医療用医薬品 詳細表示

注射用ビクシリンS500/注射用ビクシリンS1000

処方せん医薬品

添付文書番号
企業コード
作成又は改訂年月
日本標準商品分類番号
薬効分類名
承認等
一般的名称
2.禁忌(次の患者には投与しないこと)
3.組成・性状
3.1組成
3.2製剤の性状
4.効能・効果
5.効能・効果に関連する注意
6.用法・用量
8.重要な基本的注意
9.特定の背景を有する患者に関する注意
9.1合併症・既往歴等のある患者
9.2腎機能障害患者
9.5妊婦
9.6授乳婦
9.8高齢者
10.相互作用
10.2併用注意(併用に注意すること)
11.副作用
11.1重大な副作用
11.2その他の副作用
12.臨床検査結果に及ぼす影響
14.適用上の注意
15.その他の注意
15.1臨床使用に基づく情報
16.薬物動態
16.1血中濃度
16.5排泄
17.臨床成績
17.1有効性及び安全性に関する試験
18.薬効薬理
18.1作用機序
18.2invitro抗菌作用
19.有効成分に関する理化学的知見
22.包装
23.主要文献
24.文献請求先及び問い合わせ先
26.製造販売業者等

注射用ビクシリンS500/注射用ビクシリンS1000

添付文書番号

6191401D2034_1_13

企業コード

780009

作成又は改訂年月

2023年5月改訂(第1版)

日本標準商品分類番号

876191

薬効分類名

複合ペニシリン系抗生物質製剤

承認等

注射用ビクシリンS500

販売名コード

YJコード

6191401D2034

販売名英語表記

VICCILLIN-S FOR INJECTION

販売名ひらがな

ちゅうしゃようびくしりんS500

承認番号等

承認番号

14500AMZ00175000

販売開始年月

1970年8月

貯法・有効期間

貯法

室温保存

有効期間

3年

注射用ビクシリンS1000

販売名コード

YJコード

6191401D3049

販売名英語表記

VICCILLIN-S FOR INJECTION

販売名ひらがな

ちゅうしゃようびくしりんS1000

承認番号等

承認番号

15000EMZ00293000

販売開始年月

1976年9月

貯法・有効期間

貯法

室温保存

有効期間

3年

一般的名称

アンピシリンナトリウム・クロキサシリンナトリウム水和物

2. 禁忌(次の患者には投与しないこと)

  1. 2.1 本剤の成分に対し過敏症の既往歴のある患者
  2. 2.2 伝染性単核症のある患者[アンピシリンの投与により発疹の発現頻度を高めることがある。]

3. 組成・性状

3.1 組成

注射用ビクシリンS500

有効成分  1バイアル中
日局アンピシリンナトリウム250mg(力価)
日局クロキサシリンナトリウム水和物250mg(力価)

注射用ビクシリンS1000

有効成分  1バイアル中
日局アンピシリンナトリウム500mg(力価)
日局クロキサシリンナトリウム水和物500mg(力価)

3.2 製剤の性状

注射用ビクシリンS500

形状結晶性の粉末
白色~淡黄白色
pH7.0~10.0
[アンピシリンの50mg(力価)/mL溶液]
浸透圧比
(日局生理食塩液対比)
約1~2
[1バイアル500mg(力価)/5mL(日局注射用水)]

注射用ビクシリンS1000

形状結晶性の粉末
白色~淡黄白色
pH7.0~10.0
[アンピシリンの50mg(力価)/mL溶液]
浸透圧比
(日局生理食塩液対比)
約1~2
[1バイアル1000mg(力価)/10mL(日局注射用水)]

4. 効能・効果

  • 〈適応菌種〉

    アンピシリン/クロキサシリンに感性のブドウ球菌属、レンサ球菌属、肺炎球菌、腸球菌属、大腸菌、プロテウス・ミラビリス、インフルエンザ菌

  • 〈適応症〉

    敗血症、肺炎、肺膿瘍、慢性呼吸器病変の二次感染、膀胱炎、腎盂腎炎

5. 効能・効果に関連する注意

  • 〈筋肉内注射〉

    筋肉内注射にあたっては、組織・神経などへの影響を避けるため、経口投与が困難な場合や緊急の場合、また、経口投与で効果が不十分と考えられる場合にのみ使用すること。なお、経口投与が可能で効果が十分と判断された場合には、速やかに経口投与に切り替えること。

6. 用法・用量

  • 〈筋注の場合〉

    通常、成人には合剤(アンピシリンナトリウム・クロキサシリンナトリウム水和物)として、1日量1.5~3.0g(力価)を3~4回に分け筋肉内注射する。
    小児には合剤(アンピシリンナトリウム・クロキサシリンナトリウム水和物)として、1日量50~100mg(力価)/kgを3~4回に分け筋肉内注射する。

  • 〈点滴静注の場合〉

    用時溶解し、通常成人には合剤(アンピシリンナトリウム・クロキサシリンナトリウム水和物)として、1回量1.0~2.0g(力価)を250mL~500mLの輸液中に溶解して、1日2回1~2時間かけて点滴静注する。

 

なお、いずれの場合も年齢、症状により適宜増減する。

8. 重要な基本的注意

  1. 8.1 本剤の使用にあたっては、耐性菌の発現等を防ぐため、原則として感受性を確認し、疾病の治療上必要な最小限の期間の投与にとどめること。
  2. 8.2 本剤によるショック、アナフィラキシーの発生を確実に予知できる方法がないので、次の措置をとること。
    • 事前に既往歴等について十分な問診を行うこと。なお、抗生物質等によるアレルギー歴は必ず確認すること。
    • 投与に際しては、必ずショック等に対する救急処置のとれる準備をしておくこと。
    • 投与開始から投与終了後まで、患者を安静の状態に保たせ、十分な観察を行うこと。特に、投与開始直後は注意深く観察すること。
  3. 8.3 無顆粒球症、溶血性貧血があらわれることがあるので、定期的に検査を行うこと。
  4. 8.4 急性腎障害等の重篤な腎障害があらわれることがあるので、定期的に検査を行うこと。
  5. 8.5 *肝機能障害があらわれることがあるので、定期的に検査を行うこと。

9. 特定の背景を有する患者に関する注意

9.1 合併症・既往歴等のある患者

  1. 9.1.1 ペニシリン系又はセフェム系抗生物質に対し過敏症の既往歴のある患者(ただし、本剤に対し過敏症の既往歴のある患者には投与しないこと)
  2. 9.1.2 本人又は両親、兄弟に気管支喘息、発疹、蕁麻疹等のアレルギー症状を起こしやすい体質を有する患者
  3. 9.1.3 経口摂取の不良な患者又は非経口栄養の患者、全身状態の悪い患者

    観察を十分に行うこと。アンピシリンの投与によりビタミンK欠乏症状があらわれることがある。

9.2 腎機能障害患者

  1. 9.2.1 高度の腎障害のある患者

    投与間隔をあけて使用すること。血中濃度が持続する。

9.5 妊婦

妊婦又は妊娠している可能性のある女性には、治療上の有益性が危険性を上回ると判断される場合にのみ投与すること。アンピシリンの大量(3,000mg/kg/day)投与でラットに催奇形性が報告されている。

9.6 授乳婦

治療上の有益性及び母乳栄養の有益性を考慮し、授乳の継続又は中止を検討すること。母乳中へ移行することが報告されている。

9.8 高齢者

次の点に注意し、用量並びに投与間隔に留意するなど患者の状態を観察しながら慎重に投与すること。

  • 生理機能が低下していることが多く副作用が発現しやすい。
  • ビタミンK欠乏による出血傾向があらわれることがある。

10. 相互作用

    10.2 併用注意(併用に注意すること)

    薬剤名等臨床症状・措置方法機序・危険因子

    経口避妊薬

    経口避妊薬の効果が減弱するおそれがある。

    腸内細菌叢を変化させ、経口避妊薬の腸肝循環による再吸収を抑制すると考えられる。

    11. 副作用

    次の副作用があらわれることがあるので、観察を十分に行い、異常が認められた場合には投与を中止するなど適切な処置を行うこと。

    11.1 重大な副作用

    1. 11.1.1 ショック、アナフィラキシー(いずれも0.1%未満)

      不快感、口内異常感、喘鳴、眩暈、便意、耳鳴等があらわれた場合には、投与を中止し、適切な処置を行うこと。

    2. 11.1.2 中毒性表皮壊死融解症(Toxic Epidermal Necrolysis:TEN)1)(0.1%未満)、皮膚粘膜眼症候群(Stevens-Johnson症候群)2),3)(0.1%未満)、急性汎発性発疹性膿疱症(頻度不明)
    3. 11.1.3 無顆粒球症、溶血性貧血(いずれも0.1%未満)

    4. 11.1.4 急性腎障害等の重篤な腎障害(0.1%未満)

    5. 11.1.5 偽膜性大腸炎等の血便を伴う重篤な大腸炎(0.1%未満)

      腹痛、頻回の下痢があらわれた場合には、直ちに投与を中止し、適切な処置を行うこと。

    6. 11.1.6 *肝機能障害(頻度不明)

      *AST、ALTの上昇等を伴う肝機能障害があらわれることがある。

    11.2 その他の副作用

    5%以上又は
    頻度不明

    0.1~5%未満

    0.1%未満

    過敏症

    発熱、発疹、蕁麻疹等

    血液

    好酸球増多、顆粒球減少、血小板減少、貧血

    肝臓

    AST、ALT、Al-P上昇、黄疸

    消化器注)

    下痢、悪心、食欲不振等

    中枢神経注)

    痙攣等の神経症状(腎不全の患者に大量投与時)

    菌交代症注)

    口内炎、カンジダ症

    ビタミン欠乏症注)

    ビタミンK欠乏症状(低プロトロンビン血症、出血傾向等)、ビタミンB群欠乏症状(舌炎、口内炎、食欲不振、神経炎等)

    その他

    悪寒、全身倦怠感、頭痛等

    注)アンピシリンによる副作用。

    12. 臨床検査結果に及ぼす影響

    本剤の投与により、ベネディクト試薬、フェーリング試薬による尿糖検査では偽陽性を呈することがあるので注意すること。

    14. 適用上の注意

    14.1 薬剤調製時の注意

    • 〈投与経路共通〉
      1. 14.1.1 用時溶解後速やかに使用すること。

    14.2 薬剤投与時の注意

    • 〈投与経路共通〉
      1. 14.2.1 筋肉内注射及び点滴静注にのみ使用すること。
    • 〈筋肉内注射〉
      1. 14.2.2 組織・神経などへの影響を避けるため、下記の点に注意すること。
        • 同一部位への反復注射は行わないこと。
          また、小児等には特に注意すること。
        • 神経走行部位を避けるよう注意すること。
        • 注射針を刺入したとき、激痛を訴えたり、血液の逆流をみた場合には、直ちに針を抜き、部位をかえて注射すること。
        • 注射部位に疼痛、硬結をみることがある。
    • 〈点滴静注〉
      1. 14.2.3 血管痛を起こすことがあるので、これを予防するために注射部位、注射方法等について十分注意し、その注射の速度はできるだけ遅くすること。

    15. その他の注意

    15.1 臨床使用に基づく情報

    アンピシリンとアロプリノールとの併用により、発疹の発現が増加するとの報告がある。

    16. 薬物動態

    16.1 血中濃度

    1. 16.1.1 筋注の場合

      健康成人(n=2)に本剤500mg(力価)を1回筋注したときの血中濃度のピークは、1時間後にみられ、13μg/mLの値を示し、以後漸減し6時間後では1.95μg/mLであった4)

    2. 16.1.2 点滴静注の場合

      成人(n=2)に本剤2g(力価)を5%ブドウ糖液500mLに溶解し1回2時間かけて点滴静注したとき、血中濃度のピークは点滴終了時に認められ、アンピシリン、クロキサシリンともに約19μg/mLであった5)

    16.5 排泄

    健康成人(n=2)に本剤500mg(力価)を1回筋注したとき、尿中には12時間までに36.4%が排泄された4)

    17. 臨床成績

    17.1 有効性及び安全性に関する試験

    肺膿瘍(肺化膿症)、慢性呼吸器病変の二次感染(気管支拡張症)、敗血症、肺炎に対して、筋注では95.1%(39/41例)の有効率を示し、肺膿瘍(肺化膿症)、慢性呼吸器病変の二次感染(気管支拡張症、肺結核二次感染)、敗血症、肺炎(細菌性肺炎)、腎盂腎炎及び膀胱炎(尿路感染症)に対して、点滴静注では80.7%(159/197例)の有効率を示した。

    18. 薬効薬理

    18.1 作用機序

    アンピシリンは、細菌の細胞壁合成阻害により殺菌的に作用する。
    クロキサシリンは、細菌の細胞壁合成阻害により殺菌的に作用し、細菌が産生するぺニシリン分解酵素に対し抵抗性を有する。

    18.2 in vitro抗菌作用

    アンピシリン/クロキサシリンは、グラム陽性菌及びグラム陰性菌に抗菌作用を示し、多剤耐性ブドウ球菌にも抗菌作用を示した。

    被験菌

    最小発育阻止濃度(μg/mL)

    アンピシリン/
    クロキサシリン

    アンピシリン

    クロキサシリン

    Staphylococcus
    aureus 209P

    0.062

    0.062

    0.5

    S.aureus 樋口株注)

    0.16

    0.62

    0.16

    S.aureus 有富株注)

    0.31

    1.25

    0.31

    S.aureus 久家株注)

    0.31

    1.25

    0.31

    Streptococcus
    hemolyticus D90

    0.25

    0.5

    >1.0 

    S.hemolyticus Cook

    0.005

    0.005

    0.04

    S.pneumoniae
    type 3 IID

    0.125

    0.125

    0.5

    Escherichia coli
    IAM 1253

    0.62

    1.25

    >10  

    注)患者分離株:ベンジルペニシリン、ストレプトマイシン、テトラサイクリン耐性

    19. 有効成分に関する理化学的知見

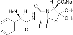
    19.1 アンピシリンナトリウム

    一般的名称

    アンピシリンナトリウム(Ampicillin Sodium)

    化学名

    Monosodium(2S,5R,6R)-6-[(2R)-2-amino-2-phenylacetylamino]-3,3-dimethyl-7-oxo-4-thia-1-azabicyclo[3.2.0]heptane-2-carboxylate

    分子式

    C16H18N3NaO4S

    分子量

    371.39

    性状

    アンピシリンナトリウムは白色~淡黄白色の結晶又は結晶性の粉末である。
    本品は水に極めて溶けやすく、エタノール(99.5)にやや溶けにくい。

    化学構造式

    分配係数

    略号

    ABPC

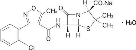
    19.2 クロキサシリンナトリウム水和物

    一般的名称

    クロキサシリンナトリウム水和物(Cloxacillin Sodium Hydrate)

    化学名

    Monosodium(2S,5R,6R)-6-{[3-(2-chlorophenyl)-5-methylisoxazole-4-carbonyl]amino}-3,3-dimethyl-7-oxo-4-thia-1-azabicyclo[3.2.0]heptane-2-carboxylate monohydrate

    分子式

    C19H17ClN3NaO5S・H2O

    分子量

    475.88

    性状

    クロキサシリンナトリウム水和物は白色~淡黄白色の結晶又は結晶性の粉末である。
    本品は水、N,N-ジメチルホルムアミド又はメタノールに溶けやすく、エタノール(95)にやや溶けにくい。

    化学構造式

    分配係数

    略号

    MCIPC

    22. 包装

    • 注射用ビクシリンS500

      10バイアル

    • 注射用ビクシリンS1000

      10バイアル

    24. 文献請求先及び問い合わせ先

    Meiji Seika ファルマ株式会社 くすり相談室

    〒104-8002 東京都中央区京橋2-4-16

    フリーダイヤル(0120)093-396 電話(03)3273-3539
    FAX(03)3272-2438

    26. 製造販売業者等

    26.1 製造販売元

    Meiji Seika ファルマ株式会社

    東京都中央区京橋2-4-16

    〒100-0013 東京都千代田区霞が関3-3-2 新霞が関ビル

    画面を閉じる

    Copyright © Pharmaceuticals and Medical Devices Agency, All Rights reserved.