医療用医薬品 詳細表示

パニマイシン注射液50mg/パニマイシン注射液100mg

処方せん医薬品

添付文書番号
企業コード
作成又は改訂年月
日本標準商品分類番号
薬効分類名
承認等
一般的名称
2.禁忌(次の患者には投与しないこと)
3.組成・性状
3.1組成
3.2製剤の性状
4.効能・効果
5.効能・効果に関連する注意
6.用法・用量
7.用法・用量に関連する注意
8.重要な基本的注意
9.特定の背景を有する患者に関する注意
9.1合併症・既往歴等のある患者
9.2腎機能障害患者
9.3肝機能障害患者
9.5妊婦
9.6授乳婦
9.7小児等
9.8高齢者
10.相互作用
10.2併用注意(併用に注意すること)
11.副作用
11.1重大な副作用
11.2その他の副作用
13.過量投与
14.適用上の注意
15.その他の注意
15.1臨床使用に基づく情報
16.薬物動態
16.1血中濃度
16.3分布
16.5排泄
16.6特定の背景を有する患者
16.8その他
17.臨床成績
17.1有効性及び安全性に関する試験
18.薬効薬理
18.1作用機序
18.2invitro抗菌作用
19.有効成分に関する理化学的知見
22.包装
23.主要文献
24.文献請求先及び問い合わせ先
26.製造販売業者等

パニマイシン注射液50mg/パニマイシン注射液100mg

添付文書番号

6134400A1057_1_06

企業コード

780009

作成又は改訂年月

2023年5月改訂(第1版)

日本標準商品分類番号

876134

薬効分類名

アミノグリコシド系抗生物質製剤

承認等

パニマイシン注射液50mg

販売名コード

YJコード

6134400A1057

販売名英語表記

PANIMYCIN INJECTION

販売名ひらがな

ぱにまいしんちゅうしゃえき50mg

承認番号等

承認番号

21900AMX00754000

販売開始年月

1975年1月

貯法・有効期間

貯法

室温保存

有効期間

3年

パニマイシン注射液100mg

販売名コード

YJコード

6134400A2053

販売名英語表記

PANIMYCIN INJECTION

販売名ひらがな

ぱにまいしんちゅうしゃえき100mg

承認番号等

承認番号

21900AMX00755000

販売開始年月

1975年1月

貯法・有効期間

貯法

室温保存

有効期間

3年

一般的名称

ジベカシン硫酸塩

2. 禁忌(次の患者には投与しないこと)

本剤の成分並びにアミノグリコシド系抗生物質又はバシトラシンに対し過敏症の既往歴のある患者

3. 組成・性状

3.1 組成

パニマイシン注射液50mg

有効成分  1アンプル(1mL)中
日局ジベカシン硫酸塩50mg(力価)
添加剤  1アンプル(1mL)中
亜硫酸水素ナトリウム2mg
パラオキシ安息香酸メチル0.45mg
パラオキシ安息香酸プロピル0.05mg
  クエン酸ナトリウム水和物、pH調整剤、等張化剤

パニマイシン注射液100mg

有効成分  1アンプル(2mL)中
日局ジベカシン硫酸塩100mg(力価)
添加剤  1アンプル(2mL)中
亜硫酸水素ナトリウム4mg
パラオキシ安息香酸メチル0.9mg
パラオキシ安息香酸プロピル0.1mg
  クエン酸ナトリウム水和物、pH調整剤、等張化剤

3.2 製剤の性状

パニマイシン注射液50mg

形状注射液
無色澄明
pH5.5~7.5
浸透圧比
(日局生理食塩液対比)
約1

パニマイシン注射液100mg

形状注射液
無色澄明
pH5.5~7.5
浸透圧比
(日局生理食塩液対比)
約1

4. 効能・効果

  • 〈適応菌種〉

    ジベカシンに感性の黄色ブドウ球菌、大腸菌、肺炎桿菌、プロテウス属、モルガネラ・モルガニー、プロビデンシア・レットゲリ、緑膿菌

  • 〈適応症〉

    敗血症、深在性皮膚感染症、慢性膿皮症、外傷・熱傷及び手術創等の二次感染、扁桃炎、急性気管支炎、肺炎、慢性呼吸器病変の二次感染、膀胱炎、腎盂腎炎、腹膜炎、中耳炎

5. 効能・効果に関連する注意

  • 〈扁桃炎、急性気管支炎、中耳炎〉

    「抗微生物薬適正使用の手引き」1)を参照し、抗菌薬投与の必要性を判断した上で、本剤の投与が適切と判断される場合に投与すること。

6. 用法・用量

  • 〈筋注の場合〉

    通常、成人にはジベカシンとして、1日量100mg(力価)を1~2回に分け、小児にはジベカシンとして、1日量1~2mg(力価)/kgを1~2回に分け、それぞれ筋肉内注射する。

  • 〈点滴静注の場合〉

    通常、成人にジベカシンとして、1日量100mg(力価)を2回に分け、100~300mLの補液で希釈し、30分~1時間かけて点滴静注する。

    なお、いずれの場合も年齢、症状により適宜増減する。

7. 用法・用量に関連する注意

  1. 7.1 腎機能障害患者では、血中濃度の半減期が延長し、高い血中濃度が長時間持続して、第8脳神経障害又は腎障害があらわれるおそれがあるので、腎機能障害度に応じて、次のような方法により投与量及び投与間隔を調節すること。
    1. 7.1.1 腎機能正常者と等しい初回量を用い、維持量を半減して投与間隔を延長する方法2)

      障害度

      初回量

      投与間隔(時間)

      30>Ccr>10
      10>Ccr

      50mg
      50mg

      12~24
      24~48

      ※維持量は1/2量とする。
      Ccr:クレアチニン・クリアランス(mL/min)

    2. 7.1.2 腎機能正常者と等しい投与間隔で、初回量も維持量も減量する方法2)

      Ccrを用い、図及び計算式より求めた初回量及び維持量を投与する。

8. 重要な基本的注意

  1. 8.1 本剤の使用にあたっては、耐性菌の発現等を防ぐため、原則として感受性を確認し、疾病の治療上必要な最小限の期間の投与にとどめること。
  2. 8.2 本剤によるショック、アナフィラキシーの発生を確実に予知できる方法がないので、次の措置をとること。
    • 事前に既往歴等について十分な問診を行うこと。なお、抗生物質等によるアレルギー歴は必ず確認すること。
    • 投与に際しては、必ずショック等に対する救急処置のとれる準備をしておくこと。
    • 投与開始から投与終了後まで、患者を安静の状態に保たせ、十分な観察を行うこと。特に、投与開始直後は注意深く観察すること。
  3. 8.3 眩暈、耳鳴、難聴等の第8脳神経障害があらわれることがあるので慎重に投与すること。特に腎機能障害患者、高齢者、長期間投与患者及び大量投与患者等では血中濃度が高くなり易く、聴力障害の危険性がより大きくなるので、聴力検査を実施することが望ましい。アミノグリコシド系抗生物質の聴力障害は、高周波音に始まり低周波音へと波及するので、障害の早期発見のために、聴力検査の最高周波数である8kHzでの検査が有用である。,,,
  4. 8.4 急性腎障害等の重篤な腎障害があらわれることがあるので、定期的に検査を行うなど観察を十分に行うこと。,

9. 特定の背景を有する患者に関する注意

9.1 合併症・既往歴等のある患者

  1. 9.1.1 本人又はその血族がアミノグリコシド系抗生物質による難聴又はその他の難聴のある患者

    難聴が発現又は増悪するおそれがある。,

  2. 9.1.2 重症筋無力症の患者

    神経筋遮断作用がある。

  3. 9.1.3 経口摂取の不良な患者又は非経口栄養の患者、全身状態の悪い患者

    観察を十分に行うこと。ビタミンK欠乏症状があらわれることがある。

9.2 腎機能障害患者

投与量を減ずるか、投与間隔をあけて使用すること。高い血中濃度が持続し、腎障害が悪化するおそれがあり、また、第8脳神経障害等の副作用が強くあらわれるおそれがある。,,

9.3 肝機能障害患者

肝障害を悪化させるおそれがある。

9.5 妊婦

妊婦又は妊娠している可能性のある女性には、投与しないことが望ましい。動物実験で新生児に第8脳神経障害が報告されている。

9.6 授乳婦

治療上の有益性及び母乳栄養の有益性を考慮し、授乳の継続又は中止を検討すること。

9.7 小児等

  • 〈筋肉内注射〉
    1. 9.7.1 低出生体重児、新生児を対象とした有効性及び安全性を指標とした臨床試験は実施していない。
  • 〈点滴静注〉
    1. 9.7.2 使用しないこと。小児等を対象とした有効性及び安全性を指標とした臨床試験は実施していない。

9.8 高齢者

次の点に注意し、用量並びに投与間隔に留意するなど患者の状態を観察しながら慎重に投与すること。

  • 本剤は主として腎臓から排泄されるが、高齢者では腎機能が低下していることが多いため、高い血中濃度が持続するおそれがあり、第8脳神経障害、腎障害等の副作用があらわれやすい。,,,
  • ビタミンK欠乏による出血傾向があらわれることがある。

10. 相互作用

    10.2 併用注意(併用に注意すること)

    薬剤名等臨床症状・措置方法機序・危険因子
    • 腎障害を起こすおそれのある血液代用剤
      • デキストラン
        ヒドロキシエチルデンプン等

    腎障害が発現、悪化することがあるので、併用は避けることが望ましい。

    腎障害が発生した場合には、投与を中止し、透析療法等適切な処置を行うこと。

    機序は明確ではないが、併用によりアミノグリコシド系抗生物質の血中への蓄積、近位尿細管上皮の空胞変性が生じるという報告がある。

    • ループ利尿剤
      • フロセミド
        アゾセミド等

    腎障害及び聴器障害が発現、悪化するおそれがあるので、併用は避けることが望ましい。

    機序は明確ではないが、併用によりアミノグリコシド系抗生物質の血中濃度の上昇、腎への蓄積が起こるという報告がある。

    • 腎毒性及び聴器毒性を有する薬剤
      • バンコマイシン塩酸塩
        エンビオマイシン硫酸塩
        白金含有抗悪性腫瘍剤(シスプラチン、カルボプラチン、ネダプラチン)等

    腎障害及び聴器障害が発現、悪化するおそれがあるので、併用は避けることが望ましい。

    両薬剤ともに腎毒性、聴器毒性を有するが相互作用の機序は不明。

    • 麻酔剤
      筋弛緩剤
      • ベクロニウム臭化物
        A型ボツリヌス毒素等

    呼吸抑制があらわれるおそれがある。

    呼吸抑制があらわれた場合には、必要に応じ、コリンエステラーゼ阻害剤、カルシウム製剤の投与等の適切な処置を行うこと。

    両薬剤ともに神経筋遮断作用を有しており、併用によりその作用が増強される。

    • 腎毒性を有する薬剤
      • シクロスポリン
        アムホテリシンB等

    腎障害が発現、悪化するおそれがある。

    両薬剤ともに腎毒性を有するが、相互作用の機序は不明。

    11. 副作用

    次の副作用があらわれることがあるので、観察を十分に行い、異常が認められた場合には投与を中止するなど適切な処置を行うこと。

    11.1 重大な副作用

    1. 11.1.1 ショック(0.1%未満)

    2. 11.1.2 急性腎障害等の重篤な腎障害(0.1%未満)

      ,

    3. 11.1.3 眩暈、耳鳴、難聴(いずれも0.1%未満)等の第8脳神経障害

      ,,,

    11.2 その他の副作用

    0.1~5%未満

    0.1%未満

    過敏症

    発疹

    紅斑、浮腫性紅斑、瘙痒、発熱

    腎臓

    BUN、クレアチニンの上昇

    浮腫、蛋白尿、血尿、カリウム等電解質の異常

    肝臓

    AST、ALT、Al-P、LDHの上昇

    消化器

    下痢

    悪心・嘔吐、食欲不振

    血液

    貧血、好酸球増多

    ビタミン欠乏症

    ビタミンK欠乏症状(低プロトロンビン血症、出血傾向等)、ビタミンB群欠乏症状(舌炎、口内炎、食欲不振、神経炎等)

    注射部位

    注射局所の疼痛又は硬結(筋肉内注射時)

    その他

    頭痛、口唇部のしびれ感

    13. 過量投与

    1. 13.1 症状

      腎障害、聴覚障害、前庭障害、神経筋遮断症状、呼吸麻痺があらわれることがある。

    2. 13.2 処置

      血液透析、腹膜透析による薬剤の除去を行う。神経筋遮断症状、呼吸麻痺に対してはコリンエステラーゼ阻害剤、カルシウム製剤の投与又は機械的呼吸補助を行う。

    14. 適用上の注意

    14.1 薬剤調製時の注意

    • 〈投与経路共通〉
      1. 14.1.1 ピペラシリンと混合すると、両剤の反応によりアミドを形成し、本剤の活性低下を来すので、それぞれ別経路で投与すること。
    • 〈点滴静注〉
      1. 14.1.2 溶解後は速やかに使用すること。

    14.2 薬剤投与時の注意

    • 〈投与経路共通〉
      1. 14.2.1 筋肉内注射又は点滴静注にのみ使用すること。
    • 〈筋肉内注射〉
      1. 14.2.2 組織・神経などへの影響を避けるため、下記の点に注意すること。
        • 同一部位への反復注射はなるべく行わないこと。
          また、小児等には特に注意すること。
        • 神経走行部位を避けるよう注意すること。
          なお、注射針を刺入したとき、神経に当たったと思われるような激痛を訴えた場合は、直ちに針を抜き、部位をかえて注射すること。
        • 注射器の内筒を軽くひき、血液の逆流がないことを確かめて注射すること。
        • 硬結をきたすことがあるので、注射直後は局所を十分にもむこと。
    • 〈点滴静注〉
      1. 14.2.3 ときに血管痛を起こすことがあるので、注射液の調製、注射部位、注射方法に注意し、注射速度はできるだけ遅くすること。

    15. その他の注意

    15.1 臨床使用に基づく情報

    クエン酸水和物で抗凝固処理した血液を大量輸血された患者にアミノグリコシド系抗生物質を投与すると、投与経路にかかわらず、神経筋遮断症状、呼吸麻痺があらわれることがある。

    16. 薬物動態

    16.1 血中濃度

    1. 16.1.1 腎機能正常者

      腎機能正常成人男子(n=4)に、本剤100mgを筋注あるいは、50mg及び100mgを1時間かけて点滴静注した時の血清中濃度を検討した。100mg筋注の最高血清中濃度は投与後0.5時間に発現し、6.83μg/mLであった。50mg点滴静注の最高血清中濃度は点滴終了時に得られ、4.37±0.26μg/mL、血中濃度半減期は1.59±0.67hr(文献から算出)であった。また、100mg点滴静注の最高血清中濃度は点滴終了時に得られ、8.41±1.81μg/mL、血中濃度半減期は1.12±0.20hr(文献から算出)であった3)

       
      図1 腎機能正常成人でのジベカシン硫酸塩注射剤投与時の血清中濃度

    16.3 分布

    • 〈筋肉内注射〉
      1. 16.3.1 体液、組織内濃度

        胆汁、のう水腫術後のリンパ液への移行はかなり高濃度であり、前房水内、喀痰への移行は低濃度であった。
        羊水中への移行はごく微量であった。

    16.5 排泄

    健康成人での、投与8時間までの累積尿中排泄率は100mgを筋注又は静注した場合、投与量の約60~80%を示した。しかし、腎機能障害者では、尿中排泄は低値にとどまっていた。

    16.6 特定の背景を有する患者

    1. 16.6.1 腎機能障害者

      クレアチニン・クリアランス(Ccr)>60mL/minのいわゆる軽度障害(n=7)までとCcr30~60mL/minの中等度障害(n=7)、並びにCcr<30mL/minの高度障害(n=1)に本剤50mgを1時間かけて点滴静注したところ、軽度障害者の血清中濃度ピーク値及び半減期(T1/2)は健康成人のそれと差がなかった。しかし、中等度障害者では血清中濃度ピークは健康成人の値とほぼ同じであったが、T1/2は延長傾向がみられた。高度障害者では更に、T1/2の延長がみとめられた。

    16.8 その他

    1. 16.8.1 血中濃度モニタリング

      血中濃度は、年齢、体重、腎機能等に影響を受けるが、特に腎機能の影響が大きく、腎機能障害患者では半減期が延長し、血中濃度が高く持続する傾向がみられる。
      12μg/mL以上の血中濃度が繰り返されると聴力障害や腎障害の危険性が大きくなるといわれているので血中濃度を測定して異常な高値を示す場合には、投与量や投与間隔を調整することが望ましい。例えば、異常に高い最高血中濃度が繰り返されている場合は投与量を減量し、異常に高い最低血中濃度が繰り返されている場合は投与間隔を延長するなど調整を行う。

       
      図2 クレアチニン・クリアランス値毎に層別化した成人でのジベカシン硫酸塩注射剤50mg1時間点滴静注時の血清中濃度と半減期3)

    17. 臨床成績

    17.1 有効性及び安全性に関する試験

    深在性皮膚感染症(せつ、蜂窩織炎)、扁桃炎、急性気管支炎及び慢性呼吸器病変の二次感染(気管支炎)、肺炎、腎盂腎炎、膀胱炎、腹膜炎、外傷・熱傷及び手術創等の二次感染(術後感染症)に対して筋注では総計766例中72~100%の有効率を示し、点滴静注では総計356例中56~100%の有効率を示した。

    18. 薬効薬理

    18.1 作用機序

    細菌のリボソームの30Sサブユニットに結合し、タンパク合成の開始反応を阻害することにより抗菌作用を示す4)

    18.2 in vitro抗菌作用

    ジベカシンの細菌に対する最小発育阻止濃度(MIC)は表のとおりである5)

    被験菌

    MIC(μg/mL)

    Staphylococcus aureus 209-P JC

    0.05

    Escherichia coli NIH JC

    1.56

    Klebsiella pneumoniae

    0.2

    Proteus vulgaris OX-19

    1.56

    Proteus mirabilis 1287

    3.12

    Proteus morganii Kono

    1.56

    Pseudomonas aeruginosa No.12

    0.78

    Pseudomonas aeruginosa ATCC 10145

    1.56

    (日本化学療法学会最小発育阻止濃度(MIC)測定法による)

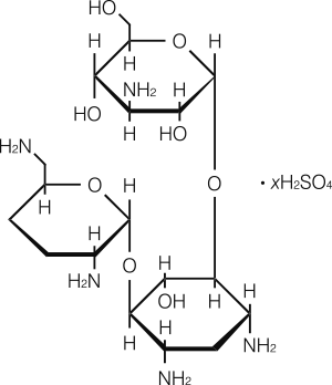
    19. 有効成分に関する理化学的知見

    一般的名称

    ジベカシン硫酸塩(Dibekacin Sulfate)

    化学名

    3-Amino-3-deoxy-α-D-glucopyranosyl-(1→6)-[2,6-diamino-2,3,4,6-tetradeoxy-α-D-erythro-hexopyranosyl-(1→4)]-2-deoxy-D-streptamine sulfate

    分子式

    C18H37N5O8xH2SO4

    分子量

    451.52(ただし遊離塩基)

    性状

    ジベカシン硫酸塩は白色~黄白色の粉末である。
    本品は水に極めて溶けやすく、エタノール(99.5)にほとんど溶けない。

    化学構造式

    分配係数

    略号

    DKB

    22. 包装

    • パニマイシン注射液50mg

      10アンプル

    • パニマイシン注射液100mg

      10アンプル

    24. 文献請求先及び問い合わせ先

    Meiji Seika ファルマ株式会社 くすり相談室

    〒104-8002 東京都中央区京橋2-4-16

    フリーダイヤル(0120)093-396 電話(03)3273-3539
    FAX(03)3272-2438

    26. 製造販売業者等

    26.1 製造販売元

    Meiji Seika ファルマ株式会社

    東京都中央区京橋2-4-16

    〒100-0013 東京都千代田区霞が関3-3-2 新霞が関ビル

    画面を閉じる

    Copyright © Pharmaceuticals and Medical Devices Agency, All Rights reserved.