医療用医薬品 詳細表示

ビクシリンドライシロップ10%

処方せん医薬品

添付文書番号
企業コード
作成又は改訂年月
日本標準商品分類番号
薬効分類名
承認等
一般的名称
2.禁忌(次の患者には投与しないこと)
3.組成・性状
3.1組成
3.2製剤の性状
4.効能・効果
5.効能・効果に関連する注意
6.用法・用量
8.重要な基本的注意
9.特定の背景を有する患者に関する注意
9.1合併症・既往歴等のある患者
9.2腎機能障害患者
9.5妊婦
9.6授乳婦
9.8高齢者
10.相互作用
10.2併用注意(併用に注意すること)
11.副作用
11.1重大な副作用
11.2その他の副作用
12.臨床検査結果に及ぼす影響
14.適用上の注意
15.その他の注意
15.1臨床使用に基づく情報
16.薬物動態
16.1血中濃度
16.5排泄
18.薬効薬理
18.1作用機序
18.2invitro抗菌作用
19.有効成分に関する理化学的知見
20.取扱い上の注意
22.包装
23.主要文献
24.文献請求先及び問い合わせ先
26.製造販売業者等

ビクシリンドライシロップ10%

添付文書番号

6131002R1110_1_09

企業コード

780009

作成又は改訂年月

2023年5月改訂(第2版)
2022年9月改訂

日本標準商品分類番号

876131

薬効分類名

ペニシリン系抗生物質製剤

承認等

ビクシリンドライシロップ10%

販売名コード

YJコード

6131002R1110

販売名英語表記

VICCILLIN DRY SYRUP

販売名ひらがな

びくしりんどらいしろっぷ10%

承認番号等

承認番号

22100AMX00957000

販売開始年月

1966年11月

貯法・有効期間

貯法

室温保存

有効期間

3年

一般的名称

アンピシリン水和物

2. 禁忌(次の患者には投与しないこと)

  1. 2.1 本剤の成分に対し過敏症の既往歴のある患者
  2. 2.2 伝染性単核症のある患者[発疹の発現頻度を高めることがある。]

3. 組成・性状

3.1 組成

ビクシリンドライシロップ10%

有効成分  1g中日局アンピシリン水和物100mg(力価)
添加剤  ヒドロキシプロピルセルロース、安息香酸ナトリウム、塩化ナトリウム、サッカリンナトリウム水和物、シリコーン樹脂、精製白糖、黄色五号アルミニウムレーキ
香料、プロピレングリコール、グリセリン脂肪酸エステル、カルボキシメチルセルロースナトリウム、微結晶セルロース、微粒二酸化ケイ素、乳糖、精製カラギナン、バニリン、エチルバニリン、ジブチルヒドロキシトルエン、トコフェロール

3.2 製剤の性状

ビクシリンドライシロップ10%

剤形細粒
色調淡紅色
におい芳香
味は甘い

4. 効能・効果

  • 〈適応菌種〉

    本剤に感性のブドウ球菌属、レンサ球菌属、肺炎球菌、腸球菌属、淋菌、炭疽菌、放線菌、大腸菌、赤痢菌、プロテウス・ミラビリス、インフルエンザ菌

  • 〈適応症〉

    表在性皮膚感染症、深在性皮膚感染症、リンパ管・リンパ節炎、慢性膿皮症、外傷・熱傷及び手術創等の二次感染、乳腺炎、骨髄炎、咽頭・喉頭炎、扁桃炎、急性気管支炎、肺炎、肺膿瘍、膿胸、慢性呼吸器病変の二次感染、膀胱炎、腎盂腎炎、淋菌感染症、腹膜炎、肝膿瘍、感染性腸炎、子宮内感染、眼瞼膿瘍、麦粒腫、角膜炎(角膜潰瘍を含む)、中耳炎、副鼻腔炎、歯周組織炎、歯冠周囲炎、顎炎、抜歯創・口腔手術創の二次感染、猩紅熱、炭疽、放線菌症

5. 効能・効果に関連する注意

  • 〈咽頭・喉頭炎、扁桃炎、急性気管支炎、感染性腸炎、中耳炎、副鼻腔炎〉

    「抗微生物薬適正使用の手引き」1)を参照し、抗菌薬投与の必要性を判断した上で、本剤の投与が適切と判断される場合に投与すること。

6. 用法・用量

用時溶解し、通常成人には1回本剤2.5~5g[アンピシリン水和物として250~500mg(力価)]を1日4~6回経口投与する。
小児には体重1kg当り本剤0.25~0.5g[アンピシリン水和物として25~50mg(力価)]を1日量とし、4回に分けて経口投与する。
なお、年齢、症状により適宜増減する。

8. 重要な基本的注意

  1. 8.1 本剤の使用にあたっては、耐性菌の発現等を防ぐため、原則として感受性を確認し、疾病の治療上必要な最小限の期間の投与にとどめること。
  2. 8.2 ショックを起こすおそれがあるので、十分な問診を行うこと。
  3. 8.3 無顆粒球症、溶血性貧血があらわれることがあるので、定期的に検査を行うこと。
  4. 8.4 急性腎障害等の重篤な腎障害があらわれることがあるので、定期的に検査を行うこと。
  5. 8.5 *肝機能障害があらわれることがあるので、定期的に検査を行うこと。

9. 特定の背景を有する患者に関する注意

9.1 合併症・既往歴等のある患者

  1. 9.1.1 ペニシリン系又はセフェム系抗生物質に対し過敏症の既往歴のある患者(ただし、本剤に対し過敏症の既往歴のある患者には投与しないこと)
  2. 9.1.2 本人又は両親、兄弟に気管支喘息、発疹、蕁麻疹等のアレルギー症状を起こしやすい体質を有する患者
  3. 9.1.3 経口摂取の不良な患者又は非経口栄養の患者、全身状態の悪い患者

    観察を十分に行うこと。ビタミンK欠乏症状があらわれることがある。

9.2 腎機能障害患者

  1. 9.2.1 高度の腎障害のある患者

    投与間隔をあけて使用すること。血中濃度が持続する。

9.5 妊婦

妊婦又は妊娠している可能性のある女性には、治療上の有益性が危険性を上回ると判断される場合にのみ投与すること。大量(3,000mg/kg/day)投与でラットに催奇形性が報告されている。

9.6 授乳婦

治療上の有益性及び母乳栄養の有益性を考慮し、授乳の継続又は中止を検討すること。母乳中へ移行することが報告されている。

9.8 高齢者

次の点に注意し、用量並びに投与間隔に留意するなど患者の状態を観察しながら慎重に投与すること。

  • 生理機能が低下していることが多く副作用が発現しやすい。
  • ビタミンK欠乏による出血傾向があらわれることがある。

10. 相互作用

    10.2 併用注意(併用に注意すること)

    薬剤名等臨床症状・措置方法機序・危険因子
    • 経口避妊薬

    経口避妊薬の効果が減弱するおそれがある。

    腸内細菌叢を変化させ、経口避妊薬の腸肝循環による再吸収を抑制すると考えられる。

    11. 副作用

    次の副作用があらわれることがあるので、観察を十分に行い、異常が認められた場合には投与を中止するなど適切な処置を行うこと。

    11.1 重大な副作用

    1. 11.1.1 ショック、アナフィラキシー(いずれも0.1%未満)

      不快感、口内異常感、喘鳴、眩暈、便意、耳鳴等があらわれた場合には、投与を中止し、適切な処置を行うこと。

    2. 11.1.2 中毒性表皮壊死融解症(Toxic Epidermal Necrolysis:TEN)2)(0.1%未満)、皮膚粘膜眼症候群(Stevens-Johnson症候群)3),4)(0.1%未満)、急性汎発性発疹性膿疱症(頻度不明)
    3. 11.1.3 無顆粒球症、溶血性貧血(いずれも0.1%未満)

    4. 11.1.4 急性腎障害等の重篤な腎障害(0.1%未満)

    5. 11.1.5 偽膜性大腸炎等の血便を伴う重篤な大腸炎5)(0.1%未満)

      腹痛、頻回の下痢があらわれた場合には、直ちに投与を中止し、適切な処置を行うこと。

    6. 11.1.6 肝機能障害(頻度不明)

      *AST、ALTの上昇等を伴う肝機能障害があらわれることがある。

    11.2 その他の副作用

    5%以上又は
    頻度不明

    0.1~5%未満

    0.1%未満

    過敏症

    発熱、発疹、蕁麻疹等

    血液

    好酸球増多、顆粒球減少、血小板減少、貧血

    肝臓

    AST上昇

    消化器

    下痢、悪心、食欲不振等

    菌交代症

    口内炎、カンジダ症

    ビタミン欠乏症

    ビタミンK欠乏症状(低プロトロンビン血症、出血傾向等)、ビタミンB群欠乏症状(舌炎、口内炎、食欲不振、神経炎等)

    12. 臨床検査結果に及ぼす影響

    本剤の投与により、ベネディクト試薬、フェーリング試薬による尿糖検査では偽陽性を呈することがあるので注意すること。

    14. 適用上の注意

    14.1 薬剤交付時の注意

    シロップ剤にする際は、以下の点に注意するよう指導すること。

    • シロップ剤にして冷蔵庫中に10日間保存しても力価の低下は認められないが、なるべく早く服用すること。
    • シロップ剤にしてしばらくすると沈殿を生じるので、使用の際はよく振盪すること。

    15. その他の注意

    15.1 臨床使用に基づく情報

    アンピシリンとアロプリノールとの併用により、発疹の発現が増加するとの報告がある。

    16. 薬物動態

    16.1 血中濃度

    本剤250mg(力価)を小児(n=5、体重15.0~18.3kg;平均16.8kg)に単回経口投与した場合の血中濃度のピークは、投与1時間後にみられ、2.24μg/mLの値を示し、以後漸減した6)

    16.5 排泄

    本剤250mg(力価)を小児(n=5、体重15.0~18.3kg;平均16.8kg)に単回経口投与した場合、6時間までの尿中排泄は約30%であった。

    18. 薬効薬理

    18.1 作用機序

    細菌の細胞壁合成阻害により、殺菌的に作用する。

    18.2 in vitro抗菌作用

    ベンジルペニシリン感性黄色ブドウ球菌、化膿レンサ球菌、肺炎球菌、エンテロコッカス・フェカーリスなどのグラム陽性菌及び赤痢菌、大腸菌、プロテウス・ミラビリス、インフルエンザ菌などのグラム陰性菌に強い抗菌作用を示した7)

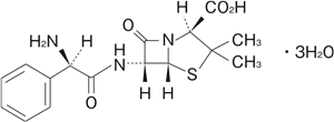
    19. 有効成分に関する理化学的知見

    一般的名称

    アンピシリン水和物(Ampicillin Hydrate)

    化学名

    (2S,5R,6R)-6-[(2R)-2-Amino-2-phenylacetylamino]-3,3-dimethyl-7-oxo-4-thia-1-azabicyclo[3.2.0]heptane-2-carboxylic acid trihydrate

    分子式

    C16H19N3O4S・3H2O

    分子量

    403.45

    性状

    アンピシリン水和物は白色~淡黄白色の結晶又は結晶性の粉末である。
    本品は水にやや溶けにくく、メタノールに溶けにくく、エタノール(95)に極めて溶けにくく、アセトニトリルにほとんど溶けない。

    化学構造式

    分配係数

    略号

    ABPC

    20. 取扱い上の注意

    ボトル開封後は密栓し、湿気を避けて保存すること。

    22. 包装

    ボトル(乾燥剤入) 100g

    24. 文献請求先及び問い合わせ先

    Meiji Seika ファルマ株式会社 くすり相談室

    〒104-8002 東京都中央区京橋2-4-16

    フリーダイヤル(0120)093-396 電話(03)3273-3539
    FAX(03)3272-2438

    26. 製造販売業者等

    26.1 製造販売元

    Meiji Seika ファルマ株式会社

    東京都中央区京橋2-4-16

    〒100-0013 東京都千代田区霞が関3-3-2 新霞が関ビル

    画面を閉じる

    Copyright © Pharmaceuticals and Medical Devices Agency, All Rights reserved.