医療用医薬品 詳細表示

カナマイシン硫酸塩注射液1g「明治」

処方せん医薬品

添付文書番号
企業コード
作成又は改訂年月
日本標準商品分類番号
薬効分類名
承認等
一般的名称
2.禁忌(次の患者には投与しないこと)
3.組成・性状
3.1組成
3.2製剤の性状
4.効能・効果
5.効能・効果に関連する注意
6.用法・用量
8.重要な基本的注意
9.特定の背景を有する患者に関する注意
9.1合併症・既往歴等のある患者
9.2腎機能障害患者
9.5妊婦
9.6授乳婦
9.7小児等
9.8高齢者
10.相互作用
10.2併用注意(併用に注意すること)
11.副作用
11.1重大な副作用
11.2その他の副作用
13.過量投与
14.適用上の注意
15.その他の注意
15.1臨床使用に基づく情報
16.薬物動態
16.1血中濃度
16.5排泄
18.薬効薬理
18.1作用機序
18.2invitro抗菌作用
19.有効成分に関する理化学的知見
22.包装
23.主要文献
24.文献請求先及び問い合わせ先
26.製造販売業者等

カナマイシン硫酸塩注射液1g「明治」

添付文書番号

6169400A1044_1_01

企業コード

780009

作成又は改訂年月

2023年6月作成(第1版)

日本標準商品分類番号

876169

薬効分類名

アミノグリコシド系抗生物質製剤

承認等

カナマイシン硫酸塩注射液1g「明治」

販売名コード

YJコード

6169400A1044

販売名英語表記

KANAMYCIN SULFATE Injection「MEIJI」

販売名ひらがな

かなまいしんりゅうさんえんちゅうしゃえき1g「めいじ」

承認番号等

承認番号

30500AMX00137000

販売開始年月

1958年5月

貯法・有効期間

貯法

室温保存

有効期間

3年

一般的名称

カナマイシン硫酸塩

2. 禁忌(次の患者には投与しないこと)

本剤の成分並びにアミノグリコシド系抗生物質又はバシトラシンに対し過敏症の既往歴のある患者

3. 組成・性状

3.1 組成

カナマイシン硫酸塩注射液1g「明治」

有効成分  1アンプル(4mL)中
日局カナマイシン硫酸塩1g(力価)
添加剤  1アンプル(4mL)中
亜硫酸水素ナトリウム2mg
パラオキシ安息香酸メチル1.8mg
パラオキシ安息香酸プロピル0.2mg
  クエン酸ナトリウム水和物

3.2 製剤の性状

カナマイシン硫酸塩注射液1g「明治」

形状注射液
無色澄明
pH5.0~8.0
浸透圧比
(日局生理食塩液対比)
約2

4. 効能・効果

  • 〈適応菌種〉

    カナマイシンに感性のブドウ球菌属、肺炎球菌、淋菌、結核菌、大腸菌、クレブシエラ属、プロテウス属、モルガネラ・モルガニー、インフルエンザ菌、緑膿菌、百日咳菌

  • 〈適応症〉

    表在性皮膚感染症、深在性皮膚感染症、リンパ管・リンパ節炎、外傷・熱傷及び手術創等の二次感染、乳腺炎、骨髄炎、扁桃炎、急性気管支炎、肺炎、慢性呼吸器病変の二次感染、膀胱炎、腎盂腎炎、淋菌感染症、子宮付属器炎、中耳炎、百日咳、肺結核及びその他の結核症

5. 効能・効果に関連する注意

  • 〈扁桃炎、急性気管支炎、中耳炎〉

    「抗微生物薬適正使用の手引き」1)を参照し、抗菌薬投与の必要性を判断した上で、本剤の投与が適切と判断される場合に投与すること。

6. 用法・用量

  • 〈肺結核及びその他の結核症に対して使用する場合〉

    カナマイシンとして、通常成人1日2g(力価)を朝夕1g(力価)ずつ2回筋肉内注射し、週2日使用するか、または1日1g(力価)ずつ週3日使用する。
    また必要に応じて局所に投与する。
    ただし、高齢者(60歳以上)には1回0.5~0.75g(力価)とし、小児あるいは体重の著しく少ないものにあっては適宜減量する。
    なお、原則として他の抗結核薬と併用する。

  • 〈その他の場合〉

    カナマイシンとして、通常成人1日1~2g(力価)を、小児には1日体重1kgあたり30~50mg(力価)を1~2回に分けて、筋肉内注射する。
    また必要に応じて局所に投与する。
    なお、年齢、症状により適宜増減する。

8. 重要な基本的注意

  • 〈効能共通〉
    1. 8.1 本剤の使用にあたっては、耐性菌の発現等を防ぐため、原則として感受性を確認し、疾病の治療上必要な最小限の期間の投与にとどめること。
    2. 8.2 本剤によるショック、アナフィラキシーの発生を確実に予知できる方法がないので、次の措置をとること。
      • 事前に既往歴等について十分な問診を行うこと。なお、抗生物質等によるアレルギー歴は必ず確認すること。
      • 投与に際しては、必ずショック等に対する救急処置のとれる準備をしておくこと。
      • 投与開始から投与終了後まで、患者を安静の状態に保たせ、十分な観察を行うこと。特に、投与開始直後は注意深く観察すること。
    3. 8.3 眩暈、耳鳴、難聴等の第8脳神経障害があらわれることがあるので慎重に投与すること。特に腎機能障害患者、高齢者、長期間投与患者及び大量投与患者等では血中濃度が高くなり易く、聴力障害の危険性がより大きくなるので、聴力検査を実施することが望ましい。アミノグリコシド系抗生物質の聴力障害は、高周波音に始まり低周波音へと波及するので、障害の早期発見のために、聴力検査の最高周波数である8kHzでの検査が有用である。,,,
    4. 8.4 急性腎障害等の重篤な腎障害があらわれることがあるので、定期的に検査を行うなど観察を十分に行うこと。,
  • 〈肺結核及びその他の結核症〉
    1. 8.5 本剤を含む抗結核薬による治療で、薬剤逆説反応を認めることがある。治療開始後に、既存の結核の悪化又は結核症状の新規発現を認めた場合は、薬剤感受性試験等に基づき投与継続の可否を判断すること。

9. 特定の背景を有する患者に関する注意

9.1 合併症・既往歴等のある患者

  1. 9.1.1 本人又はその血族がアミノグリコシド系抗生物質による難聴又はその他の難聴のある患者

    難聴が発現又は増悪するおそれがある。,

  2. 9.1.2 重症筋無力症の患者

    神経筋遮断作用がある。

  3. 9.1.3 経口摂取の不良な患者又は非経口栄養の患者、全身状態の悪い患者

    観察を十分に行うこと。ビタミンK欠乏症状があらわれることがある。

9.2 腎機能障害患者

投与量を減ずるか、投与間隔をあけて使用すること。高い血中濃度が持続し、腎障害が悪化するおそれがあり、また、第8脳神経障害等の副作用が強くあらわれるおそれがある。,

9.5 妊婦

妊婦又は妊娠している可能性のある女性には、治療上の有益性が危険性を上回ると判断される場合にのみ投与すること。新生児に第8脳神経障害があらわれるおそれがある。

9.6 授乳婦

治療上の有益性及び母乳栄養の有益性を考慮し、授乳の継続または中止を検討すること。ヒト母乳中へ移行する。

9.7 小児等

低出生体重児、新生児を対象とした有効性及び安全性を指標とした臨床試験は実施していない。

9.8 高齢者

次の点に注意し、用量並びに投与間隔に留意するなど患者の状態を観察しながら慎重に投与すること。

  • 本剤は主として腎臓から排泄されるが、高齢者では腎機能が低下していることが多いため、高い血中濃度が持続するおそれがあり、第8脳神経障害、腎障害等の副作用があらわれやすい。,,,
  • ビタミンK欠乏による出血傾向があらわれることがある。

10. 相互作用

    10.2 併用注意(併用に注意すること)

    薬剤名等臨床症状・措置方法機序・危険因子
    • 腎障害を起こすおそれのある血液代用剤
      • デキストラン
      • ヒドロキシエチルデンプン等

    腎障害が発現、悪化することがあるので、併用は避けることが望ましい。

    腎障害が発生した場合には、投与を中止し、透析療法等適切な処置を行うこと。

    機序は明確ではないが、併用によりアミノグリコシド系抗生物質の血中への蓄積、近位尿細管上皮の空胞変性が生じるという報告がある。

    • ループ利尿剤
      • フロセミド
      • アゾセミド等

    腎障害及び聴器障害が発現、悪化するおそれがあるので、併用は避けることが望ましい。

    機序は明確ではないが、併用によりアミノグリコシド系抗生物質の血中濃度の上昇、腎への蓄積が起こるという報告がある。

    • 腎毒性及び聴器毒性を有する薬剤
      • バンコマイシン塩酸塩
      • エンビオマイシン硫酸塩
      • 白金含有抗悪性腫瘍剤(シスプラチン、カルボプラチン、ネダプラチン)等

    腎障害及び聴器障害が発現、悪化するおそれがあるので、併用は避けることが望ましい。

    両薬剤ともに腎毒性、聴器毒性を有するが相互作用の機序は不明。

    • 麻酔剤
    • 筋弛緩剤
      • ベクロニウム臭化物
      • A型ボツリヌス毒素等

    呼吸抑制があらわれるおそれがある。

    呼吸抑制があらわれた場合には、必要に応じ、コリンエステラーゼ阻害剤、カルシウム製剤の投与等の適切な処置を行うこと。

    両薬剤ともに神経筋遮断作用を有しており、併用によりその作用が増強される。

    • 腎毒性を有する薬剤
      • シクロスポリン
      • アムホテリシンB等

    腎障害が発現、悪化するおそれがある。

    両薬剤ともに腎毒性を有するが、相互作用の機序は不明。

    11. 副作用

    次の副作用があらわれることがあるので、観察を十分に行い、異常が認められた場合には投与を中止するなど適切な処置を行うこと。

    11.1 重大な副作用

    1. 11.1.1 耳鳴、難聴、眩暈等の第8脳神経障害(主として蝸牛機能障害)(5%以上又は頻度不明)

      ,,,

    2. 11.1.2 急性腎障害等の重篤な腎障害(0.1%未満)

      ,

    3. 11.1.3 ショック(0.1%未満)

      胸内苦悶、呼吸困難、心悸亢進、血圧低下等があらわれた場合には、投与を中止し、適切な処置を行うこと。

    11.2 その他の副作用

    5%以上又は頻度不明

    0.1~5%未満

    0.1%未満

    腎臓

    BUN、クレアチニンの上昇、浮腫、蛋白尿、血尿、カリウム等電解質の異常

    過敏症注)

    発疹

    ビタミン欠乏症

    ビタミンK欠乏症状(低プロトロンビン血症、出血傾向等)、ビタミンB群欠乏症状(舌炎、口内炎、食欲不振、神経炎等)

    注射部位

    注射局所の疼痛又は硬結

    その他

    一過性の頭痛、口唇部のしびれ感

    注)症状があらわれた場合には、投与を中止すること。再投与が必要な場合(結核症等)には、減感作を行うこと。

    13. 過量投与

    1. 13.1 症状

      腎障害、聴覚障害、前庭障害、神経筋遮断症状、呼吸麻痺があらわれることがある。

    2. 13.2 処置

      血液透析、腹膜透析による薬剤の除去を行う。神経筋遮断症状、呼吸麻痺に対してはコリンエステラーゼ阻害剤、カルシウム製剤の投与又は機械的呼吸補助を行う。

    14. 適用上の注意

    14.1 薬剤調製時の注意

    他剤との混注は、着色や力価の低下をきたすことがあるので避けること。

    14.2 薬剤投与時の注意

    • 〈筋肉内注射〉
      1. 14.2.1 組織・神経などへの影響を避けるため、下記の点に注意すること。
        • 同一部位への反復注射はなるべく行わないこと。
          また、小児等には特に注意すること。
        • 神経走行部位を避けるよう注意すること。
          なお、注射針を刺入したとき、神経に当たったと思われるような激痛を訴えた場合は、直ちに針を抜き、部位をかえて注射すること。
        • 注射器の内筒を軽くひき、血液の逆流がないことを確かめて注射すること。
        • 硬結をきたすことがあるので、注射直後は局所を十分にもむこと。
    • 〈局所投与〉
      1. 14.2.2 長期間連用しないこと。

    15. その他の注意

    15.1 臨床使用に基づく情報

    クエン酸水和物で抗凝固処理した血液を大量輸血された患者にアミノグリコシド系抗生物質を投与すると、投与経路にかかわらず、神経筋遮断症状、呼吸麻痺があらわれることがある。

    16. 薬物動態

    16.1 血中濃度

    健康成人(n=4)に0.5g(力価)及び1g(力価)を1回筋注した場合の血中濃度・薬物動態パラメータは図・表の通りであった2)

    図 血中濃度
    表 薬物動態パラメータ

    投与量
    (g(力価))

    Tmax
    (hr)

    Cmax
    (μg/mL)

    T1/2
    (hr)

    AUC0-∞
    (μg・hr/mL)

    0.5

    1

    28.0±2.7

    3.31±0.63

    190±22

    1.0

    1

    43.1±4.3

    3.85±0.14

    295±28

    Mean±S.D.

    ※文献2)の個々の血中濃度を使用し、非線形最小二乗法により1-compartment modelに当てはめて解析した。

    16.5 排泄

    健康成人(n=5)に1g(力価)を1回筋注した場合、尿中には6時間までに約77%が排泄された3)

    18. 薬効薬理

    18.1 作用機序

    細菌のリボソームの30Sサブユニットに結合し、タンパク合成の開始反応を阻害することにより抗菌作用を示す4)

    18.2 in vitro抗菌作用

    カナマイシンはグラム陽性菌、グラム陰性菌及び結核菌に対し強い抗菌作用を示した。また多剤耐性のブドウ球菌属、大腸菌、肺炎桿菌にもすぐれた抗菌力を示した5)

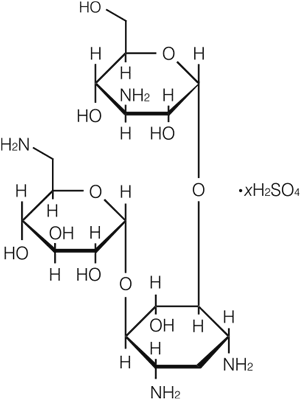
    19. 有効成分に関する理化学的知見

    一般的名称

    カナマイシン硫酸塩(Kanamycin Sulfate)

    化学名

    3-Amino-3-deoxy-α-D-glucopyranosyl-(1→6)-[6-amino-6-deoxy-α-D-glucopyranosyl-(1→4)]-2-deoxy-D-streptamine sulfate

    分子式

    C18H36N4O11xH2SO4

    分子量

    484.50(ただし遊離塩基)

    性状

    カナマイシン硫酸塩は白色~黄白色の粉末である。
    本品は水に極めて溶けやすく、エタノール(99.5)にほとんど溶けない。

    化学構造式

    分配係数

    略号

    KM

    22. 包装

    10アンプル

    24. 文献請求先及び問い合わせ先

    Meiji Seika ファルマ株式会社 くすり相談室

    〒104-8002 東京都中央区京橋2-4-16

    フリーダイヤル(0120)093-396 電話(03)3273-3539
    FAX(03)3272-2438

    26. 製造販売業者等

    26.1 製造販売元

    Meiji Seika ファルマ株式会社

    東京都中央区京橋2-4-16

    〒100-0013 東京都千代田区霞が関3-3-2 新霞が関ビル

    画面を閉じる

    Copyright © Pharmaceuticals and Medical Devices Agency, All Rights reserved.