医療用医薬品 詳細表示

レバミピド錠100mg「MED」

処方せん医薬品以外の医薬品

添付文書番号
企業コード
作成又は改訂年月
日本標準商品分類番号
薬効分類名
承認等
一般的名称
2.禁忌(次の患者には投与しないこと)
3.組成・性状
3.1組成
3.2製剤の性状
4.効能又は効果
6.用法及び用量
9.特定の背景を有する患者に関する注意
9.5妊婦
9.6授乳婦
9.7小児等
9.8高齢者
11.副作用
11.1重大な副作用
11.2その他の副作用
14.適用上の注意
16.薬物動態
16.1血中濃度
16.2吸収
16.3分布
16.4代謝
16.5排泄
16.6特定の背景を有する患者
17.臨床成績
17.1有効性及び安全性に関する試験
18.薬効薬理
18.1作用機序
19.有効成分に関する理化学的知見
22.包装
23.主要文献
24.文献請求先及び問い合わせ先
26.製造販売業者等

レバミピド錠100mg「MED」

添付文書番号

2329021F1056_1_06

企業コード

780075

作成又は改訂年月

2023年6月改訂(第1版)

日本標準商品分類番号

872329

薬効分類名

胃炎・胃潰瘍治療剤

承認等

レバミピド錠100mg「MED」

販売名コード

YJコード

2329021F1056

販売名英語表記

Rebamipide Tablets 100mg 「MED」

販売名ひらがな

ればみぴどじょう

承認番号等

承認番号

22100AMX00050000

販売開始年月

2009年6月

貯法・有効期間

貯法

室温保存

有効期間

3年

基準名

日本薬局方

レバミピド錠

一般的名称

レバミピド

2. 禁忌(次の患者には投与しないこと)

本剤の成分に対し過敏症の既往歴のある患者

3. 組成・性状

3.1 組成

レバミピド錠100mg「MED」

1錠中
有効成分日局レバミピド   100mg
添加剤カルナウバロウ、結晶セルロース、酸化チタン、ステアリン酸Mg、ヒドロキシプロピルセルロース、ヒプロメロース、マクロゴール6000

3.2 製剤の性状

レバミピド錠100mg「MED」

剤形フィルムコーティング錠
外形

大きさ直径8.1mm
厚さ3.5mm
質量約175mg
識別コードレバミピド 100 MED
性状白色

4. 効能又は効果

  • 胃潰瘍
  • 下記疾患の胃粘膜病変(びらん、出血、発赤、浮腫)の改善

    急性胃炎、慢性胃炎の急性増悪期

6. 用法及び用量

  • 〈胃潰瘍〉

    通常、成人には1回1錠(レバミピドとして100mg)を1日3回、朝、夕及び就寝前に経口投与する。

  • 〈下記疾患の胃粘膜病変(びらん、出血、発赤、浮腫)の改善
    急性胃炎、慢性胃炎の急性増悪期〉

    通常、成人には1回1錠(レバミピドとして100mg)を1日3回経口投与する。

9. 特定の背景を有する患者に関する注意

9.5 妊婦

妊婦又は妊娠している可能性のある女性には治療上の有益性が危険性を上回ると判断される場合にのみ投与すること。動物実験(ラット)で胎児への移行が報告されている。

9.6 授乳婦

治療上の有益性及び母乳栄養の有益性を考慮し、授乳の継続又は中止を検討すること。動物実験(ラット)で乳汁中への移行が報告されている。

9.7 小児等

小児等を対象とした臨床試験は実施していない。

9.8 高齢者

消化器症状等の副作用に注意すること。一般に生理機能が低下している。

11. 副作用

次の副作用があらわれることがあるので、観察を十分に行い、異常が認められた場合には投与を中止するなど適切な処置を行うこと。

11.1 重大な副作用

  1. 11.1.1 ショック、アナフィラキシー(いずれも頻度不明)
  2. 11.1.2 白血球減少、血小板減少(いずれも頻度不明)
  3. 11.1.3 肝機能障害、黄疸(いずれも頻度不明)

    AST、ALT、γ-GTP、Al-Pの上昇等を伴う肝機能障害、黄疸があらわれることがある。

11.2 その他の副作用

0.1~0.5%未満

0.1%未満

頻度不明

過敏症

発疹

そう痒感、薬疹様湿疹等の過敏症状

蕁麻疹

精神神経系

しびれ、めまい、眠気

消化器

便秘、腹部膨満感、下痢、味覚異常

嘔気、胸やけ、腹痛、げっぷ

口渇、嘔吐

肝臓1)

AST、ALTの上昇

γ-GTP、Al-Pの上昇

血液

血小板減少、白血球減少、顆粒球減少

その他

浮腫、咽頭部異物感

乳腺腫脹、乳房痛、女性化乳房、乳汁分泌誘発、動悸、発熱、顔面潮紅、舌のしびれ、咳、息苦しい、脱毛、月経異常、BUN上昇

1) トランスアミナーゼが著しく上昇した場合や発熱、発疹等が同時にあらわれた場合には投与を中止し、適切な処置を行うこと。

14. 適用上の注意

14.1 薬剤交付時の注意

PTP包装の薬剤はPTPシートから取り出して服用するよう指導すること。PTPシートの誤飲により、硬い鋭角部が食道粘膜へ刺入し、更には穿孔をおこして縦隔洞炎等の重篤な合併症を併発することがある。

16. 薬物動態

16.1 血中濃度

  1. 16.1.1 健康成人男性27例にレバミピド錠100mgを空腹時単回経口投与した時の薬物動態パラメータを以下に示す1)
    レバミピドの薬物動態パラメータ

    tmax
    (時間)

    Cmax
    (µg/L)

    t1/2
    (時間)

    AUC24h
    (µg/L・h)

    レバミピド錠100mg

    2.4±1.2

    216±79

    1.9±0.7

    874±209

    (平均値±標準偏差、n=27、t1/2は12時間までの値より算出した)

  2. 16.1.2 生物学的同等性試験

    レバミピド錠100mg「MED」とムコスタ錠100mgを健康成人男子にそれぞれ1錠(レバミピドとして100mg)空腹時単回経口投与(クロスオーバー法)し、血漿中レバミピド濃度を測定した。得られた薬物動態パラメータ(AUC、Cmax)について統計解析を行った結果、両剤の生物学的同等性が確認された2)

    各製剤1錠投与時の薬物動態パラメータ

    Cmax
    (ng/mL)

    Tmax
    (hr)

    T1/2
    (hr)

    AUC0-12hr
    (ng・hr/mL)

    レバミピド錠100mg「MED」

    245.1±102.5

    2.5±1.1

    1.6±0.6

    907.5±380.0

    ムコスタ錠100mg

    224.9±84.3

    3.0±0.9

    1.5±0.6

    892.7±366.1

    (Mean±S.D.)

    血漿中濃度ならびにAUC、Cmax等のパラメータは、被験者の選択、体液の採取回数・時間等の試験条件によって異なる可能性がある。

16.2 吸収

  1. 16.2.1 食事の影響

    健康成人男性6例にレバミピド150mg2)を単回経口投与した時、食事により吸収の遅延傾向がみられたが、バイオアベイラビリティに影響は認められなかった3)

16.3 分布

レバミピドのヒト血漿蛋白結合率は98.4~98.6%であった4)in vitro、限外ろ過法、0.05~5µg/mL)。

16.4 代謝

健康成人男性にレバミピド600mg2)を経口投与した時、尿中排泄の大部分が未変化体であった。代謝産物として8位水酸化体が確認されたが、その量は投与量の約0.03%とわずかであった5)。8位水酸化体はCYP3A4によって生成した6)in vitro)。

16.5 排泄

健康成人男性にレバミピド100mgを投与した時、尿中に投与量の約10%が排泄された5)

16.6 特定の背景を有する患者

  1. 16.6.1 腎機能障害患者

    腎機能障害被験者にレバミピド100mgを単回経口投与後の薬物動態を検討したところ、健康成人に比べ血漿中濃度の上昇及び消失半減期の遅れが認められた7)。また、透析患者に連続投与した時の定常状態における血漿中濃度は、単回投与時から推定できる血漿中濃度と一致したことより、蓄積性はないものと考えられた8)

2) 本剤の承認された用量は1回100mg、1日3回である。

17. 臨床成績

17.1 有効性及び安全性に関する試験

  • 〈胃潰瘍〉
    1. 17.1.1 国内臨床試験

      胃潰瘍患者を対象にレバミピド300mg/日を投与した試験での最終内視鏡判定は、治癒60%(200/335例)、略治以上67%(224/335例)であった。
      また、二重盲検比較試験において、レバミピドの有用性が認められている。更に、治癒した症例のうち67例を6カ月間追跡調査した結果、再発が認められた症例は4例であり、再発率は約6%であった9),10),11),12),13)

18. 薬効薬理

18.1 作用機序

  1. 18.1.1 胃粘膜保護、損傷治癒促進作用

    レバミピドは、内因性プロスタグランジン増加や胃粘液量増加などによる胃粘膜保護作用、損傷胃粘膜の治癒促進作用が認められている。

  2. 18.1.2 胃粘膜の炎症抑制作用

    レバミピドは、フリーラジカル抑制や炎症性サイトカイン産生抑制などにより胃粘膜の炎症を抑制する作用が認められている。

18.2 実験胃潰瘍に対する抑制作用及び治癒促進作用

ラットにおいて、水浸拘束ストレス潰瘍、アスピリン潰瘍、インドメタシン潰瘍、ヒスタミン潰瘍、セロトニン潰瘍、幽門結紮潰瘍及び活性酸素が関与していると考えられる虚血-再灌流、血小板活性化因子(PAF)、ジエチルジチオカルバメイト(DDC)、ストレス・インドメタシンによる胃粘膜傷害を抑制した14),15),16),17)。また、ラット酢酸潰瘍の治癒を促進し、潰瘍作製後120~140日目にみられる再発・再燃を抑制した18)

18.3 実験胃炎に対する抑制作用及び治癒促進作用

ラットにおいて、胆汁酸の主成分の一つであるタウロコール酸で誘発した実験胃炎の発生を抑制するとともに治癒促進効果を有した19),20)

18.4 胃粘膜プロスタグランジン増加作用

ラットにおいて、胃粘膜内プロスタグランジンE2含量を増加させた。また、胃液中のプロスタグランジンE2、I2を増加させるとともに、プロスタグランジンE2の代謝産物である15-ケト-13,14-ジヒドロプロスタグランジンE2も増加させた21),22)
健康成人男性において、胃粘膜プロスタグランジンE2含量を増加させ、エタノール負荷による胃粘膜傷害に対する抑制作用を示した23)

18.5 胃粘膜保護作用

ラットにおいて、エタノール、強酸及び強アルカリによる胃粘膜傷害を抑制した21),24)
健康成人男性において、アスピリン、エタノール、塩酸-エタノール負荷による胃粘膜傷害を抑制した23),24),25)

18.6 胃粘液量増加作用

ラットにおいて、粘液高分子糖タンパクの生合成酵素活性を高め、胃粘膜被覆粘液量及び可溶性粘液量を増加させた。なお、可溶性粘液増加作用に内因性プロスタグランジンは関与しなかった26),27),28)

18.7 胃粘膜血流量増加作用

ラットにおいて、胃粘膜血流量を増加させ、脱血による血行動態の障害を改善した24)

18.8 胃粘膜関門に対する作用

ラットにおいて、胃粘膜電位差に対してほとんど作用を示さないが、エタノールによる胃粘膜電位差の低下を抑制した29)

18.9 胃アルカリ分泌亢進作用

ラットにおいて、胃アルカリ分泌を亢進した30)

18.10 損傷胃粘膜修復作用

ウサギ培養胃粘膜上皮細胞を用いた創傷修復モデルにおいて、胆汁酸及び過酸化水素によって遅延した修復過程を正常化した31),32)

18.11 胃酸分泌に対する作用

ラットにおいて、基礎胃液分泌にほとんど作用を及ぼさず、また、刺激胃酸分泌に対しても抑制作用を示さなかった33)

18.12 活性酸素に対する作用

レバミピドはヒドロキシルラジカルを直接消去し、多形核白血球のスーパーオキシド産生を抑制した34),35),36)。また、Helicobacter pyloriによる好中球からの活性酸素種産生による胃粘膜細胞傷害を抑制した37)in vitro)。
ストレス・インドメタシンを負荷したラットの胃粘膜傷害を抑制すると同時に胃粘膜中の過酸化脂質含量を低下させた16)

18.13 胃粘膜への炎症性細胞浸潤に対する作用

ラットのタウロコール酸(胆汁酸の主成分の一つ)誘発胃炎モデル、NSAIDs胃粘膜傷害モデル、虚血-再灌流モデルにおいて、炎症性細胞浸潤を抑制した17),19),38)

18.14 胃粘膜における炎症性サイトカイン(インターロイキン-8)に対する作用

Helicobacter pyloriによるヒト胃粘膜上皮細胞からのインターロイキン-8(IL-8)産生増加を抑制した39)。また、上皮細胞内のNF-κBの活性化及びIL-8 mRNAの発現を抑制した40)in vitro)。

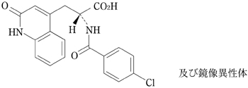
19. 有効成分に関する理化学的知見

一般的名称

レバミピド(Rebamipide)

化学名

(2RS)-2-(4-Chlorobenzoylamino)-3-(2-oxo-1,2-dihydroquinolin-4-yl)propanoic acid

分子式

C19H15ClN2O4

分子量

370.79

性状

白色の結晶性の粉末であり、味は苦い。N,N-ジメチルホルムアミドにやや溶けやすく、メタノール又はエタノール(99.5)に極めて溶けにくく、水にほとんど溶けない。N,N-ジメチルホルムアミド溶液(1→20)は旋光性を示さない。

化学構造式

融点

約291℃(分解)

22. 包装

PTP:100錠(10錠×10)、500錠(10錠×50)

23. 主要文献

1) Hasegawa, S. et al.:Clin. Drug Invest., 2003;23(12):771-779

2) 社内資料:生物学的同等性試験

3) 岸清一郎他:臨床成人病, 1989;19(3):355-363

4) 塩屋良秀他:医薬品研究, 1989;20(2):522-533

5) 第十八改正日本薬局方解説書, 廣川書店, 2021;C-6232-6237

6) Koyama, N. et al.:Xenobiotica, 2002;32(7):573-586

7) 菊池博他:新薬と臨床, 1995;44(7):1179-1182

8) 深沢和浩他:新薬と臨床, 1995;44(10):1667-1671

9) 竹本忠良他:臨床成人病, 1989;19(4):539-551

10) 竹本忠良他:臨床成人病, 1989;19(4):553-582

11) 竹本忠良他:臨床成人病, 1989;19(5):739-751

12) 竹本忠良他:臨床成人病, 1989;19(5):753-775

13) 竹本忠良他:臨床成人病, 1989;19(7):1265-1291

14) 山崎勝也他:薬理と治療, 1988;16(5):1997-2005

15) Yamasaki, K. et al.:Jpn. J. Pharmacol., 1989;49(4):441-448

16) Yamasaki, K. et al.:Pathophysiology, 1994;1(4):251-257

17) Kim, C. D. et al.:J. Pharmacol. Exp. Ther., 1995;275(1):340-344

18) 白木正裕他:日薬理誌, 1988;92(6):389-395

19) 岡部進他:Ther. Res., 1991;12(10):3253-3263

20) Kishimoto, S. et al.:Res. Commun. Chem. Pathol. Pharmacol., 1992;78(3):259-277

21) Yamasaki, K. et al.:Eur. J. Pharmacol., 1987;142(1):23-29

22) Kleine, A. et al.:Dig. Dis. Sci., 1993;38(8):1441-1449

23) 中村肇他:臨床成人病, 1989;19(6):1109-1114

24) 川野淳他:日薬理誌, 1991;97(6):371-380

25) Dammann, H. G.:Eur. J. Gastroenterol. Hepatol., 1994;6(10):911-915

26) 石山広信他:薬理と治療, 1988;16(10):4103-4109

27) 石山広信他:薬理と治療, 1988;16(10):4111-4118

28) Ishihara, K. et al.:Arzneim.-Forsch./Drug Res., 1992;42(Ⅱ):1462-1466

29) 山崎勝也他:薬理と治療, 1990;18(9):3395-3400

30) 山崎勝也他:薬理と治療, 1990;18(10):3765-3772

31) Watanabe, S. et al.:Aliment. Pharmacol. Ther., 1996;10(6):927-932

32) Watanabe, S. et al.:Dig. Dis. Sci., 1998;43(9):107S-112S

33) 山崎勝也他:薬理と治療, 1988;16(6):2487-2495

34) Yoshikawa, T. et al.:Arzneim.-Forsch./Drug Res., 1993;43(Ⅰ):363-366

35) Naito, Y. et al.:Free Radic. Biol. Med., 1995;18(1):117-123

36) Ogino, K. et al.:Eur. J. Pharmacol., 1992;212(1):9-13

37) Suzuki, M. et al.:Gut, 1994;35(10):1375-1378

38) Murakami, K. et al.:Dig. Dis. Sci., 1997;42(2):319-325

39) 三原充弘他:消化器科, 1997;24(6):681-688

40) Aihara, M. et al.:Dig. Dis. Sci., 1998;43(9):174S-180S

24. 文献請求先及び問い合わせ先

旭化成ファーマ株式会社 くすり相談窓口

〒100-0006 東京都千代田区有楽町一丁目1番2号

フリーダイヤル0120-114-936
(9:00~17:45/土日祝、休業日を除く)

26. 製造販売業者等

26.1 製造販売元

メディサ新薬株式会社

大阪市淀川区宮原5丁目2-27

26.2 発売元

旭化成ファーマ株式会社

東京都千代田区有楽町一丁目1番2号

〒100-0013 東京都千代田区霞が関3-3-2 新霞が関ビル

画面を閉じる

Copyright © Pharmaceuticals and Medical Devices Agency, All Rights reserved.