医療用医薬品 詳細表示

グリクラジド錠20mg「サワイ」/グリクラジド錠40mg「サワイ」

処方せん医薬品

添付文書番号
企業コード
作成又は改訂年月
日本標準商品分類番号
薬効分類名
承認等
一般的名称
1.警告
2.禁忌(次の患者には投与しないこと)
3.組成・性状
3.1組成
3.2製剤の性状
4.効能又は効果
6.用法及び用量
8.重要な基本的注意
9.特定の背景を有する患者に関する注意
9.1合併症・既往歴等のある患者
9.2腎機能障害患者
9.3肝機能障害患者
9.5妊婦
9.6授乳婦
9.7小児等
9.8高齢者
10.相互作用
10.2併用注意(併用に注意すること)
11.副作用
11.1重大な副作用
11.2その他の副作用
13.過量投与
14.適用上の注意
15.その他の注意
15.1臨床使用に基づく情報
16.薬物動態
16.1血中濃度
16.3分布
16.4代謝
16.5排泄
18.薬効薬理
18.1作用機序
18.2血糖降下作用
19.有効成分に関する理化学的知見
22.包装
23.主要文献
24.文献請求先及び問い合わせ先
26.製造販売業者等

グリクラジド錠20mg「サワイ」/グリクラジド錠40mg「サワイ」

添付文書番号

3961007F1204_1_03

企業コード

780075

作成又は改訂年月

2023年9月改訂(第1版)

日本標準商品分類番号

873961

薬効分類名

経口血糖降下剤

承認等

グリクラジド錠20mg「サワイ」

販売名コード

YJコード

3961007F2090

販売名英語表記

GLICLAZIDE Tablets [SAWAI]

販売名ひらがな

ぐりくらじどじょう

承認番号等

承認番号

22500AMX00615000

販売開始年月

2012年6月

貯法・有効期間

貯法

室温保存

有効期間

3年

グリクラジド錠40mg「サワイ」

販売名コード

YJコード

3961007F1204

販売名英語表記

GLICLAZIDE Tablets [SAWAI]

販売名ひらがな

ぐりくらじどじょう

承認番号等

承認番号

22500AMX00614000

販売開始年月

1992年7月

貯法・有効期間

貯法

室温保存

有効期間

3年

一般的名称

グリクラジド

1. 警告

重篤かつ遷延性の低血糖を起こすことがある。
用法及び用量、使用上の注意に特に留意すること。,

2. 禁忌(次の患者には投与しないこと)

  1. 2.1 重症ケトーシス、糖尿病性昏睡又は前昏睡、インスリン依存型糖尿病の患者[インスリンの適用である。]
  2. 2.2 重篤な肝又は腎機能障害のある患者[低血糖を起こすおそれがある。],,
  3. 2.3 重症感染症、手術前後、重篤な外傷のある患者[インスリンの適用である。]
  4. 2.4 下痢、嘔吐等の胃腸障害のある患者[低血糖を起こすおそれがある。]
  5. 2.5 本剤の成分又はスルホンアミド系薬剤に対し過敏症の既往歴のある患者
  6. 2.6 妊婦又は妊娠している可能性のある女性

3. 組成・性状

3.1 組成

グリクラジド錠20mg「サワイ」

1錠中
有効成分日局グリクラジド   20mg
添加剤クロスカルメロースNa、軽質無水ケイ酸、結晶セルロース、三二酸化鉄、ステアリン酸Mg、ヒドロキシプロピルセルロース

グリクラジド錠40mg「サワイ」

1錠中
有効成分日局グリクラジド   40mg
添加剤クロスカルメロースNa、結晶セルロース、ステアリン酸Mg、トウモロコシデンプン、ヒドロキシプロピルセルロース、ラウリル硫酸Na

3.2 製剤の性状

グリクラジド錠20mg「サワイ」

剤形割線入り素錠
外形

大きさ直径6.5mm
厚さ2.0mm
質量約80mg
識別コードSW 233
性状淡黄色

グリクラジド錠40mg「サワイ」

剤形割線入り素錠
外形

大きさ直径6.0mm
厚さ2.4mm
質量約80mg
識別コードSW 236
性状白色

4. 効能又は効果

インスリン非依存型糖尿病(成人型糖尿病)
(ただし、食事療法・運動療法のみで十分な効果が得られない場合に限る。)

6. 用法及び用量

グリクラジドとして、通常成人では1日40mgより開始し、1日1~2回(朝又は朝夕)食前又は食後に経口投与する。維持量は通常1日40~120mgであるが、160mgを超えないものとする。

8. 重要な基本的注意

  1. 8.1 投与する場合には、少量より開始し、血糖、尿糖を定期的に検査し、薬剤の効果を確かめ、効果が不十分な場合には、速やかに他の治療法への切り替えを行うこと。
  2. 8.2 重篤かつ遷延性の低血糖を起こすことがあるので、高所作業、自動車の運転等に従事している患者に投与するときには注意すること。
  3. 8.3 本剤の使用にあたっては、患者及びその家族に対し低血糖症状及びその対処方法について十分説明すること。,,

9. 特定の背景を有する患者に関する注意

9.1 合併症・既往歴等のある患者

低血糖を起こすおそれのある以下の患者又は状態,

  • 脳下垂体機能不全又は副腎機能不全
  • 栄養不良状態、飢餓状態、不規則な食事摂取、食事摂取量の不足又は衰弱状態
  • 激しい筋肉運動
  • 過度のアルコール摂取者

9.2 腎機能障害患者

  1. 9.2.1 重篤な腎機能障害のある患者

    投与しないこと。低血糖を起こすおそれがある。,

  2. 9.2.2 腎機能障害患者(重篤な腎機能障害のある患者を除く)

    低血糖を起こすおそれがある。

  3. 9.2.3 血液透析中の患者

    慢性透析を施行中の糖尿病患者10例において、朝食前にグリクラジドを投与後、午前中に透析を開始し、その透析前後のグリクラジド血中濃度を測定したところ、透析前は1.97μg/mL、透析後は1.79μg/mLであり、9.1%の低下が認められた1)

9.3 肝機能障害患者

  1. 9.3.1 重篤な肝機能障害のある患者

    投与しないこと。低血糖を起こすおそれがある。,

  2. 9.3.2 肝機能障害患者(重篤な肝機能障害のある患者を除く)

    低血糖を起こすおそれがある。

9.5 妊婦

妊婦又は妊娠している可能性のある女性には投与しないこと。スルホニル尿素系薬剤は胎盤を通過することが報告されており、新生児の低血糖、また、巨大児が認められている。

9.6 授乳婦

授乳中の女性に投与する場合には、治療上の有益性及び母乳栄養の有益性を考慮し、授乳の継続又は中止を検討すること。他のスルホニル尿素系薬剤で母乳中への移行が報告されている。

9.7 小児等

小児等を対象とした臨床試験は実施していない。

9.8 高齢者

少量から投与を開始し、定期的に検査を行うなど慎重に投与すること。高齢者では、生理機能が低下していることが多く、低血糖があらわれやすい。

10. 相互作用

    10.2 併用注意(併用に注意すること)

    • 10.2.1 血糖降下作用を増強する薬剤
      • (1)臨床症状

        血糖降下作用の増強による低血糖症状が起こることがある。

      • (2)措置方法

        併用する場合には、血糖値その他患者の状態を十分観察し、必要に応じて本剤又は併用薬剤の投与量を調節するなど慎重に投与すること。
        特にβ遮断剤と併用する場合にはプロプラノロール等の非選択性薬剤は避けることが望ましい。

      • (3)薬剤名、機序
    薬剤名等臨床症状・措置方法機序・危険因子

    糖尿病用薬

    • インスリン製剤
      ビグアナイド系薬剤
      チアゾリジン系薬剤
      α-グルコシダーゼ阻害剤
      DPP-4阻害剤
      GLP-1受容体作動薬
      SGLT2阻害剤
    • イメグリミン塩酸塩 等

    これらの薬剤の血糖降下作用による。

    ピラゾロン系消炎剤

    • ケトフェニルブタゾン等

    ピラゾロン系消炎剤によるスルホニル尿素系薬剤の蛋白結合の阻害、肝代謝の抑制、腎排泄の抑制が考えられている。

    サルファ剤

    • スルファメトキサゾール 等

    サルファ剤によるスルホニル尿素系薬剤の蛋白結合の阻害、肝代謝の抑制等が考えられている。

    サリチル酸剤

    • アスピリン
      サザピリン 等

    サリチル酸剤によるスルホニル尿素系薬剤の蛋白結合の阻害、サリチル酸剤の血糖降下作用が考えられている。

    クロフィブラート
    ベザフィブラート

    これらの薬剤によるスルホニル尿素系薬剤の蛋白結合の阻害又は腎排泄の抑制、インスリン抵抗性の減弱等が考えられている。

    クマリン系薬剤

    • ワルファリン

    これらの薬剤によるスルホニル尿素系薬剤の肝代謝の抑制が考えられている。

    クロラムフェニコール

    これらの薬剤によるスルホニル尿素系薬剤の肝代謝の抑制が考えられている。

    ミコナゾール
    フルコナゾール

    これらの薬剤によるスルホニル尿素系薬剤の肝代謝の抑制が考えられている。

    プロベネシド

    プロベネシドによるスルホニル尿素系薬剤の腎排泄の抑制が考えられている。

    ジヒドロエルゴタミン製剤

    ジヒドロエルゴタミン製剤によるスルホニル尿素系薬剤のインスリン分泌作用の促進が考えられている。

    ジソピラミド
    シベンゾリン
    ピルメノール

    これらの薬剤によるインスリン分泌の促進等が考えられている。

    β遮断剤

    • プロプラノロール
      ピンドロール 等

    機序は不明であるが、アドレナリンを介した低血糖からの回復の抑制、低血糖時の交感神経症状(心悸亢進等)の不顕性化等が考えられている。

    モノアミン酸化酵素阻害剤

    機序は不明であるが、モノアミン酸化酵素阻害剤によるインスリン分泌の促進、肝での糖新生抑制が考えられている。

    三環系抗うつ剤

    • イミプラミン
      ノルトリプチリン 等

    機序は不明であるが、三環系抗うつ剤による低血糖に対する反応の変化、末梢でのインスリン感受性促進が考えられている。

    テトラサイクリン系抗生物質

    • テトラサイクリン
      ドキシサイクリン 等

    機序は不明である。

    クラリスロマイシン

    機序は不明である。

    • 10.2.2 血糖降下作用を減弱する薬剤
      • (1)臨床症状

        血糖降下作用の減弱による高血糖症状(嘔気・嘔吐、脱水、呼気のアセトン臭等)が起こることがある。

      • (2)措置方法

        併用する場合は、血糖値その他患者の状態を十分観察しながら投与すること。

      • (3)薬剤名、機序
    薬剤名等臨床症状・措置方法機序・危険因子

    アドレナリン

    アドレナリンによる末梢でのブドウ糖の取り込み抑制、肝での糖新生促進、インスリン分泌の抑制が考えられている。

    副腎皮質ホルモン

    副腎皮質ホルモンによる肝での糖新生促進、末梢でのインスリン感受性低下等が考えられている。

    甲状腺ホルモン

    • 乾燥甲状腺
      リオチロニン
      レボチロキシン

    甲状腺ホルモンによる腸管でのブドウ糖吸収促進、肝での糖新生促進等が考えられている。

    利尿剤

    • トリクロルメチアジド
      ヒドロクロロチアジド
      フロセミド 等

    利尿剤によるインスリン分泌抑制、末梢でのインスリン感受性低下等が考えられている。

    フェニトイン

    フェニトインによるインスリン分泌抑制が考えられている。

    リファンピシン

    リファンピシンによるスルホニル尿素系薬剤の肝代謝の促進が考えられている。

    イソニアジド
    ニコチン酸

    これらの薬剤による血糖上昇作用が考えられている。

    卵胞ホルモン

    • エチニルエストラジオール
      エストリオール 等

    機序は不明であるが、卵胞ホルモンによるコルチゾール分泌変化、組織での糖利用変化、成長ホルモンの過剰産生、肝機能の変化、末梢でのインスリン感受性低下等が考えられている。

    フェノチアジン系薬剤

    • クロルプロマジン等

    機序は不明であるが、クロルプロマジンによるインスリン分泌抑制、副腎からのアドレナリン遊離が考えられている。

    ピラジナミド

    機序は不明である。

    11. 副作用

    次の副作用があらわれることがあるので、観察を十分に行い、異常が認められた場合には投与を中止するなど適切な処置を行うこと。

    11.1 重大な副作用

    1. 11.1.1 低血糖(1.9%)

      脱力感、高度の空腹感、発汗等(初期症状として)が、また、心悸亢進、振戦、頭痛、知覚異常、不安、興奮、神経過敏、集中力低下、精神障害、意識障害、痙れん等があらわれることがある。なお、徐々に進行する低血糖では、精神障害、意識障害等が主である場合があるので注意すること。低血糖症状が認められた場合には、糖質を含む食品を摂取するなど適切な処置を行うこと。ただし、α-グルコシダーゼ阻害剤との併用により低血糖症状が認められた場合にはブドウ糖を投与すること。,,,,,,,,,,,,

    2. 11.1.2 無顆粒球症(0.1%未満)
    3. 11.1.3 肝機能障害、黄疸(0.1%未満)

      AST、ALT、ALPの上昇等を伴う肝機能障害、黄疸があらわれることがある。

    11.2 その他の副作用

    0.1~5%未満

    0.1%未満

    頻度不明

    血液

    貧血、白血球減少

    血小板減少

    肝臓

    AST、ALT、ALPの上昇

    腎臓

    BUNの上昇

    血清クレアチニンの上昇

    消化器

    悪心、嘔吐、食欲不振

    胃膨満感、便秘、下痢、腹痛

    過敏症

    皮膚そう痒感、発疹

    光線過敏症

    その他

    頭重、めまい

    頭痛、熱感

    脱毛

    注)発現頻度は使用成績調査を含む。

    13. 過量投与

    1. 13.1 症状

      低血糖が起こる。

    2. 13.2 処置
      1. 13.2.1 意識障害がない場合

      2. 13.2.2 意識障害がある場合

        ブドウ糖液を静脈内注射する。

      3. 13.2.3 その他

        血糖上昇ホルモンとしてのグルカゴン投与も有効である。

    14. 適用上の注意

    14.1 薬剤交付時の注意

    PTP包装の薬剤はPTPシートから取り出して服用するよう指導すること。PTPシートの誤飲により、硬い鋭角部が食道粘膜へ刺入し、更には穿孔をおこして縦隔洞炎等の重篤な合併症を併発することがある。

    15. その他の注意

    15.1 臨床使用に基づく情報

    1. 15.1.1 スルホニル尿素系薬剤(トルブタミド1日1.5g)を長期間継続投与した場合、食事療法単独の場合と比較して心臓・血管系障害による死亡率が有意に高かったとの報告がある。
    2. 15.1.2 インスリン又は経口血糖降下剤の投与中にアンジオテンシン変換酵素阻害剤を投与することにより、低血糖が起こりやすいとの報告がある。

    16. 薬物動態

    16.1 血中濃度

    1. 16.1.1 単回投与
    (健康成人5例、40mg 1回経口投与)2)

    Tmax(h)

    Cmax(μg/mL)

    t1/2(h)

    4

    2.6

    8.6

    (糖尿病患者8例、40mg 1回経口投与)3)

    Tmax(h)

    Cmax(μg/mL)

    t1/2(h)

    2

    2.2±0.8

    12.3±3.1

    平均値±標準偏差

    1. 16.1.2 生物学的同等性試験
    • 〈グリクラジド錠20mg「サワイ」〉

      グリクラジド錠20mg「サワイ」とグリミクロン錠40mgを健康成人男子にそれぞれグリクラジドとして40mg空腹時単回経口投与(クロスオーバー法)し、血漿中グリクラジド濃度を測定した。得られた薬物動態パラメータ(AUC、Cmax)について統計解析を行った結果、両剤の生物学的同等性が確認された4)

    • 各製剤投与時の薬物動態パラメータ

      製剤投与量
      (グリクラジドとして)

      Cmax
      (μg/mL)

      Tmax
      (hr)

      T1/2
      (hr)

      AUC0-48hr
      (μg・hr/mL)

      グリクラジド錠20mg「サワイ」

      2錠
      (40mg)

      2.11±0.40

      2.5±1.1

      11.7±2.9

      31.59±8.84

      グリミクロン錠40mg

      1錠
      (40mg)

      2.09±0.36

      2.6±1.0

      11.7±3.2

      31.50±8.21

      (Mean±S.D.)

    • 〈グリクラジド錠40mg「サワイ」〉

      グリクラジド錠40mg「サワイ」とグリミクロン錠40mgを健康成人男子にそれぞれ1錠(グリクラジドとして40mg)空腹時単回経口投与(クロスオーバー法)し、血漿中グリクラジド濃度を測定した。得られた薬物動態パラメータ(AUC、Cmax)について統計解析を行った結果、両剤の生物学的同等性が確認された5)

    • 各製剤1錠投与時の薬物動態パラメータ

      Cmax
      (μg/mL)

      Tmax
      (hr)

      T1/2
      (hr)

      AUC0-36hr
      (μg・hr/mL)

      グリクラジド錠40mg「サワイ」

      2.04±0.37

      2.9±0.8

      11.9±2.6

      26.69±5.35

      グリミクロン錠40mg

      2.01±0.50

      2.6±0.8

      11.5±2.2

      27.38±5.03

      (Mean±S.D.)

    • 血漿中濃度ならびにAUC、Cmax等のパラメータは、被験者の選択、体液の採取回数・時間等の試験条件によって異なる可能性がある。

    16.3 分布

    1. 16.3.1 血漿蛋白結合率

      93.7%(糖尿病患者、60~120mg/日投与、限外ろ過法)6)

    16.4 代謝

    1. 16.4.1 主な代謝産物

      ヒドロキシメチル体(未変化体の約1/3の活性)、カルボキシル体(活性なし)6)

    2. 16.4.2 代謝経路

      グリクラジドは、トリル基のメチルが酸化を受け、ヒドロキシメチル体、カルボキシル体が生成する経路と、アザビシクロオクチル環の異なった位置に水酸基が導入される経路がある。また、アザビシクロオクチル環の水酸化体の一部分はグルクロン酸抱合される2)

    16.5 排泄

    1. 16.5.1 排泄経路

      主として尿中2)

    2. 16.5.2 排泄率

      投与後24時間までに投与量の45%、同じく96時間までに61%が尿中排泄された。排泄物は、いずれも代謝物で未変化体は検出されなかった2)(健康成人、40mg1回投与)。

    18. 薬効薬理

    18.1 作用機序

    グリクラジドはインスリンの分泌を促進することにより血糖降下作用をあらわす7),8)

    18.2 血糖降下作用

    効力は、ラット、ウサギ、イヌを用いた経口投与実験でトルブタミドの3~30倍である9)

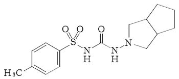
    19. 有効成分に関する理化学的知見

    一般的名称

    グリクラジド(Gliclazide)

    化学名

    1-(Hexahydrocyclopenta[c]pyrrol-2(1H)-yl)-3-[(4-methylphenyl)sulfonyl]urea

    分子式

    C15H21N3O3S

    分子量

    323.41

    性状

    白色の結晶性の粉末である。アセトニトリル又はメタノールにやや溶けにくく、エタノール(99.5)に溶けにくく、水にほとんど溶けない。

    化学構造式

    融点

    165~169℃

    22. 包装

    • 〈グリクラジド錠20mg「サワイ」〉

      PTP:100錠(10錠×10)

    • 〈グリクラジド錠40mg「サワイ」〉

      *PTP:100錠(10錠×10)

    24. 文献請求先及び問い合わせ先

    沢井製薬株式会社 医薬品情報センター

    〒532-0003 大阪市淀川区宮原5丁目2-30

    *TEL:0120-381-999 FAX:06-7708-8966

    26. 製造販売業者等

    26.1 製造販売元

    メディサ新薬株式会社

    大阪市淀川区宮原5丁目2-27

    26.2 発売元

    沢井製薬株式会社

    大阪市淀川区宮原5丁目2-30

    〒100-0013 東京都千代田区霞が関3-3-2 新霞が関ビル

    画面を閉じる

    Copyright © Pharmaceuticals and Medical Devices Agency, All Rights reserved.