医療用医薬品 詳細表示

オメガシン点滴用0.3g

処方せん医薬品

添付文書番号
企業コード
作成又は改訂年月
日本標準商品分類番号
薬効分類名
承認等
一般的名称
2.禁忌(次の患者には投与しないこと)
3.組成・性状
3.1組成
3.2製剤の性状
4.効能・効果
6.用法・用量
7.用法・用量に関連する注意
8.重要な基本的注意
9.特定の背景を有する患者に関する注意
9.1合併症・既往歴等のある患者
9.2腎機能障害患者
9.5妊婦
9.6授乳婦
9.7小児等
9.8高齢者
10.相互作用
10.1併用禁忌(併用しないこと)
11.副作用
11.1重大な副作用
11.2その他の副作用
12.臨床検査結果に及ぼす影響
14.適用上の注意
16.薬物動態
16.1血中濃度
16.3分布
16.4代謝
16.5排泄
16.6特定の背景を有する患者
17.臨床成績
17.1有効性及び安全性に関する試験
18.薬効薬理
18.1作用機序
18.2抗菌作用
18.3マウス実験的感染症に対する治療効果
19.有効成分に関する理化学的知見
22.包装
23.主要文献
24.文献請求先及び問い合わせ先
26.製造販売業者等

オメガシン点滴用0.3g

添付文書番号

6139401D1020_2_06

企業コード

780009

作成又は改訂年月

2023年6月改訂(第1版)

日本標準商品分類番号

876139

薬効分類名

カルバペネム系抗生物質製剤

承認等

オメガシン点滴用0.3g

販売名コード

YJコード

6139401D1020

販売名英語表記

Omegacin For Intravenous Drip Infusion

販売名ひらがな

おめがしんてんてきよう0.3g

承認番号等

承認番号

21300AMZ00761000

販売開始年月

2002年3月

貯法・有効期間

貯法

室温保存

有効期間

3年

一般的名称

ビアペネム

2. 禁忌(次の患者には投与しないこと)

  1. 2.1 本剤の成分に対し過敏症の既往歴のある患者
  2. 2.2 バルプロ酸ナトリウムを投与中の患者

3. 組成・性状

3.1 組成

オメガシン点滴用0.3g

有効成分  1バイアル中ビアペネム300mg(力価)

3.2 製剤の性状

オメガシン点滴用0.3g

形状結晶性の粉末
白色~微黄白色
pH4.5~5.8
[0.15g(力価)/10mL(水)]
浸透圧比
(日局生理食塩液対比)
約1
[300mg(力価)/100mL(日局生理食塩液)]

4. 効能・効果

  • 〈適応菌種〉

    本剤に感性のブドウ球菌属、レンサ球菌属、肺炎球菌、腸球菌属(エンテロコッカス・フェシウムを除く)、モラクセラ属、大腸菌、シトロバクター属、クレブシエラ属、エンテロバクター属、セラチア属、プロテウス属、インフルエンザ菌、緑膿菌、アシネトバクター属、ペプトストレプトコッカス属、バクテロイデス属、プレボテラ属、フソバクテリウム属

  • 〈適応症〉

    敗血症、肺炎、肺膿瘍、慢性呼吸器病変の二次感染、複雑性膀胱炎、腎盂腎炎、腹膜炎、子宮旁結合織炎

6. 用法・用量

通常、成人にはビアペネムとして1日0.6g(力価)を2回に分割し、30~60分かけて点滴静脈内注射する。
なお、年齢、症状に応じて適宜増減する。ただし、投与量の上限は1日1.2g(力価)までとする。

7. 用法・用量に関連する注意

血液透析患者は1日1回投与が望ましい。,,

8. 重要な基本的注意

  1. 8.1 本剤の使用にあたっては、耐性菌の発現等を防ぐため、原則として感受性を確認し、疾病の治療上必要な最小限の期間の投与にとどめること。
  2. 8.2 本剤によるショック、アナフィラキシーの発生を確実に予知できる方法がないので、次の措置をとること。
    • 事前に既往歴等について十分な問診を行うこと。なお、抗生物質等によるアレルギー歴は必ず確認すること。
    • 投与に際しては、必ずショック等に対する救急処置のとれる準備をしておくこと。
    • 投与開始から投与終了後まで、患者を安静の状態に保たせ、十分な観察を行うこと。特に、投与開始直後は注意深く観察すること。
  3. 8.3 劇症肝炎等の重篤な肝炎、肝機能障害、黄疸があらわれることがあるので、定期的に検査を行うこと。
  4. 8.4 急性腎障害等の重篤な腎障害があらわれることがあるので、定期的に検査を行うこと。
  5. 8.5 無顆粒球症、汎血球減少症、白血球減少、血小板減少、溶血性貧血があらわれることがあるので、定期的に血液検査を行うこと。

9. 特定の背景を有する患者に関する注意

9.1 合併症・既往歴等のある患者

  1. 9.1.1 カルバペネム系、ペニシリン系又はセフェム系抗生物質に対し過敏症の既往歴のある患者(ただし、本剤に対し過敏症の既往歴のある患者には投与しないこと)

  2. 9.1.2 本人又は両親、兄弟に気管支喘息、発疹、蕁麻疹等のアレルギー症状を起こしやすい体質を有する患者
  3. 9.1.3 経口摂取の不良な患者又は非経口栄養の患者、全身状態の悪い患者

    観察を十分に行うこと。ビタミンK欠乏症状があらわれることがある。

  4. 9.1.4 てんかんの既往歴あるいは中枢神経障害のある患者

    痙攣、意識障害等の中枢神経障害が起こりやすい。

9.2 腎機能障害患者

  1. 9.2.1 高度の腎障害のある患者
    1. (1) 投与量を減ずるか投与間隔をあけるなど、患者の状態を十分に観察し慎重に投与すること。,
    2. (2) 痙攣、意識障害等の中枢神経障害が起こりやすい。,,,
  2. 9.2.2 軽度又は中等度の腎障害のある患者、血液透析患者

    痙攣、意識障害等の中枢神経障害が起こりやすい。,,,

9.5 妊婦

妊婦又は妊娠している可能性のある女性には、治療上の有益性が危険性を上回ると判断される場合にのみ投与すること。

9.6 授乳婦

治療上の有益性及び母乳栄養の有益性を考慮し、授乳の継続又は中止を検討すること。動物実験(ラット)で乳汁中に移行することが報告されている。

9.7 小児等

小児等を対象とした臨床試験は実施していない。

9.8 高齢者

次の点に注意し、用量並びに投与間隔に留意するなど患者の状態を観察しながら慎重に投与すること。

  • 生理機能が低下していることが多く、副作用が発現しやすい。
  • ビタミンK欠乏による出血傾向があらわれることがある。

10. 相互作用

    10.1 併用禁忌(併用しないこと)

    薬剤名等臨床症状・措置方法機序・危険因子
    • バルプロ酸ナトリウム
      • (デパケン、バレリン等)

    バルプロ酸の血中濃度が低下し、てんかんの発作が再発するおそれがある。

    機序は不明である。

    11. 副作用

    次の副作用があらわれることがあるので、観察を十分に行い、異常が認められた場合には投与を中止するなど適切な処置を行うこと。

    11.1 重大な副作用

    1. 11.1.1 ショック(0.1%未満)、アナフィラキシー(頻度不明)

      不快感、口内異常感、喘鳴、眩暈、便意、耳鳴、発汗等の異常が認められた場合には投与を中止し、適切な処置を行うこと。

    2. 11.1.2 間質性肺炎(0.1~5%未満)、PIE症候群(頻度不明)

      発熱、咳嗽、労作時息切れ、呼吸困難等の異常が認められた場合には速やかに胸部X線検査等を実施し、間質性肺炎またはPIE症候群が疑われる場合には投与を中止し、副腎皮質ホルモン剤の投与等の適切な処置を行うこと。

    3. 11.1.3 偽膜性大腸炎等の下痢、血便を伴う重篤な大腸炎(頻度不明)
    4. 11.1.4 痙攣、意識障害(いずれも頻度不明)

      痙攣、意識障害等の中枢神経症状があらわれることがある。,,,

    5. 11.1.5 劇症肝炎、肝機能障害、黄疸(いずれも頻度不明)

      劇症肝炎等の重篤な肝炎、肝機能障害、黄疸があらわれることがある。

    6. 11.1.6 急性腎障害(頻度不明)

      急性腎障害等の重篤な腎障害があらわれることがある。

    7. 11.1.7 無顆粒球症、汎血球減少症、白血球減少、血小板減少、溶血性貧血(いずれも頻度不明)

    8. 11.1.8 中毒性表皮壊死融解症(Toxic Epidermal Necrolysis:TEN)、皮膚粘膜眼症候群(Stevens-Johnson症候群)(いずれも頻度不明)

      発熱、紅斑、そう痒感、眼充血、口内炎等の異常が認められた場合には投与を中止し、適切な処置を行うこと。

    11.2 その他の副作用

    5%以上

    0.1~5%未満

    0.1%未満

    頻度不明

    過敏症

    発疹、そう痒

    蕁麻疹

    血液

    好酸球増多、プロトロンビン時間延長、好塩基球増多、血小板増多、赤血球減少、ヘマトクリット値減少、好中球増多、血色素量減少、リンパ球増多、単球増多

    肝臓

    ALT上昇

    AST、γ-GTP、AL-P、LAP、LDH、ビリルビン上昇

    腎臓

    尿中NAG上昇、尿中β2-ミクログロブリン上昇、BUN上昇、蛋白尿

    血清クレアチニン上昇

    消化器

    血清アミラーゼ上昇

    下痢、嘔気、腹痛

    嘔吐、食欲不振

    呼吸器

    喘息発作

    精神神経系

    しびれ感

    菌交代症

    口内炎、カンジダ症

    ビタミン欠乏症

    ビタミンK欠乏症状(低プロトロンビン血症、出血傾向等)、ビタミンB群欠乏症状(舌炎、口内炎、食欲不振、神経炎等)

    その他

    高カリウム血症、発熱、頭痛

    胸痛、気分不良

    浮腫

    12. 臨床検査結果に及ぼす影響

    1. 12.1 テステープ反応を除くベネディクト試薬、フェーリング試薬による尿糖検査では偽陽性を呈することがあるので注意すること。
    2. 12.2 直接クームス試験陽性を呈することがあるので注意すること。

    14. 適用上の注意

    14.1 薬剤調製時の注意

    1. 14.1.1 使用にあたっては、生理食塩液、ブドウ糖注射液等に溶解する。ただし、注射用水は溶液が等張とならないので使用しないこと。また、L-システイン及びL-シスチンを含むアミノ酸製剤と配合するとビアペネムの力価が低下するので、配合しないこと。
    2. 14.1.2 溶解後は速やかに使用すること。やむを得ず保存を必要とする場合でも、室温保存で6時間以内に点滴静脈内注射を終了すること。また、日局生理食塩液に溶解し、冷蔵庫中(8℃以下)で保存した場合は、24時間以内に点滴静脈内注射を終了すること。

    16. 薬物動態

    16.1 血中濃度

    1. 16.1.1 単回投与

      健常成人(5例)にビアペネム150mg、300mg及び600mgを60分かけて単回点滴静注したときの血漿中濃度は図1のとおりであり、用量依存性が認められている1)

      図1 健常成人における単回点滴静注後の血漿中濃度
      表1 健常成人の薬物動態パラメータ

      パラメータ

      投与量

      Cmax
      (μg/mL)

      T1/2β
      (hr)

      AUC
      (μg・hr/mL)

      150mg

      8.8±0.9

      0.97±0.06

      14.7±0.8

      300mg

      17.3±2.2

      1.03±0.10

      29.2±4.8

      600mg

      32.4±2.3

      1.04±0.07

      55.4±6.0

      (Mean±S.D.、n=5)

    2. 16.1.2 反復投与

      健常成人(5例)にビアペネム300mg(1日2回、6日間計11回)及び600mg(1日2回、5日間計9回)を60分間反復点滴静注したときの初回及び最終投与時の薬物動態パラメータはほぼ同等であり、蓄積性は認められていない1),2)

    16.3 分布

    1. 16.3.1 体液・組織内移行

      ビアペネム300mgを30分又は60分かけて単回点滴静注したときの骨盤死腔液最高濃度は9.6μg/mLである。喀痰中濃度は投与終了後6時間までで0.1~2.5μg/gである3)

    16.4 代謝

    健常成人(5例)にビアペネム150mg、300mg及び600mgを単回点滴静注したとき、又は300mg及び600mgを反復点滴静注したとき、血漿中にはいずれの投与においても代謝物は検出されていない。尿中には単回及び反復点滴静注時において総代謝物として9.7~23.4%が排泄されている。なお、これらの代謝物の抗菌活性は認められていない1)

    16.5 排泄

    健常成人(5例)にビアペネム150mg、300mg及び600mgを60分かけて単回点滴静注したときの投与後0~2時間の平均尿中ビアペネム濃度は、それぞれ325.5、584.8及び1105.1μg/mLであり、投与後8~12時間においても2.4、4.7及び21.4μg/mLである。また、0~12時間累積尿中排泄率は、それぞれ62.1、63.4及び64.0%である1)

    16.6 特定の背景を有する患者

    1. 16.6.1 腎機能障害時の血漿中濃度
      1. (1) 腎機能障害患者(3例)にビアペネム300mgを60分かけて単回点滴静注したとき、腎機能低下に伴い、ビアペネムの血漿中からの消失遅延が認められている(図2)4),,,
        図2 腎機能障害患者における単回点滴静注後の血漿中濃度
        表2 腎機能障害患者における薬物動態パラメータ

        パラメータ

        投与症例

        Cmax
        (μg/mL)

        T1/2
        (hr)

        AUC
        (μg・hr/mL)

        Ccr23.1mL/min

        25.6

        2.28

        68.0

        Ccr40.6mL/min

        24.0

        1.82

        61.1

        Ccr49.4mL/min

        12.8

        1.95

        46.6

      2. (2) クレアチニンクリアランスが約50mL/minの中等度腎機能障害患者(3例)にビアペネム300mgを1日2回、7日間、計14回、30分かけて反復点滴静注したとき、血漿中及び尿中に蓄積性は認められていない5)
      3. (3) 血液透析を必要とする腎機能障害を有する患者(5例)にビアペネム300mgを非透析時に60分かけて点滴静注したとき、ビアペネムの血漿中からの消失の遅延が認められている(図3)6),
        図3 血液透析患者における単回点滴静注後の血漿中濃度
        表3 血液透析患者における薬物動態パラメータ

        Cmax
        (μg/mL)

        Tmax
        (hr)

        T1/2
        (hr)

        AUC
        (μg・hr/mL)

        透析時

        24.8±4.7

        1.0±0.0

        3.33±0.91

        52.7±8.7

        非透析時

        19.0±4.7

        1.2±0.4

        3.92±1.09

        120±29

        (Mean±S.D.、n=5)

    17. 臨床成績

    17.1 有効性及び安全性に関する試験

    1. 17.1.1 国内臨床試験成績
      1. (1) 疾患別臨床効果

        国内で実施された臨床試験のうち本剤の適応疾患296例についての疾患別臨床成績の概要は次のとおりである3),7),8),9),10)

        表1 疾患別臨床効果

        疾患名

        有効率(有効以上)

        例数

        敗血症

        24/26

        92.3

        呼吸器感染症

        肺炎、肺膿瘍
        慢性呼吸器病変の二次感染

        58/63
        51/55

        92.1
        92.7

        尿路感染症

        複雑性膀胱炎
        腎盂腎炎

        75/81
        38/44

        92.6
        86.4

        腹腔内感染症

        腹膜炎

        15/17

        88.2

        婦人科領域感染症

        子宮旁結合織炎

        10/10

        100

        合計

        271/296

        91.6

      2. (2) 細菌学的効果
        表2 原因菌別細菌学的効果

        菌名

        消失率

        株数

        ブドウ球菌属

        黄色ブドウ球菌
        表皮ブドウ球菌
        コアグラーゼ陰性ブドウ球菌

        17/22
        13/15
        18/18

        77.3
        86.7
        100

        レンサ球菌属

        46/46

        100

        肺炎球菌

        25/25

        100

        腸球菌属

        エンテロコッカス・フェカーリス
        エンテロコッカス・アビウム
        他の腸球菌

        39/47
        4/4
        1/1

        83.0

        モラクセラ属

        6/6

        100

        大腸菌

        63/67

        94.0

        シトロバクター属

        7/7

        100

        クレブシエラ属

        18/18

        100

        エンテロバクター属

        14/15

        93.3

        セラチア属

        12/12

        100

        プロテウス属

        7/8

        87.5

        インフルエンザ菌

        16/21

        76.2

        緑膿菌

        40/55

        72.7

        アシネトバクター属

        3/3

        ペプトストレプトコッカス属

        14/14

        100

        バクテロイデス属

        22/22

        100

        プレボテラ属

        23/24

        95.8

        フソバクテリウム属

        8/9

        88.9

    18. 薬効薬理

    18.1 作用機序

    ビアペネムの作用機序は細菌の細胞壁合成(ムレイン架橋形成)阻害である。MSSAではペニシリン結合蛋白(PBP)のうちPBP1、4に、また、E.coli並びにP.aeruginosaではPBP2、4に対し特に親和性が高い。

    18.2 抗菌作用

    ビアペネムは好気性グラム陽性菌・陰性菌及び嫌気性菌に対し幅広い抗菌スペクトルと強い抗菌力を示すとともに、イミペネム、メロペネム、セフタジジム、オフロキサシン、ゲンタマイシンに耐性を示すP.aeruginosaに対しても強い抗菌力を示す。抗菌作用は殺菌的であり、特にP.aeruginosaB.fragilisにはイミペネムと同等以上の強い殺菌作用を示す。また、ヒト腎デヒドロペプチダーゼ-Ⅰ(DHP-Ⅰ)に対しメロペネムよりも安定である(in vitro)。

    18.3 マウス実験的感染症に対する治療効果

    ビアペネムはマウスにおける各種細菌による腹腔内感染、E.coliP.aeruginosaによる混合腹腔内感染、P.aeruginosa白血球減少症感染、K.pneumoniaeP.aeruginosa及びペニシリン耐性S.pneumoniae呼吸器感染並びにE.coliP.aeruginosa尿路感染に対してイミペネムと同等以上の効果を示す(in vivo)。

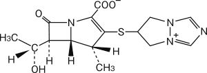
    19. 有効成分に関する理化学的知見

    一般的名称

    ビアペネム(Biapenem)

    化学名

    (-)-6-[(4R,5S,6S)-2-carboxy-6-[(R)-1-hydroxyethyl]-4-methyl-7-oxo-1-azabicyclo[3.2.0]hept-2-ene-3-yl]thio-6,7-dihydro-5H-pyrazolo[1,2-a][1,2,4]triazol-4-ium hydroxide inner salt

    分子式

    C15H18N4O4S

    分子量

    350.39

    性状

    ビアペネムは白色~微黄白色の結晶性の粉末である。
    本品はギ酸に極めて溶けやすく、水にやや溶けにくく、メタノール、エタノール(99.5)又はジエチルエーテルにほとんど溶けない。

    化学構造式

    融点

    200℃付近からわずかに褐色味を帯び始め、218℃で黒褐色となり、明確な融点を示さなかった。

    略号

    BIPM

    22. 包装

    10バイアル

    24. 文献請求先及び問い合わせ先

    Meiji Seika ファルマ株式会社 くすり相談室

    〒104-8002 東京都中央区京橋2-4-16

    フリーダイヤル(0120)093-396 電話(03)3273-3539
    FAX(03)3272-2438

    26. 製造販売業者等

    26.1 製造販売元

    Meiji Seika ファルマ株式会社

    東京都中央区京橋2-4-16

    〒100-0013 東京都千代田区霞が関3-3-2 新霞が関ビル

    画面を閉じる

    Copyright © Pharmaceuticals and Medical Devices Agency, All Rights reserved.