医療用医薬品 詳細表示

硫酸ストレプトマイシン注射用1g「明治」

処方せん医薬品

添付文書番号
企業コード
作成又は改訂年月
日本標準商品分類番号
薬効分類名
承認等
一般的名称
2.禁忌(次の患者には投与しないこと)
3.組成・性状
3.1組成
3.2製剤の性状
4.効能・効果
6.用法・用量
7.用法・用量に関連する注意
8.重要な基本的注意
9.特定の背景を有する患者に関する注意
9.1合併症・既往歴等のある患者
9.2腎機能障害患者
9.3肝機能障害患者
9.5妊婦
9.6授乳婦
9.7小児等
9.8高齢者
10.相互作用
10.2併用注意(併用に注意すること)
11.副作用
11.1重大な副作用
11.2その他の副作用
13.過量投与
14.適用上の注意
15.その他の注意
15.1臨床使用に基づく情報
16.薬物動態
16.1血中濃度
16.5排泄
18.薬効薬理
18.1作用機序
18.2invitro抗菌作用
19.有効成分に関する理化学的知見
22.包装
23.主要文献
24.文献請求先及び問い合わせ先
26.製造販売業者等

硫酸ストレプトマイシン注射用1g「明治」

添付文書番号

6161400D1034_1_07

企業コード

780009

作成又は改訂年月

2023年3月改訂(第1版)

日本標準商品分類番号

876161

薬効分類名

アミノグリコシド系抗生物質製剤

承認等

硫酸ストレプトマイシン注射用1g「明治」

販売名コード

YJコード

6161400D1034

販売名英語表記

STREPTOMYCIN SULFATE「MEIJI」 FOR INJECTION

販売名ひらがな

りゅうさんすとれぷとまいしんちゅうしゃよう1g「めいじ」

承認番号等

承認番号

21700AMZ00683000

販売開始年月

1950年7月

貯法・有効期間

貯法

室温保存

有効期間

5年

基準名

日本薬局方

注射用ストレプトマイシン硫酸塩

一般的名称

ストレプトマイシン硫酸塩

2. 禁忌(次の患者には投与しないこと)

本剤の成分並びにアミノグリコシド系抗生物質又はバシトラシンに対し過敏症の既往歴のある患者

3. 組成・性状

3.1 組成

硫酸ストレプトマイシン注射用1g「明治」

有効成分  1バイアル中日局ストレプトマイシン硫酸塩1g(力価)

3.2 製剤の性状

硫酸ストレプトマイシン注射用1g「明治」

形状塊又は粉末(凍結乾燥品)
白色又は淡黄白色
pH4.5~7.0
[2.0g(力価)/10mL(水)]
浸透圧比
(日局生理食塩液対比)
約2
[1g(力価)/3mL(日局注射用水)]
約3
[1g(力価)/3mL(日局生理食塩液)]

4. 効能・効果

  • 〈適応菌種〉

    ストレプトマイシンに感性のマイコバクテリウム属、ペスト菌、野兎病菌、ワイル病レプトスピラ

  • 〈適応症〉

    感染性心内膜炎(ベンジルペニシリン又はアンピシリンと併用の場合に限る)、ペスト、野兎病、肺結核及びその他の結核症、マイコバクテリウム・アビウムコンプレックス(MAC)症を含む非結核性抗酸菌症、ワイル病

6. 用法・用量

  • 〈肺結核及びその他の結核症に対して使用する場合〉

    通常、成人にはストレプトマイシンとして1日1g(力価)を筋肉内注射する。週2~3日、あるいははじめの1~3ヵ月は毎日、その後週2日投与する。また必要に応じて局所に投与する。
    ただし、高齢者(60歳以上)には1回0.5~0.75g(力価)とし、小児あるいは体重の著しく少ないものにあっては適宜減量する。
    なお、原則として他の抗結核薬と併用する。

  • 〈マイコバクテリウム・アビウムコンプレックス(MAC)症を含む非結核性抗酸菌症に対して使用する場合〉

    通常、成人にはストレプトマイシンとして1日0.75~1g(力価)を週2回または週3回筋肉内注射する。
    年齢、体重、症状により適宜減量する。

  • 〈その他の場合〉

    通常、成人にはストレプトマイシンとして1日1~2g(力価)を1~2回に分けて筋肉内注射する。
    なお、年齢、症状により適宜増減する。

7. 用法・用量に関連する注意

  • 〈MAC症を含む非結核性抗酸菌症〉
    1. 7.1 投与開始時期、投与期間、併用薬等について国内外の各種ガイドライン1),2)等、最新の情報を参考にし、投与すること。

8. 重要な基本的注意

  • 〈効能共通〉
    1. 8.1 本剤の使用にあたっては、耐性菌の発現等を防ぐため、原則として感受性を確認し、疾病の治療上必要な最小限の期間の投与にとどめること。
    2. 8.2 本剤によるショック、アナフィラキシーの発生を確実に予知できる方法がないので、次の措置をとること。
      • 事前に既往歴等について十分な問診を行うこと。なお、抗生物質等によるアレルギー歴は必ず確認すること。
      • 投与に際しては、必ずショック等に対する救急処置のとれる準備をしておくこと。
      • 投与開始から投与終了後まで、患者を安静の状態に保たせ、十分な観察を行うこと。特に、投与開始直後は注意深く観察すること。
    3. 8.3 眩暈、耳鳴、難聴等の第8脳神経障害があらわれることがあるので慎重に投与すること。特に腎機能障害患者、高齢者、長期間投与患者及び大量投与患者等では血中濃度が高くなり易く、聴力障害の危険性がより大きくなるので、聴力検査を実施することが望ましい。アミノグリコシド系抗生物質の聴力障害は、高周波音に始まり低周波音へと波及するので、障害の早期発見のために、聴力検査の最高周波数である8kHzでの検査が有用である。,,,
    4. 8.4 急性腎障害等の重篤な腎障害があらわれることがあるので、定期的に検査を行うこと。,
    5. 8.5 溶血性貧血、血小板減少があらわれることがあるので、定期的に検査を行うこと。
  • 〈肺結核及びその他の結核症〉
    1. 8.6 *本剤を含む抗結核薬による治療で、薬剤逆説反応を認めることがある。治療開始後に、既存の結核の悪化又は結核症状の新規発現を認めた場合は、薬剤感受性試験等に基づき投与継続の可否を判断すること。

9. 特定の背景を有する患者に関する注意

9.1 合併症・既往歴等のある患者

  1. 9.1.1 本人又はその血族がアミノグリコシド系抗生物質による難聴又はその他の難聴のある患者

    難聴が発現又は増悪するおそれがある。,

  2. 9.1.2 重症筋無力症の患者

    神経筋遮断作用がある。

  3. 9.1.3 経口摂取の不良な患者又は非経口栄養の患者、全身状態の悪い患者

    観察を十分に行うこと。ビタミンK欠乏症状があらわれることがある。

9.2 腎機能障害患者

投与量を減ずるか、投与間隔をあけて使用すること。高い血中濃度が持続し、腎障害が悪化するおそれがあり、また、第8脳神経障害等の副作用が強くあらわれるおそれがある。,

9.3 肝機能障害患者

肝障害を悪化させるおそれがある。

9.5 妊婦

妊婦又は妊娠している可能性のある女性には、治療上の有益性が危険性を上回ると判断される場合にのみ投与すること。新生児に第8脳神経障害があらわれるおそれがある。

9.6 授乳婦

治療上の有益性及び母乳栄養の有益性を考慮し、授乳の継続又は中止を検討すること。ヒト母乳中へ移行する。

9.7 小児等

  • 〈結核〉
    1. 9.7.1 低出生体重児、新生児を対象とした有効性及び安全性を指標とした臨床試験は実施していない。
  • 〈その他〉
    1. 9.7.2 小児等を対象とした有効性及び安全性を指標とした臨床試験は実施していない。

9.8 高齢者

次の点に注意し、用量並びに投与間隔に留意するなど患者の状態を観察しながら慎重に投与すること。

  • 本剤は主として腎臓から排泄されるが、高齢者では腎機能が低下していることが多いため、高い血中濃度が持続するおそれがあり、第8脳神経障害、腎障害等の副作用があらわれやすい。,,,
  • ビタミンK欠乏による出血傾向があらわれることがある。

10. 相互作用

    10.2 併用注意(併用に注意すること)

    薬剤名等臨床症状・措置方法機序・危険因子
    • 腎障害を起こすおそれのある血液代用剤
      • デキストラン
        ヒドロキシエチルデンプン等

    腎障害が発現、悪化することがあるので、併用は避けることが望ましい。

    腎障害が発生した場合には、投与を中止し、透析療法等適切な処置を行うこと。

    機序は明確ではないが、併用によりアミノグリコシド系抗生物質の血中への蓄積、近位尿細管上皮の空胞変性が生じるという報告がある。

    • ループ利尿剤
      • フロセミド
        アゾセミド等

    腎障害及び聴器障害が発現、悪化するおそれがあるので、併用は避けることが望ましい。

    機序は明確ではないが、併用によりアミノグリコシド系抗生物質の血中濃度の上昇、腎への蓄積が起こるという報告がある。

    • 腎毒性及び聴器毒性を有する薬剤
      • バンコマイシン塩酸塩
        エンビオマイシン硫酸塩
        白金含有抗悪性腫瘍剤(シスプラチン、カルボプラチン、ネダプラチン)等

    腎障害及び聴器障害が発現、悪化するおそれがあるので、併用は避けることが望ましい。

    両薬剤ともに腎毒性、聴器毒性を有するが相互作用の機序は不明。

    • 麻酔剤
      筋弛緩剤
      • ベクロニウム臭化物
        A型ボツリヌス毒素等

    呼吸抑制があらわれるおそれがある。

    呼吸抑制があらわれた場合には、必要に応じ、コリンエステラーゼ阻害剤、カルシウム製剤の投与等の適切な処置を行うこと。

    両薬剤ともに神経筋遮断作用を有しており、併用によりその作用が増強される。

    • 腎毒性を有する薬剤
      • シクロスポリン
        アムホテリシンB等

    腎障害が発現、悪化するおそれがある。

    両薬剤ともに腎毒性を有するが、相互作用の機序は不明。

    11. 副作用

    次の副作用があらわれることがあるので、観察を十分に行い、異常が認められた場合には投与を中止するなど適切な処置を行うこと。

    11.1 重大な副作用

    1. 11.1.1 難聴、耳鳴、眩暈(いずれも5%以上又は頻度不明)等の第8脳神経障害(主として前庭機能障害)

      ,,,

    2. 11.1.2 急性腎障害等の重篤な腎障害(0.1%未満)

      ,

    3. 11.1.3 ショック、アナフィラキシー(いずれも0.1%未満)

      蕁麻疹、心悸亢進、発汗、悪寒、頭痛、全身倦怠感、血圧低下、呼吸困難等があらわれた場合には、投与を中止し、適切な処置を行うこと。

    4. 11.1.4 中毒性表皮壊死融解症(Toxic Epidermal Necrolysis:TEN)、皮膚粘膜眼症候群(Stevens-Johnson症候群)(いずれも0.1%未満)
    5. 11.1.5 間質性肺炎(0.1%未満)

      発熱、咳嗽、呼吸困難、胸部X線異常、好酸球増多等を伴う間質性肺炎があらわれることがあるので、観察を十分に行い、このような症状があらわれた場合には、投与を中止し、副腎皮質ホルモン剤の投与等の適切な処置を行うこと。

    6. 11.1.6 溶血性貧血、血小板減少(いずれも0.1%未満)

    7. 11.1.7 肝機能障害、黄疸(いずれも0.1%未満)

      AST、ALT、LDH、γ-GTP等の上昇を伴う肝機能障害、黄疸があらわれることがある。

    11.2 その他の副作用

    5%以上又は頻度不明

    0.1~5%未満

    0.1%未満

    腎臓

    BUN、クレアチニンの上昇、浮腫、蛋白尿、血尿、カリウム等電解質の異常

    肝臓

    AST、ALT上昇

    血液

    顆粒球減少、好酸球増多

    過敏症注)

    発熱、発疹

    皮膚

    扁平苔癬型皮疹

    ビタミン欠乏症

    ビタミンK欠乏症状(低プロトロンビン血症、出血傾向等)、ビタミンB群欠乏症状(舌炎、口内炎、食欲不振、神経炎等)

    注射部位

    注射局所の疼痛又は硬結

    その他

    口唇部のしびれ感、蟻走感

    注)症状があらわれた場合には、投与を中止すること。再投与が必要な場合(結核症等)には、減感作を行うこと。

    13. 過量投与

    1. 13.1 症状

      腎障害、聴覚障害、前庭障害、神経筋遮断症状、呼吸麻痺があらわれることがある。

    2. 13.2 処置

      血液透析、腹膜透析による薬剤の除去を行う。神経筋遮断症状、呼吸麻痺に対してはコリンエステラーゼ阻害剤、カルシウム製剤の投与又は機械的呼吸補助を行う。

    14. 適用上の注意

    14.1 薬剤調製時の注意

    1. 14.1.1 溶解には、1バイアルに日局注射用水又は日局生理食塩液3~5mLを加える。
    2. 14.1.2 本剤は用時溶解し、溶解後は速やかに使用すること。
    3. 14.1.3 本剤の水溶液は無色澄明~微黄色澄明である。溶解後、水溶液はわずかに着色することがある。

    14.2 薬剤投与時の注意

    1. 14.2.1 筋肉内注射時

      組織・神経などへの影響を避けるため、下記の点に注意すること。

      • 同一部位への反復注射はなるべく行わないこと。
        また、小児等には特に注意すること。
      • 神経走行部位を避けるよう注意すること。
        なお、注射針を刺入したとき、神経に当たったと思われるような激痛を訴えた場合は、直ちに針を抜き、部位をかえて注射すること。
      • 注射器の内筒を軽くひき、血液の逆流がないことを確かめて注射すること。
      • 硬結をきたすことがあるので、注射直後は局所を十分にもむこと。

    15. その他の注意

    15.1 臨床使用に基づく情報

    クエン酸水和物で抗凝固処理した血液を大量輸血された患者にアミノグリコシド系抗生物質を投与すると、投与経路にかかわらず、神経筋遮断症状、呼吸麻痺があらわれることがある。

    16. 薬物動態

    16.1 血中濃度

    成人に0.5g、1.0gを筋肉内注射したときの最高血中濃度は、それぞれ25~30μg/mL、約40μg/mLで5時間後に約1/2に低下した3)

    16.5 排泄

    腎機能の正常な成人では、尿中排泄は4時間までが最も速やかで、大部分が12時間までに排泄され、24時間までに50~75%が排泄された3)

    18. 薬効薬理

    18.1 作用機序

    細菌のリボソームの30Sサブユニットに結合し、タンパク合成の開始反応を阻害することにより抗菌作用を示す4)

    18.2 in vitro抗菌作用

    ストレプトマイシンは、グラム陰性菌及び結核菌に殺菌的に作用した5)

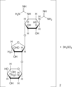
    19. 有効成分に関する理化学的知見

    一般的名称

    ストレプトマイシン硫酸塩(Streptomycin Sulfate)

    化学名

    2-Deoxy-2-methylamino-α-L-glucopyranosyl-(1→2)-5-deoxy-3-C-formyl-α-L-lyxofuranosyl-(1→4)-N,N'-diamidino-D-streptamine sesquisulfate

    分子式

    (C21H39N7O122・3H2SO4

    分子量

    1457.38

    性状

    ストレプトマイシン硫酸塩は白色~淡黄白色の粉末である。
    本品は水に溶けやすく、エタノール(95)に極めて溶けにくい。

    化学構造式

     

    分配係数

    略号

    SM

    22. 包装

    10バイアル

    24. 文献請求先及び問い合わせ先

    Meiji Seika ファルマ株式会社 くすり相談室

    〒104-8002 東京都中央区京橋2-4-16

    フリーダイヤル(0120)093-396 電話(03)3273-3539
    FAX(03)3272-2438

    26. 製造販売業者等

    26.1 製造販売元

    Meiji Seika ファルマ株式会社

    東京都中央区京橋2-4-16

    〒100-0013 東京都千代田区霞が関3-3-2 新霞が関ビル

    画面を閉じる

    Copyright © Pharmaceuticals and Medical Devices Agency, All Rights reserved.