張化剤

Streptococcus属の菌株を用いた発酵生成物より精製

3.2 製剤の性状

ヒアルロン酸Na関節注25mgシリンジ「明治」

形状粘稠性の水性注射液
無色澄明
pH6.8~7.8
浸透圧比
(日局生理食塩液対比)
約1

本剤の平均分子量は60万~120万、極限粘度は11.8~19.5dL/gである。

4. 効能・効果

  • 変形性膝関節症、肩関節周囲炎
  • 関節リウマチにおける膝関節痛(下記(1)~(4)の基準を全て満たす場合に限る)
    • (1)抗リウマチ薬等による治療で全身の病勢がコントロールできていても膝関節痛のある場合
    • (2)全身の炎症症状がCRP値として10mg/dL以下の場合
    • (3)膝関節の症状が軽症から中等症の場合
    • (4)膝関節のLarsen X線分類がGradeIからGradeIIIの場合

5. 効能・効果に関連する注意

  • 〈関節リウマチにおける膝関節痛〉
    1. 5.1 膝関節以外の使用経験はなく、他の関節については有効性・安全性が確立していないため本剤を投与しないこと。
    2. 5.2 関節リウマチでは膝関節の器質的変化が高度なものは有効性・安全性が確立していないため本剤を投与しないこと。

6. 用法・用量

  • 〈変形性膝関節症、肩関節周囲炎〉

    通常、成人1回1シリンジを1週間ごとに連続5回膝関節腔内又は肩関節(肩関節腔、肩峰下滑液包又は上腕二頭筋長頭腱腱鞘)内に投与するが、症状により投与回数を適宜増減する。

  • 〈関節リウマチにおける膝関節痛〉

    通常、成人1回2.5mLを1週間毎に連続5回膝関節腔内に投与する。

  • 本剤は関節内に投与するので、厳重な無菌的操作のもとに行うこと。

7. 用法・用量に関連する注意

  • 〈効能共通〉
    1. 7.1 症状の改善が認められない場合は、5回を限度として投与を中止すること。
  • 〈関節リウマチにおける膝関節痛〉
    1. 7.2 本剤による治療は原因療法ではなく局所に対する対症療法であるので抗リウマチ薬等と併用すること。本剤は漫然と連用する薬剤ではない。

8. 重要な基本的注意

  • 〈効能共通〉
    1. 8.1 本剤の投与により、ときに局所痛があらわれることがあるので、投与後の局所安静を指示するなどの措置を講じること。
    2. 8.2 関節腔外に漏れると疼痛を起こすおそれがあるので、関節腔内に確実に投与すること。
  • 〈変形性膝関節症、関節リウマチにおける膝関節痛〉
    1. 8.3 投与関節の炎症又は関節液貯留が著しい場合は、本剤の投与により局所炎症症状の悪化を招くことがあるので、炎症症状を抑えてから本剤を投与することが望ましい。

9. 特定の背景を有する患者に関する注意

9.1 合併症・既往歴等のある患者

  1. 9.1.1 他の薬剤に対して過敏症の既往歴のある患者
  2. 9.1.2 投与関節部に皮膚疾患又は感染のある患者

    本剤は関節内に投与するため。

9.3 肝機能障害患者

  1. 9.3.1 肝障害又はその既往歴のある患者

    肝障害の既往歴のある患者においてAST、ALT異常値例がみられた。

9.5 妊婦

妊婦又は妊娠している可能性のある女性には、治療上の有益性が危険性を上回ると判断される場合にのみ投与すること。動物実験(ウサギ)では催奇形性は認められていない。

9.6 授乳婦

治療上の有益性及び母乳栄養の有益性を考慮し、授乳の継続又は中止を検討すること。
動物実験(ラット)で乳汁中へ移行することが認められている。

9.7 小児等

小児等を対象とした臨床試験は実施していない。

11. 副作用

次の副作用があらわれることがあるので、観察を十分に行い、異常が認められた場合には投与を中止するなど適切な処置を行うこと。

11.1 重大な副作用

  1. 11.1.1 ショック(頻度不明)

    ショック症状があらわれることがある。

11.2 その他の副作用

0.1~5%未満

頻度不明

過敏症

蕁麻疹等の発疹、そう痒感、浮腫(顔面、眼瞼等)、顔面発赤

投与関節

疼痛(主に投与後の一過性の疼痛)、熱感、局所の重苦しさ

腫脹、水腫、発赤、関節周囲のしびれ感

肝臓

AST上昇、ALT上昇、Al-P上昇、LDH上昇

血液

好酸球増多、ヘマトクリット低下、白血球増多

その他

嘔気・嘔吐、発熱、倦怠感、蛋白尿、尿沈渣異常、動悸、ほてり、総蛋白低下、BUN上昇

14. 適用上の注意

14.1 薬剤投与前の注意

  1. 14.1.1 関節液の貯留があるときには、必要に応じ穿刺により排液すること。

14.2 薬剤投与時の注意

  1. 14.2.1 本剤は膝関節腔内又は肩関節内に投与するので、厳重な無菌的操作のもとに行うこと。
  2. 14.2.2 ルアー部が破損しないようゴム栓を回しながら引き抜くこと。
  3. 14.2.3 本剤は粘稠なため、22~23G程度の注射針を用いて投与することが望ましい。
  4. 14.2.4 眼科用には使用しないこと。
  5. 14.2.5 血管内へは投与しないこと。

14.3 薬剤投与後の注意

  1. 14.3.1 本剤の使用は1回限りとし、使用後は廃棄すること。

16. 薬物動態

16.1 血中濃度

ウサギの膝関節腔内に1%14C-ヒアルロン酸ナトリウム0.1mL/kgを単回投与した結果、投与後約48時間に最高値を示し、以後徐々に減少した1)

16.2 吸収

ウサギの膝関節腔内に1%14C-ヒアルロン酸ナトリウム0.1mL/kgを単回投与した結果、投与後72時間(約3日間)で関節液中より消失した。関節液中半減期は約20時間であった1)

16.3 分布

ウサギの膝関節腔内に1%14C-ヒアルロン酸ナトリウム0.1mL/kgを単回投与した結果、関節組織内濃度は、靱帯、滑膜組織に高く、次いで半月板、関節軟骨で高い分布が認められた。肝臓、脾臓でも高い分布が認められたが、蓄積は認められなかった1)

16.4 代謝

ウサギの膝関節腔内に1%14C-ヒアルロン酸ナトリウム0.1mL/kgを単回投与した結果、関節液中ではほとんど代謝されることなく滑膜組織にとり込まれ、そこで一部低分子化をうけ血中へ移行したのち、主に肝臓で代謝された1)

16.5 排泄

ウサギの膝関節腔内に1%14C-ヒアルロン酸ナトリウム0.1mL/kgを単回投与した結果、大部分が呼気中の14CO2として排泄され、一部が尿・糞中に単糖およびヒアルロン酸の低分子化物として排泄された1)

17. 臨床成績

17.1 有効性及び安全性に関する試験

  • 〈変形性膝関節症〉
    1. 17.1.1 国内第III相群間比較試験

      変形性膝関節症患者223例を対象とした多施設群間比較試験において、本剤(1%ヒアルロン酸ナトリウム溶液2.5mL)または対照薬剤(0.01%ヒアルロン酸ナトリウム溶液2.5mL)を1週に1回、連続5回膝関節腔内に注射し、評価は試験開始時、毎回投与時に行った。運動時痛、安静時痛、圧痛、日常生活動作等を指標とし、試験終了時に各週の改善度の推移を総合的に考慮した有効率(最終全般改善度)(「中等度改善」以上)は、本剤投与群では64.1%(66/103例)であり、対照薬剤投与群に比し有意に優れていた。副作用発現率は本剤投与群で0.9%(1/110例)であり、膝関節の局所痛がみられた。また、有用率(「かなり有用」以上)は64.1%(66/103例)であった2)

  • 〈肩関節周囲炎〉
    1. 17.1.2 国内第III相群間比較試験

      肩関節周囲炎患者152例を対象とした群間比較試験において、本剤(1%ヒアルロン酸ナトリウム溶液2.5mL)または対照薬剤(0.01%ヒアルロン酸ナトリウム溶液2.5mL)を1週に1回、連続5回肩関節(肩関節腔、肩峰下滑液包または上腕二頭筋長頭腱腱鞘)内に注射し、評価は試験開始時と毎回投与時に行った。夜間時痛、運動時痛、圧痛、日常生活動作等を指標とし、試験終了時に各週の改善度の推移を総合的に考慮した有効率(最終全般改善度)(「中等度改善」以上)は、本剤投与群では70.2%(47/67例)であり、対照薬剤投与群に比し有意に優れていた。副作用発現率は本剤投与群で2.7%(2/74例)であり、いずれも注射時局所痛であった。また、有用率は68.7%(46/67例)であった3)

    2. 17.1.3 国内第III相一般臨床試験

      肩関節周囲炎患者37例を対象とした多施設共同(7施設)一般臨床試験において、本剤(1%ヒアルロン酸ナトリウム溶液2.5mL)を、群間比較試験と同様の試験方法で投与・評価した結果、有効率は70.6%(24/34例)であった。副作用発現率は2.8%(1/36例)であり、肩の疼痛増強がみられた。また、有用率は70.6%(24/34例)であった4)

  • 〈関節リウマチにおける膝関節痛〉
    1. 17.1.4 国内第III相群間比較試験

      アメリカリウマチ協会の診断基準でClassical又はDefinite RAと診断され膝関節に疼痛、炎症等の症状を有する軽症から中等症の患者203例に、1%ヒアルロン酸ナトリウム関節注2.5mLおよび対照として0.01%ヒアルロン酸ナトリウム関節注2.5mLを用いて、無作為割り付け群間比較試験を各々1回2.5mL、週1回、連続5回膝関節腔内注入により行った。138例について解析を行った結果、全般改善度(「中等度改善」以上)は1%ヒアルロン酸ナトリウム関節注投与群64.7%(44/68例)、0.01%投与群5.7%(4/70例)であり、両者間に有意差(P=0.0001 Wilcoxon順位和検定)が認められた。副作用は、1%ヒアルロン酸ナトリウム関節注投与群に軽度のそう痒感が1例(1%)認められたが臨床的に問題となるものではなかった5)

18. 薬効薬理

18.1 作用機序

関節軟骨表面の被覆・保護作用、軟骨組織の変性変化抑制作用、拘縮関節の可動域改善作用、関節疼痛抑制作用を有する6),7),8)

18.2 関節軟骨に対する作用

  1. 18.2.1 正常ウサギ膝関節腔内投与により、軟骨表層への取り込みが認められた。また、ヒト変形性膝関節症軟骨(in vitro)において、分布は時間とともに軟骨表層から全層へと広がり、この軟骨内分布はプロテオグリカンの喪失部位と一致していた6)
  2. 18.2.2 ウシ関節軟骨細胞(in vitro)のプロテオグリカンの遊離を抑制した7)
  3. 18.2.3 ウサギを用いた変形性膝関節症モデル及び固定膝関節拘縮モデルにおいて、関節腔内投与により、軟骨の変性を抑制した6)

18.3 関節可動域の改善作用

ウサギを用いた固定膝関節拘縮モデルにおいて、関節腔内投与により関節可動域を改善した6)

18.4 疼痛抑制作用

イヌを用いた尿酸塩結晶誘発膝関節疼痛に対し、抑制作用が認められた7)

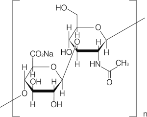
19. 有効成分に関する理化学的知見

一般的名称

精製ヒアルロン酸ナトリウム(Purified Sodium Hyaluronate)

分子式

(C14H20NNaO11)n

分子量

平均分子量50万~149万

性状

精製ヒアルロン酸ナトリウムは白色の粉末、粒又は繊維状の塊である。
本品は水にやや溶けにくく、エタノール(99.5)にほとんど溶けない。
本品は吸湿性である。

化学構造式

20. 取扱い上の注意

  1. 20.1 シリンジにひび・破損等の異常が認められるときは使用しないこと。
  2. 20.2 本品は、落としたり衝撃を与えたりしないこと。容器の破損の原因となることがある。

22. 包装

10シリンジ

24. 文献請求先及び問い合わせ先

*Meiji Seika ファルマ株式会社 くすり相談室
(Meファルマ株式会社専用ダイヤル)

〒104-8002 東京都中央区京橋2-4-16

フリーダイヤル(0120)261-158 FAX(03)3272-2438

26. 製造販売業者等

26.1 製造販売元

Meiji Seika ファルマ株式会社

東京都中央区京橋2-4-16

26.2 *販売元

Meファルマ株式会社

東京都中央区京橋2-4-16



〒100-0013 東京都千代田区霞が関3-3-2 新霞が関ビル

画面を閉じる

Copyright © Pharmaceuticals and Medical Devices Agency, All Rights reserved.