医療用医薬品 詳細表示

ゼプリオン水懸筋注25mgシリンジ/ゼプリオン水懸筋注50mgシリンジ/ゼプリオン水懸筋注75mgシリンジ/ゼプリオン水懸筋注100mgシリンジ/ゼプリオン水懸筋注150mgシリンジ

処方せん医薬品

添付文書番号
企業コード
作成又は改訂年月
日本標準商品分類番号
薬効分類名
承認等
一般的名称
2.禁忌(次の患者には投与しないこと)
3.組成・性状
3.1組成
3.2製剤の性状
4.効能又は効果
6.用法及び用量
7.用法及び用量に関連する注意
8.重要な基本的注意
9.特定の背景を有する患者に関する注意
9.1合併症・既往歴等のある患者
9.2腎機能障害患者
9.3肝機能障害患者
9.5妊婦
9.6授乳婦
9.7小児等
9.8高齢者
10.相互作用
10.1併用禁忌(併用しないこと)
10.2併用注意(併用に注意すること)
11.副作用
11.1重大な副作用
11.2その他の副作用
13.過量投与
14.適用上の注意
15.その他の注意
15.1臨床使用に基づく情報
15.2非臨床試験に基づく情報
16.薬物動態
16.1血中濃度
16.3分布
16.4代謝
16.5排泄
16.6特定の背景を有する患者
16.7薬物相互作用
16.8その他
17.臨床成績
17.1有効性及び安全性に関する試験
18.薬効薬理
18.1作用機序
18.2薬理作用
19.有効成分に関する理化学的知見
22.包装
23.主要文献
24.文献請求先及び問い合わせ先
26.製造販売業者等

ゼプリオン水懸筋注25mgシリンジ/ゼプリオン水懸筋注50mgシリンジ/ゼプリオン水懸筋注75mgシリンジ/ゼプリオン水懸筋注100mgシリンジ/ゼプリオン水懸筋注150mgシリンジ

添付文書番号

1179409G1025_1_18

企業コード

800155

作成又は改訂年月

**2025年12月改訂(第6版)
2025年6月改訂

日本標準商品分類番号

871179

薬効分類名

持効性抗精神病剤

承認等

ゼプリオン水懸筋注25mgシリンジ

販売名コード

YJコード

1179409G1025

販売名英語表記

XEPLION Aqueous Suspension for IM Injection

販売名ひらがな

ぜぷりおんすいけんきんちゅう25mgしりんじ

承認番号等

承認番号

22500AMX01791000

販売開始年月

2013年11月

貯法・有効期間

貯法

室温保存

有効期間

24ヵ月

ゼプリオン水懸筋注50mgシリンジ

販売名コード

YJコード

1179409G2021

販売名英語表記

XEPLION Aqueous Suspension for IM Injection

販売名ひらがな

ぜぷりおんすいけんきんちゅう50mgしりんじ

承認番号等

承認番号

22500AMX01792000

販売開始年月

2013年11月

貯法・有効期間

貯法

室温保存

有効期間

24ヵ月

ゼプリオン水懸筋注75mgシリンジ

販売名コード

YJコード

1179409G3028

販売名英語表記

XEPLION Aqueous Suspension for IM Injection

販売名ひらがな

ぜぷりおんすいけんきんちゅう75mgしりんじ

承認番号等

承認番号

22500AMX01793000

販売開始年月

2013年11月

貯法・有効期間

貯法

室温保存

有効期間

24ヵ月

ゼプリオン水懸筋注100mgシリンジ

販売名コード

YJコード

1179409G4024

販売名英語表記

XEPLION Aqueous Suspension for IM Injection

販売名ひらがな

ぜぷりおんすいけんきんちゅう100mgしりんじ

承認番号等

承認番号

22500AMX01794000

販売開始年月

2013年11月

貯法・有効期間

貯法

室温保存

有効期間

24ヵ月

ゼプリオン水懸筋注150mgシリンジ

販売名コード

YJコード

1179409G5020

販売名英語表記

XEPLION Aqueous Suspension for IM Injection

販売名ひらがな

ぜぷりおんすいけんきんちゅう150mgしりんじ

承認番号等

承認番号

22500AMX01795000

販売開始年月

2013年11月

貯法・有効期間

貯法

室温保存

有効期間

24ヵ月

一般的名称

パリペリドンパルミチン酸エステル

2. 禁忌(次の患者には投与しないこと)

  1. 2.1 昏睡状態の患者[昏睡状態を悪化させるおそれがある。]
  2. 2.2 バルビツール酸誘導体等の中枢神経抑制剤の強い影響下にある患者[中枢神経抑制作用が増強されることがある。]
  3. 2.3 アドレナリン(アドレナリンをアナフィラキシーの救急治療、又は歯科領域における浸潤麻酔もしくは伝達麻酔に使用する場合を除く)、クロザピンを投与中の患者
  4. 2.4 本剤の成分、パリペリドン及びリスペリドンに対し過敏症の既往歴のある患者
  5. 2.5 中等度から重度の腎機能障害患者(クレアチニン・クリアランス50mL/分未満),

3. 組成・性状

3.1 組成

本剤は持効性の筋肉内注射用プレフィルドシリンジ製剤であり、それぞれ1シリンジ中下記に示す成分・分量を含有する。

ゼプリオン水懸筋注25mgシリンジ

有効成分パリペリドンパルミチン酸エステル
(パリペリドンとして)(mg)  39
(25)
薬液量(mL)  0.25
添加剤
(mg)
ポリソルベート20  3
マクロゴール4000NF  7.5
クエン酸水和物  1.25
無水リン酸一水素ナトリウム  1.25
リン酸二水素ナトリウム一水和物  0.625
水酸化ナトリウム  0.71

ゼプリオン水懸筋注50mgシリンジ

有効成分パリペリドンパルミチン酸エステル
(パリペリドンとして)(mg)  78
(50)
薬液量(mL)  0.5
添加剤
(mg)
ポリソルベート20  6
マクロゴール4000NF  15
クエン酸水和物  2.5
無水リン酸一水素ナトリウム  2.5
リン酸二水素ナトリウム一水和物  1.25
水酸化ナトリウム  1.42

ゼプリオン水懸筋注75mgシリンジ

有効成分パリペリドンパルミチン酸エステル
(パリペリドンとして)(mg)  117
(75)
薬液量(mL)  0.75
添加剤
(mg)
ポリソルベート20  9
マクロゴール4000NF  22.5
クエン酸水和物  3.75
無水リン酸一水素ナトリウム  3.75
リン酸二水素ナトリウム一水和物  1.875
水酸化ナトリウム  2.13

ゼプリオン水懸筋注100mgシリンジ

有効成分パリペリドンパルミチン酸エステル
(パリペリドンとして)(mg)  156
(100)
薬液量(mL)  1
添加剤
(mg)
ポリソルベート20  12
マクロゴール4000NF  30
クエン酸水和物  5
無水リン酸一水素ナトリウム  5
リン酸二水素ナトリウム一水和物  2.5
水酸化ナトリウム  2.84

ゼプリオン水懸筋注150mgシリンジ

有効成分パリペリドンパルミチン酸エステル
(パリペリドンとして)(mg)  234
(150)
薬液量(mL)  1.5
添加剤
(mg)
ポリソルベート20  18
マクロゴール4000NF  45
クエン酸水和物  7.5
無水リン酸一水素ナトリウム  7.5
リン酸二水素ナトリウム一水和物  3.75
水酸化ナトリウム  4.26

3.2 製剤の性状

ゼプリオン水懸筋注25mgシリンジ

pH6.5~7.5
浸透圧比約1(生理食塩液に対する比)
色・性状白色の懸濁液

ゼプリオン水懸筋注50mgシリンジ

pH6.5~7.5
浸透圧比約1(生理食塩液に対する比)
色・性状白色の懸濁液

ゼプリオン水懸筋注75mgシリンジ

pH6.5~7.5
浸透圧比約1(生理食塩液に対する比)
色・性状白色の懸濁液

ゼプリオン水懸筋注100mgシリンジ

pH6.5~7.5
浸透圧比約1(生理食塩液に対する比)
色・性状白色の懸濁液

ゼプリオン水懸筋注150mgシリンジ

pH6.5~7.5
浸透圧比約1(生理食塩液に対する比)
色・性状白色の懸濁液

4. 効能又は効果

統合失調症

6. 用法及び用量

通常、成人にはパリペリドンとして初回150mg、1週後に2回目100mgを三角筋内に投与する。その後は4週に1回、パリペリドンとして75mgを三角筋又は臀部筋内に投与する。
なお、患者の症状及び忍容性に応じて、パリペリドンとして25mgから150mgの範囲で適宜増減するが、増量は1回あたりパリペリドンとして50mgを超えないこと。

7. 用法及び用量に関連する注意

  1. 7.1 過去にパリペリドン又はリスペリドンでの治療経験がない場合には、まず、一定期間経口パリペリドン又は経口リスペリドン製剤を投与し、治療反応性及び忍容性があることを確認した後、経口パリペリドン又は経口リスペリドン製剤を併用せずに本剤の投与を開始すること。
  2. 7.2 軽度腎機能障害患者(クレアチニン・クリアランス50mL/分以上80mL/分未満)には、パリペリドンとして初回100mg、1週後に2回目75mgを三角筋内に投与する。その後は4週に1回、パリペリドンとして50mgを三角筋又は臀部筋内に投与する。なお、患者の症状及び忍容性に応じて、パリペリドンとして25mgから100mgの範囲で適宜増減するが、増量は1回あたりパリペリドンとして25mgを超えないこと。,,
  3. 7.3 他の持効性注射剤から本剤に切り替える場合は、薬剤の薬物動態を考慮して投与時期、投与量に十分注意し、患者の症状を十分に観察すること。
    本剤及びリスペリドンの主活性代謝物はパリペリドンであり、リスペリドン持効性懸濁注射液から本剤への切替えにあたっては、過量投与にならないよう、用法及び用量に注意すること。
    • 以下の投与方法で、リスペリドン持効性懸濁注射液投与時の定常状態と同程度の血漿中有効成分濃度が得られることが推定されている。
      • リスペリドン持効性懸濁注射液25mgを2週間隔で投与している患者には、最終投与の2週間後から本剤50mgを4週間隔で投与する。
      • リスペリドン持効性懸濁注射液50mgを2週間隔で投与している患者には、最終投与の2週間後から本剤100mgを4週間隔で投与する。
  4. 7.4 本剤を用法及び用量どおりに投与できず投与間隔が空いた場合には、再開にあたり、本剤の薬物動態を考慮して投与時期、投与量に十分注意し、患者の症状を十分に観察すること。,
  5. 7.5 本剤は持効性製剤であることから、投与中止後も患者の症状を慎重に観察し、副作用等の発現に十分に注意すること。,

8. 重要な基本的注意

  1. 8.1 持効性製剤は、精神症状の再発及び再燃の予防を目的とする製剤である。そのため、本剤は、急激な精神興奮等の治療や複数の抗精神病薬の併用を必要とするような不安定な患者には用いないこと。また、一度投与すると直ちに薬物を体外に排除する方法がないため、本剤を投与する場合は、予めその必要性について十分に検討し、副作用の予防、副作用発現時の処置、過量投与等について十分留意すること。,,
  2. 8.2 増量が必要な場合には、本剤が持効性製剤であることを考慮して、患者の症状を十分観察しながら慎重に増量すること。
  3. 8.3 症状の急激な悪化等により経口抗精神病薬等を併用する場合は、漫然と併用しないこと。
  4. 8.4 投与初期、再投与時、増量時にα交感神経遮断作用に基づく起立性低血圧があらわれることがあるので、低血圧があらわれた場合は減量等、適切な処置を行うこと。
  5. 8.5 眠気、注意力・集中力・反射運動能力等の低下が起こることがあるので、本剤投与中の患者には自動車の運転等危険を伴う機械の操作に従事させないよう注意すること。
  6. 8.6 興奮、誇大性、敵意等の陽性症状を悪化させる可能性があるので観察を十分に行い、悪化がみられた場合には他の治療法に切り替えるなど適切な処置を行うこと。
  7. 8.7 本剤の投与により、高血糖や糖尿病の悪化があらわれ、糖尿病性ケトアシドーシス、糖尿病性昏睡に至ることがあるので、本剤投与中は、口渇、多飲、多尿、頻尿等の症状の発現に注意するとともに、特に糖尿病又はその既往歴あるいはその危険因子を有する患者については、血糖値の測定等の観察を十分に行うこと。,,
  8. 8.8 低血糖があらわれることがあるので、本剤投与中は、脱力感、倦怠感、冷汗、振戦、傾眠、意識障害等の低血糖症状に注意するとともに、血糖値の測定等の観察を十分に行うこと。,
  9. 8.9 本剤の投与に際し、あらかじめ上記8.7及び8.8の副作用が発現する場合があることを、患者及びその家族に十分に説明し、高血糖症状(口渇、多飲、多尿、頻尿等)、低血糖症状(脱力感、倦怠感、冷汗、振戦、傾眠、意識障害等)に注意し、このような症状があらわれた場合には、医師の診察を受けるよう指導すること。,,,,

9. 特定の背景を有する患者に関する注意

9.1 合併症・既往歴等のある患者

  1. 9.1.1 心・血管系疾患、低血圧、又はそれらの疑いのある患者

    一過性の血圧降下があらわれることがある。

  2. 9.1.2 不整脈の既往歴のある患者、先天性QT延長症候群

    QTが延長する可能性がある。

  3. 9.1.3 パーキンソン病又はレビー小体型認知症のある患者

    悪性症候群が起こりやすくなる。また、錐体外路症状の悪化に加えて、錯乱、意識レベルの低下、転倒を伴う体位不安定等の症状が発現するおそれがある。

  4. 9.1.4 てんかん等の痙攣性疾患又はこれらの既往歴のある患者

    痙攣閾値を低下させるおそれがある。

  5. 9.1.5 自殺企図の既往及び自殺念慮を有する患者

    症状を悪化させるおそれがある。

  6. 9.1.6 糖尿病又はその既往歴のある患者、あるいは糖尿病の家族歴、高血糖、肥満等の糖尿病の危険因子を有する患者

    血糖値が上昇することがある。,,

  7. 9.1.7 脱水・栄養不良状態等を伴う身体的疲弊のある患者

    悪性症候群が起こりやすい。

  8. 9.1.8 不動状態、長期臥床、肥満、脱水状態等の患者

    抗精神病薬において、肺塞栓症、静脈血栓症等の血栓塞栓症が報告されている。

9.2 腎機能障害患者

  1. 9.2.1 中等度から重度の腎機能障害患者

    クレアチニン・クリアランス50mL/分未満の腎機能障害患者には投与しないこと。本剤の排泄が遅延し血中濃度が上昇するおそれがある。

  2. 9.2.2 軽度の腎機能障害患者

    本剤の排泄が遅延し血中濃度が上昇するおそれがある。,

9.3 肝機能障害患者

肝障害を悪化させるおそれがある。

9.5 妊婦

妊婦又は妊娠している可能性のある女性には、治療上の有益性が危険性を上回ると判断される場合にのみ投与すること。妊娠後期に抗精神病薬が投与されている場合、新生児に哺乳障害、傾眠、呼吸障害、振戦、筋緊張低下、易刺激性等の離脱症状や錐体外路症状があらわれたとの報告がある。

9.6 授乳婦

治療上の有益性及び母乳栄養の有益性を考慮し、授乳の継続又は中止を検討すること。ヒトで乳汁移行が認められている1)

9.7 小児等

小児等を対象とした臨床試験は実施していない。

9.8 高齢者

患者の状態を観察しながら慎重に投与すること。一般に高齢者では腎機能が低下している可能性がある。,

10. 相互作用

    10.1 併用禁忌(併用しないこと)

    薬剤名等臨床症状・措置方法機序・危険因子

    アドレナリン
    (アナフィラキシーの救急治療、又は歯科領域における浸潤麻酔もしくは伝達麻酔に使用する場合を除く)

    • ボスミン

    アドレナリンの作用を逆転させ、血圧降下を起こすことがある。

    アドレナリンはアドレナリン作動性α、β受容体の刺激剤であり、本剤のα受容体遮断作用によりβ受容体刺激作用が優位となり、血圧降下作用が増強される。

    クロザピン

    • クロザリル

    クロザピンは原則単剤で使用し、他の抗精神病薬とは併用しないこととされている。本剤は半減期が長いため、本剤が体内から消失するまでクロザピンを投与しないこと。

    本剤が血中から消失するまでに時間を要する。

    10.2 併用注意(併用に注意すること)

    薬剤名等臨床症状・措置方法機序・危険因子

    中枢神経抑制剤(バルビツール酸誘導体等)

    相互に作用を増強することがあるので、減量するなど慎重に投与すること。

    本剤及びこれらの薬剤の中枢神経抑制作用による。

    ドパミン作動薬

    相互に作用を減弱することがある。

    本剤はドパミン遮断作用を有していることから、ドパミン作動性神経において作用が拮抗する可能性がある。

    降圧薬

    降圧作用が増強することがある。

    本剤及びこれらの薬剤の降圧作用による。

    アルコール

    相互に作用を増強することがある。

    アルコールは中枢神経抑制作用を有する。

    カルバマゼピン2)

    本剤の血中濃度が低下することがある。

    本剤の排泄、代謝を促進し、吸収を低下させる可能性がある。

    QT延長を起こすことが知られている薬剤

    QT延長があらわれるおそれがある。

    QT延長作用が増強するおそれがある。

    アドレナリン含有歯科麻酔剤

    • リドカイン・アドレナリン

    血圧降下を起こすことがある。

    アドレナリンはアドレナリン作動性α、β受容体の刺激剤であり、本剤のα受容体遮断作用によりβ受容体刺激作用が優位となり、血圧降下作用が増強されるおそれがある。

    11. 副作用

    次の副作用があらわれることがあるので、観察を十分に行い、異常が認められた場合には投与を中止するなど適切な処置を行うこと。

    11.1 重大な副作用

    1. 11.1.1 悪性症候群(頻度不明)

      無動緘黙、強度の筋強剛、嚥下困難、頻脈、血圧の変動、発汗等が発現し、それに引き続き発熱がみられる場合は、投与を中止し、体冷却、水分補給等の全身管理とともに適切な処置を行うこと。本症発症時には、白血球の増加や血清CKの上昇がみられることが多く、また、ミオグロビン尿を伴う腎機能の低下がみられることがある。なお、高熱が持続し、意識障害、呼吸困難、循環虚脱、脱水症状、急性腎障害へと移行し、死亡することがある。,

    2. 11.1.2 遅発性ジスキネジア(頻度不明)

      長期投与により、口周部等の不随意運動があらわれ、投与中止後も持続することがある。

    3. 11.1.3 麻痺性イレウス(頻度不明)

      腸管麻痺(食欲不振、悪心・嘔吐、著しい便秘、腹部の膨満あるいは弛緩及び腸内容物のうっ滞等の症状)を来し、麻痺性イレウスに移行することがあるので、腸管麻痺があらわれた場合には、投与を中止するなど適切な処置を行うこと。なお、本剤は動物実験(イヌ)で制吐作用を有することから、悪心・嘔吐を不顕性化する可能性があるので注意すること。

    4. 11.1.4 抗利尿ホルモン不適合分泌症候群(SIADH)(頻度不明)

      低ナトリウム血症、低浸透圧血症、尿中ナトリウム排泄量の増加、高張尿、痙攣、意識障害等を伴う抗利尿ホルモン不適合分泌症候群(SIADH)があらわれることがある。

    5. 11.1.5 肝機能障害(1.8%)、黄疸(頻度不明)

      AST、ALT、γ–GTPの上昇等を伴う肝機能障害、黄疸があらわれることがある。

    6. 11.1.6 横紋筋融解症(頻度不明)

      筋肉痛、脱力感、CK上昇、血中及び尿中ミオグロビン上昇を特徴とする横紋筋融解症があらわれることがある。また、横紋筋融解症による急性腎障害の発症に注意すること。

    7. 11.1.7 不整脈

      不整脈(0.2%)、心房細動(0.2%)、心室性期外収縮(0.6%)等があらわれることがある。

    8. 11.1.8 脳血管障害(頻度不明)
    9. 11.1.9 高血糖(0.4%)、糖尿病性ケトアシドーシス、糖尿病性昏睡(頻度不明)

      高血糖や糖尿病の悪化があらわれ、糖尿病性ケトアシドーシス、糖尿病性昏睡に至ることがあるので、本剤投与中は、口渇、多飲、多尿、頻尿等の症状の発現に注意するとともに、血糖値の測定を行うなど十分な観察を行い、異常が認められた場合には、投与を中止し、インスリン製剤の投与等の適切な処置を行うこと。,,

    10. 11.1.10 低血糖(頻度不明)

      脱力感、倦怠感、冷汗、振戦、傾眠、意識障害等の低血糖症状が認められた場合には、投与を中止し適切な処置を行うこと。,

    11. 11.1.11 無顆粒球症、白血球減少(頻度不明)
    12. 11.1.12 肺塞栓症、深部静脈血栓症(頻度不明)

      肺塞栓症、静脈血栓症等の血栓塞栓症が報告されているので、息切れ、胸痛、四肢の疼痛、浮腫等が認められた場合には、投与を中止するなど適切な処置を行うこと。

    13. 11.1.13 持続勃起症(頻度不明)

      α交感神経遮断作用に基づく持続勃起症があらわれることがある。

    14. 11.1.14 アナフィラキシー(頻度不明)

      異常が認められた場合には投与を中止すること。なお、過去に経口パリペリドン又は経口リスペリドンで忍容性が確認されている場合でも、アナフィラキシーを起こした症例が報告されている。

    11.2 その他の副作用

    5%以上

    1~5%未満

    1%未満

    頻度不明

    感染症及び寄生虫症

    鼻咽頭炎

    気道感染、肺炎、咽頭炎、鼻炎、腟感染、皮膚真菌感染、白癬感染

    良性、悪性及び詳細不明の新生物

    脂肪腫

    血液及びリンパ系障害

    白血球数増加

    好酸球数増加、ヘモグロビン減少

    貧血、ヘマトクリット減少、脾腫、血小板数増加、好塩基球数増加、血中鉄減少、好中球百分率増加、好酸球百分率増加、リンパ球数増加

    免疫系障害

    過敏症

    季節性アレルギー

    内分泌障害

    高プロラクチン血症(27.6%)

    代謝及び栄養障害

    食欲減退、トリグリセリド増加

    多飲症、高脂血症、糖尿病、食欲亢進、血中ブドウ糖増加、血中コレステロール増加

    低ナトリウム血症、食欲不振、過食、電解質失調、高コレステロール血症、低蛋白血症、総蛋白減少、血中電解質異常、血中インスリン増加、インスリンCペプチド増加

    精神障害

    不眠症、精神症状

    不安、統合失調症の悪化

    攻撃性、幻聴、妄想、自殺念慮、激越、自殺既遂、抑うつ気分、幻覚、初期不眠症、被害妄想、落ち着きのなさ、身体妄想

    悪夢、睡眠障害、リビドー減退、セルフケア障害、自傷行動、自殺企図、睡眠時遊行症

    神経系障害

    アカシジア

    錐体外路障害、振戦、頭痛、ジストニー

    痙攣、パーキンソニズム、傾眠、浮動性めまい、体位性めまい、ジスキネジア、感覚鈍麻、鎮静、運動緩慢、構語障害、構音障害、頭部動揺

    失神、パーキンソン歩行、てんかん、健忘、精神的機能障害、末梢性ニューロパシー、筋緊張亢進、大発作痙攣、嗜眠、運動過多、後弓反張、会話障害(舌の麻痺等)

    眼障害

    眼球回転運動、霧視

    結膜炎、注視麻痺、眼部不快感、眼精疲労

    耳及び迷路障害

    回転性めまい

    耳痛、耳鳴、耳管障害

    心臓障害

    徐脈、上室性期外収縮、右脚ブロック、動悸、洞性頻脈、心電図QT延長

    洞性徐脈、頻脈、洞性不整脈、房室ブロック、心電図異常、左脚ブロック、心電図QT補正間隔延長、心拍数増加

    血管障害

    起立性低血圧、高血圧

    低血圧、虚血

    呼吸器、胸郭及び縦隔障害

    誤嚥、咳嗽、咽喉頭疼痛

    鼻閉、鼻出血、誤嚥性肺炎、間質性肺疾患

    胃腸障害

    便秘、悪心、下痢、流涎過多

    嘔吐、嚥下障害、腹部不快感、上腹部痛、口内乾燥、腹痛、胃炎、歯肉炎、歯痛

    鼓腸、舌腫脹、口唇炎、胃不快感、下腹部痛、逆流性食道炎、胃腸障害、胃潰瘍、痔核、腸管虚血、齲歯、口内炎、舌痛

    肝胆道系障害

    ALT増加、γ-GTP増加

    血中ビリルビン増加、ALP増加、AST増加、肝機能検査異常、LDH増加

    脂肪肝

    皮膚及び皮下組織障害

    発疹、そう痒症、湿疹、ざ瘡、紅色汗疹

    皮膚乾燥、脂漏性皮膚炎、血管浮腫、皮膚炎、顔面感覚鈍麻、皮膚剥脱、寝汗、逆むけ、全身性蕁麻疹

    筋骨格系及び結合組織障害

    筋固縮、筋骨格痛、四肢痛、背部痛、頚部痛、筋骨格硬直

    関節痛、筋痙縮、関節周囲炎、椎間板突出、筋痛、筋拘縮、斜頚

    腎及び尿路障害

    尿潜血

    排尿困難、神経因性膀胱、頻尿、尿失禁、尿閉、蛋白尿

    生殖系及び乳房障害

    不規則月経、無月経、乳汁漏出症、月経困難症、射精障害、性機能不全、勃起不全

    女性化乳房、乳房分泌、乳房痛、前立腺炎

    全身障害及び投与局所様態

    注射部位疼痛、注射部位硬結

    注射部位腫脹、注射部位紅斑、注射部位熱感

    注射部位そう痒感、倦怠感、疲労、注射部位炎症、発熱、胸部不快感、注射部位血腫、浮腫

    口渇、無力症、体温低下、体温上昇、薬剤離脱症候群、低体温、易刺激性、不快感、末梢性浮腫

    臨床検査

    体重増加、体重減少

    CK増加、血圧低下、血圧上昇、尿糖陽性、グリコヘモグロビン増加

    血中尿酸増加、血中尿素減少、血中クレアチニン増加、尿中ウロビリン陽性

    傷害、中毒及び処置合併症

    転倒

    13. 過量投与

    1. 13.1 徴候、症状

      過量投与により起こる可能性がある徴候、症状は、本剤の作用が過剰に発現したものであり、傾眠、鎮静、頻脈、低血圧、QT延長、錐体外路症状等である。また、経口パリペリドンの過量投与でトルサード・ド・ポアン、心室細動の報告もある。

    2. 13.2 処置

      処置に際しては、本剤が持効性製剤であることを考慮し、患者が回復するまで十分観察すること。

    14. 適用上の注意

    14.1 薬剤調製時の注意

    1. 14.1.1 本剤の使用にあたっては、取扱い方法を熟読すること。
    2. 14.1.2 他の注射液と混合又は希釈して使用しないこと。投与直前に十分振盪し、確実に懸濁させること。

    14.2 薬剤投与時の注意

    1. 14.2.1 本剤投与の際には、以下の表に従った注射針を用いること。[適切な血中濃度が得られないおそれがある。]

      三角筋内へ投与時

      体重90kg未満の場合:23G、針の長さ1インチ(25mm)
      体重90kg以上の場合:22G、針の長さ1½インチ(38mm)

      臀部筋内へ投与時

      22G、針の長さ1½インチ(38mm)

    2. 14.2.2 本剤は三角筋又は臀部筋内のみに投与し、他の筋肉内、皮下に投与しないこと。また、静脈内には絶対に投与しないこと。
    3. 14.2.3 注射部位は毎回左右交互とし、同一部位への反復注射は行わないこと。
    4. 14.2.4 選択した三角筋又は臀部筋内に深く垂直に刺入し、シリンジ内の全量をゆっくり投与すること。
    5. 14.2.5 注射部位をもまないように患者に指示すること。
    6. 14.2.6 注射部位に疼痛、硬結をみることがある。

    15. その他の注意

    15.1 臨床使用に基づく情報

    1. 15.1.1 本剤による治療中、原因不明の突然死が報告されている。
    2. 15.1.2 外国で実施された高齢認知症患者を対象とした17の臨床試験において、類薬の非定型抗精神病薬投与群はプラセボ投与群と比較して死亡率が1.6~1.7倍高かったとの報告がある。なお、本剤との関連性については検討されておらず、明確ではない。また、外国での疫学調査において、定型抗精神病薬も非定型抗精神病薬と同様に死亡率の上昇に関与するとの報告がある。
    3. 15.1.3 α1アドレナリン拮抗作用のある薬剤を投与された患者において、白内障手術中に術中虹彩緊張低下症候群が報告されている。術中・術後に、眼合併症を生じる可能性があるので、術前に眼科医に本剤投与歴について伝えるよう指導すること。

    15.2 非臨床試験に基づく情報

    1. 15.2.1 動物試験(イヌ)で制吐作用を有することが報告されていることから、他の薬剤に基づく中毒、腸閉塞、脳腫瘍等による嘔吐症状を不顕性化する可能性がある。
    2. 15.2.2 本剤を10、30及び60mg/kg/月で1ヵ月に1回、ラットに24ヵ月間筋肉内投与したがん原性試験において、雌では10mg/kg/月以上で、雄では30mg/kg/月以上で乳腺腫瘍の発生頻度の上昇が報告されている。また、パリペリドンはリスペリドンの主活性代謝物であり、リスペリドンを0.63、2.5及び10mg/kg/日でマウスに18ヵ月間、ラットに25ヵ月間経口投与したがん原性試験において、0.63mg/kg/日以上で乳腺腫瘍(マウス、ラット)、2.5mg/kg/日以上で下垂体腫瘍(マウス)及び膵臓内分泌部腫瘍(ラット)の発生頻度の上昇が報告されている。これらの所見は、プロラクチンに関連した変化として、げっ歯類ではよく知られている。3),4)

    16. 薬物動態

    16.1 血中濃度

    筋肉内投与されたパリペリドンパルミチン酸エステルは、投与部位で溶解し、活性本体のパリペリドンに加水分解された後、パリペリドンとして全身循環に移行し、組織へ分布する。なお、統合失調症患者に本剤を単回及び反復筋肉内投与したときのパリペリドンパルミチン酸エステルの血漿中濃度はほとんどの採血時点で定量下限未満であった。,

    1. 16.1.1 単回投与

      統合失調症患者に本剤をパリペリドンとして25、50及び150mg臀部筋内に単回投与したときの血漿中パリペリドン濃度は緩やかに上昇し、投与11~18日後にCmaxに達した後、緩やかに低下し、最終測定時の投与後126日においても定量可能であった5)

      統合失調症患者の臀部筋内に単回投与したときの血漿中パリペリドン濃度推移(平均値+S.D.)
      統合失調症患者の臀部筋内に単回投与したときの血漿中パリペリドンの薬物動態パラメータ(平均値±S.D.)

      投与量

      Cmax(ng/mL)

      tmaxa)(day)

      AUC(ng·h/mL)

      t1/2(day)

      25mg
      (n=8)

      3.68±2.26

      16.0
      (4.0-25.0)

      5713±2829

      47.2±46.8

      50mg
      (n=8)

      7.94±6.64

      11.0
      (4.0-42.2)

      9198±4764

      44.7±21.6

      150mg (n=9)

      17.2±9.95

      18.0
      (4.0-28.0)

      20861±9960

      49.7±22.6

      a):中央値(範囲)

      統合失調症患者に本剤をパリペリドンとして25~150mg三角筋内に単回投与したときの血漿中パリペリドンのCmaxは、臀部筋内投与時と比し、平均で28%高値であった。AUCは用量に比例して増加したが、75mg以上でCmaxの増加は用量比より低かった。t1/2は25~49日の範囲であった(外国人データ)。6)

      統合失調症患者の三角筋又は臀部筋内に単回投与したときの血漿中パリペリドンの薬物動態パラメータ(平均値±S.D.)

      投与量

      Cmax(ng/mL)

      tmaxa)(day)

      AUC(ng·h/mL)

      t1/2(day)

      三角筋内投与

      25mg
      (n=22)

      5.88±2.31

      13.0
      (4.0-35.0)

      6074±1942b)

      25.5±10.2b)

      50mg
      (n=23)

      10.4±6.23

      13.0
      (4.0-48.0)

      11800±4579c)

      33.3±16.6c)

      100mg
      (n=22)

      13.4±7.82

      12.5
      (4.0-56.0)

      20069±7778d)

      45.7±16.1d)

      150mg (n=21)

      29.2±11.8

      14.0
      (4.1-48.0)

      36883±11095c)

      38.0±10.6c)

      臀部筋内投与

      25mg
      (n=21)

      4.89±2.10

      16.0
      (4.0-55.2)

      5308±1850e)

      27.1±15.1e)

      50mg
      (n=24)

      7.82±3.28

      13.4
      (6.0-41.0)

      10556±2039e)

      34.1±14.3e)

      100mg
      (n=25)

      12.6±7.04

      14.1
      (6.0-62.0)

      19674±8478c)

      40.6±10.4c)

      150mg (n=24)

      17.9±9.52

      17.0
      (4.0-75.9)

      30415±9287d)

      47.5±19.8d)

      a):中央値(範囲),b):n=20,c):n=18,d):n=16,e):n=19

    2. 16.1.2 反復投与

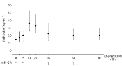
      統合失調症患者に本剤をパリペリドンとして初回150mg、1週後に2回目100mgを三角筋内投与し、その後、4週間隔で75mgを2回三角筋又は臀部筋内に投与したとき、2回目以降のトラフ値及び最終投与後4週で血漿中パリペリドン濃度は同程度であった7)

      統合失調症患者に初回150mg、1週後に2回目100mgを三角筋内投与し、その後、4週間隔で75mgを2回三角筋又は臀部筋内に投与したときの血漿中パリペリドン濃度(中央値±四分位範囲)

      注)本剤投与間隔における血漿中パリペリドン濃度を頻回測定しなかったことから、時点表記のみとした。

    16.3 分布

    ヒト血漿蛋白結合率:パリペリドン73.2%(in vitro、平衡透析法、50~250ng/mL)8)

    16.4 代謝

    パリペリドンパルミチン酸エステル:主にセリンエステラーゼにより、パリペリドンに加水分解される9)
    パリペリドン:ヒト肝試料を用いたin vitro試験成績より、肝での代謝は低いと推定された10)
    代謝酵素(チトクロームP450)の分子種:CYP3A4及びCYP2D6でわずかに代謝される11)

    16.5 排泄

    健康成人に14C-パリペリドン1mg経口液剤を単回投与したとき、投与後7日までに投与放射能の約80%が尿中に、約11%が糞便中に排泄された。また、尿中に排泄された未変化体は投与量の約59%であった(外国人データ、経口パリペリドン製剤での成績)。12)

    16.6 特定の背景を有する患者

    1. 16.6.1 腎機能障害による影響

      1795例の外国人統合失調症患者の成績を対象として母集団薬物動態解析を実施し、構築された血漿中パリペリドン濃度推移に関するモデルにおいて、CL/Fの共変量としてクレアチニンクリアランス(CLcr)が同定された。軽度腎機能障害患者(CLcr:50mL/分以上80mL/分未満)では正常腎機能患者(CLcr:80mL/分以上)と比較してCL/Fが16%低下し、AUCτが19%増加すると推定されたことから、軽度腎機能障害患者では用量調節の必要性が示唆された。(外国人データ),,

    2. 16.6.2 外国人におけるパリペリドン徐放錠の成績

      種々の程度の腎機能障害患者にパリペリドン徐放錠3mgを単回経口投与したとき、腎機能の低下に伴い、健康成人と比較してCL/Fに軽度障害で32%、中等度障害で64%、重度障害で71%の低下が認められた13)

    3. 16.6.3 肝機能障害による影響(外国人における経口パリペリドン製剤の成績)

      中等度肝機能障害患者(Child-Pughスコア7~9)にパリペリドン1mg(液剤)を単回経口投与したとき、肝機能の低下に伴い、健康成人と比較してCmax及びAUCはそれぞれ35%及び27%低下したが、非結合型濃度は同程度であった。なお、重度の肝機能障害患者における検討はなされていない。14)

    4. 16.6.4 高齢者における薬物動態(外国人におけるパリペリドン徐放錠の成績)

      健康成人及び健康高齢者を対象に、パリペリドン徐放錠3mgを単回経口投与及び1日1回7日間反復経口投与したとき、健康成人と比較して、健康高齢者ではCmax及びAUCがそれぞれ9~20%及び24~34%増加した15)

    16.7 薬物相互作用

    1. 16.7.1 カルバマゼピン

      統合失調症又は双極Ⅰ型障害患者64例にCYP3A4及びP糖蛋白誘導作用を有するカルバマゼピン(400mg/日反復投与)とパリペリドン徐放錠(6mg/日反復投与)を21日間併用したとき、パリペリドンのCmax,ss及びAUCτはそれぞれ37.5%及び36.6%減少した2)(外国人データ 、 パリペリドン徐放錠での成績)。

    2. 16.7.2 パロキセチン

      健康成人男性60例にCYP2D6阻害作用を有するパロキセチン(20mg/日反復投与)とパリペリドン徐放錠(3mg単回投与)を併用したとき、パリペリドンのAUCは16.48%増加した16)(外国人データ 、 パリペリドン徐放錠での成績)。

    3. 16.7.3 トリメトプリム

      健康成人男性30例に有機カチオントランスポーター阻害作用を有するトリメトプリム(400mg/日反復投与)とパリペリドン徐放錠(6mg単回投与)を併用したとき、それぞれの薬剤の薬物動態に併用の影響は認められなかった17)(外国人データ 、 パリペリドン徐放錠での成績)。

    16.8 その他

    1. 16.8.1 母集団薬物動態解析結果に基づくリスペリドン持効性懸濁注射液投与時との曝露量の比較

      1795例の外国人統合失調症患者の成績を対象として母集団薬物動態解析を実施し、構築されたモデルを用いて、リスペリドン持効性懸濁注射液を使用している患者に本剤を投与したときの血漿中有効成分濃度注)推移について検討した。
      リスペリドン持効性懸濁注射液25又は50mgを反復投与している統合失調症患者に、最終投与の2週間後から、本剤をパリペリドンとして50又は100mg、4週間隔で反復投与したとき、血漿中有効成分濃度注)は同程度に維持されると推定された。
      なお、リスペリドン持効性懸濁注射液から本剤に切り替えた場合の有効性及び安全性は確認されていない。

      リスペリドン持効性懸濁注射液50mgを反復投与している統合失調症患者に、最終投与の2週間後から、本剤をパリペリドンとして100mg、4週間隔で反復投与したときの血漿中有効成分濃度注)推移の推定値

      (線:中央値、網掛け:90%予測区間)
      注)血漿中有効成分濃度は、リスペリドン持効性懸濁注射液投与時はリスペリドン及びパリペリドンの血漿中濃度の合算、本剤投与時は血漿中パリペリドン濃度である。

    2. 16.8.2 母集団薬物動態解析結果に基づく、投与間隔が空いた場合の投与再開に関する探索的検討

      1795例の外国人統合失調症患者の成績を対象として母集団薬物動態解析を実施し、構築された血漿中パリペリドン濃度推移に関するモデルを用いて、本剤の投与間隔が空いた場合の投与再開について探索的な検討を行った。
      なお、以下に記載された投与方法で本剤を投与した場合の有効性及び安全性は確認されていない。

      1. (1) 初回投与後、2回目投与までの投与間隔が空いた場合の投与再開についてのシミュレーション

        本剤をパリペリドンとして初回150mg投与後、その1週後に2回目100mgの投与ができず、投与間隔が空いた後に投与したときの血漿中パリペリドン濃度をシミュレーションした。

        • ①初回投与後、4週未満(本シミュレーションでは3週)に2回目パリペリドンとして100mgを投与し、5週に3回目75mgを投与したとき、2回目の投与時期に関係なく、4回目投与までに75mg反復投与時の定常状態と同程度の血漿中パリペリドン濃度が得られると推定された。
          本剤をパリペリドンとして150mgを初回/Day1に三角筋内投与し、初回投与後3週に2回目100mg、5週に3回目75mgを投与し、その後4週間隔で75mgを投与したときの推定血漿中パリペリドン濃度

          (線:中央値、網掛け:90%予測区間、破線:75mgを反復筋肉内投与したときの定常状態におけるCmaxの90%予測区間の上限及び定常状態におけるCminの90%予測区間の下限)

        • ②初回投与後、4~7週(本シミュレーションでは5週)に2回目パリペリドンとして100mgを、その1週後に3回目100mgを投与したとき、4回目投与までに75mg反復投与時の定常状態と同程度の血漿中パリペリドン濃度が得られると推定された。
          本剤をパリペリドンとして150mgを初回/Day1に三角筋内投与し、初回投与後5週に2回目100mg、その1週後に100mgを投与し、その後4週間隔で75mgを投与したときの推定血漿中パリペリドン濃度

          (線:中央値、網掛け:90%予測区間、破線:75mgを反復筋肉内投与したときの定常状態におけるCmaxの90%予測区間の上限及び定常状態におけるCminの90%予測区間の下限)

        • ③本剤をパリペリドンとして初回150mg投与後、7週時の推定血漿中パリペリドン濃度の中央値は7.5ng/mL未満であった。また、初回投与後、7週を超えて(本シミュレーションでは7週)2回目パリペリドンとして150mgを投与し、その1週後に3回目100mgを投与したとき、4回目投与までに75mg反復投与時の定常状態と同程度の血漿中パリペリドン濃度が得られると推定された。
          本剤をパリペリドンとして150mgを初回/Day1に三角筋内投与し、初回投与後7週に2回目150mg、その1週後に100mgを投与し、その後4週間隔で75mgを投与したときの推定血漿中パリペリドン濃度

          (線:中央値、網掛け:90%予測区間、破線:75mgを反復筋肉内投与したときの定常状態におけるCmaxの90%予測区間の上限及び定常状態におけるCminの90%予測区間の下限)

      2. (2) 定常状態到達後に投与間隔が空いた場合の投与再開についてのシミュレーション

        本剤を反復投与し血漿中パリペリドン濃度が定常状態に達しているときに、投与間隔が空いた後に投与した場合の血漿中パリペリドン濃度をシミュレーションした。

        • ①定常状態到達後に投与間隔が4週を超えて6週以下空いた後(本シミュレーションでは6週)に、4週間隔で投与したとき、血漿中パリペリドン濃度は、数週の間、若干低値に推移した後、定常状態と同程度に到達すると推定された。
          本剤をパリペリドンとして75mg反復投与時の定常状態において、0週に投与した後、投与間隔が6週空いた場合に、同用量75mgを投与し、以降4週間隔で反復投与したときの推定血漿中パリペリドン濃度

          (線:中央値、網掛け:90%予測区間)

        • ②定常状態到達後に投与間隔が6週を超えて6ヵ月以下空いた後(本シミュレーションでは7週)に同用量(ただし、150mgの場合は100mg)を1週間隔で2回投与したとき、4週後の次回投与までに定常状態と同程度の血漿中パリペリドン濃度が得られると推定された。
          本剤をパリペリドンとして75mg反復投与時の定常状態において、0週に投与した後、投与間隔が7週空いた場合に、同用量75mgを投与し、その1週後(8週)に同用量75mgを投与、以降4週間隔で反復投与したときの推定血漿中パリペリドン濃度

          (線:中央値、網掛け:90%予測区間)

          本剤をパリペリドンとして150mg反復投与時の定常状態において、0週に投与した後、投与間隔が7週空いた場合に、パリペリドンとして100mgを投与し、その1週後(8週)に100mgを投与、以降4週間隔で150mgを反復投与したときの推定血漿中パリペリドン濃度

          (線:中央値、網掛け:90%予測区間)

    17. 臨床成績

    17.1 有効性及び安全性に関する試験

    1. 17.1.1 国際共同第Ⅲ相試験

      急性期症状を有する統合失調症患者(PANSS総スコアが60以上120以下)を対象としたプラセボ対照二重盲検比較試験において、本剤をパリペリドンとして初回150mg、1週後に2回目100mgを三角筋内に投与し、その後5週後及び9週後にパリペリドンとして75mgを三角筋又は臀部筋内に投与し、13週後までのPANSS総スコアについて評価したとき、最終評価時(LOCF)におけるPANSS総スコアのベースラインからの変化量の平均値±標準偏差は、本剤群-3.1±20.32、プラセボ群6.9±19.13で、群間差は-9.7であり、統計学的な有意差が認められた18)(p<0.0001、共分散分析)。

      最終評価時のPANSS総スコアのベースラインからの変化量
      (FAS,LOCF)

      投与群

      例数

      PANSS総スコア

      変化量

      ベースライン

      最終評価時

      ベースラインからの
      変化量

      プラセボ群との比較a)

      最小二乗平均値の群間差
      [95%信頼区間]

      P値

      プラセボ群

      164

      83.5±15.18

      90.3±22.35

      6.9±19.13

      本剤群

      159

      85.7±14.57

      82.4±23.52

      -3.1±20.32

      -9.7
      [-14.0,-5.4]

      <0.0001

      平均値±標準偏差
      a)投与群及び実施国を因子、ベースラインのPANSS総スコアを共変量とした共分散分析

      PANSS総スコアの平均変化量の経時推移[FAS-LOCF]

      安全性評価対象例159例中103例(64.8%)に副作用が認められた。その主なものは、注射部位疼痛19例(11.9%)、錐体外路障害14例(8.8%)、不眠症17例(10.7%)、精神症状10例(6.3%)、アカシジア8例(5.0%)であった。

    2. 17.1.2 国内第Ⅲ相試験(長期投与試験)

      急性期症状を有する統合失調症患者(PANSS総スコアが60以上120以下)を対象とした長期投与試験において、本剤をパリペリドンとして初回150mg、1週後に2回目100mgを三角筋内に投与し、その後は4週に1回、パリペリドンとして25、50、75、100又は150mgを可変用量で三角筋又は臀部筋内に投与したとき、各評価時(OC)におけるPANSS総スコアのベースラインからの変化量の平均値±標準偏差は、投与5週-2.0±10.52、25週-7.1±12.41、投与49週-10.7±12.37であり、改善効果が持続した19)

      PANSS総スコアのべースラインからの変化量(FAS,OC)

      評価時期

      例数

      PANSS総スコア

      変化量

      ベースライン

      198

      81.1±13.89

      5週

      196

      79.1±15.51

      -2.0±10.52

      13週

      157

      76.4±15.72

      -5.5±11.95

      25週

      139

      74.8±15.52

      -7.1±12.41

      37週

      126

      74.3±15.51

      -8.2±13.19

      49週

      120

      72.4±15.54

      -10.7±12.37

      平均値±標準偏差

      安全性評価対象例201例中140例(69.7%)に副作用が認められた。その主なものは、高プロラクチン血症63例(31.3%)、注射部位疼痛29例(14.4%)、注射部位硬結24例(11.9%)、アカシジア15例(7.5%)、体重増加14例(7.0%)であった。

    18. 薬効薬理

    18.1 作用機序

    主としてドパミンD2受容体拮抗作用及びセロトニン5-HT2A受容体拮抗作用に基づく、中枢神経系の調節によるものと考えられる。

    18.2 薬理作用

    パリペリドンパルミチン酸エステルは、活性本体のパリペリドンに加水分解されて薬効を示す。

    1. 18.2.1 抗ドパミン作用

      ドパミンD2受容体拮抗作用を有し、ラットでアポモルヒネ又はアンフェタミンにより誘発される興奮や常同行動等の行動変化を用量依存的に抑制した20),21)

    2. 18.2.2 抗セロトニン作用

      セロトニン5-HT2A受容体拮抗作用を有し、ラットでトリプタミン又はメスカリンにより誘発される振戦や首振り運動等の行動変化を抑制した20),22),23)

    3. 18.2.3 カタレプシー惹起作用

      ラットでのカタレプシー惹起作用は、リスペリドンと同等であった。また、ラットの中脳辺縁系(側坐核)でのドパミンD2受容体に対する占有率は、錐体外路症状との関連が深いとされている線条体での占有率より高い。しかしハロペリドールでは側坐核と線条体で同程度であった。なお、セロトニン5-HT2A受容体拮抗作用が線条体におけるドパミン伝達の遮断を緩和している可能性がある。21),24)

    19. 有効成分に関する理化学的知見

    一般的名称

    パリペリドンパルミチン酸エステル(Paliperidone Palmitate)

    化学名

    (9RS)-3-{2-[4-(6-Fluoro-1,2-benzoisoxazol-3-yl)piperidin-1-yl]ethyl}-2-methyl-4-oxo-6,7,8,9-tetrahydro-4H-pyrido[1,2-a]pyrimidin-9-yl palmitate

    分子式

    C39H57FN4O4

    分子量

    664.89

    性状

    白色の粉末

    化学構造式

    分配係数

    logP>5(疎水性フラグメント定数より算出)

    溶解性
    (20℃)

    ジクロロメタン 330mg/mL
    酢酸エチル 2.8mg/mL
    メタノール 0.35mg/mL
    水<0.01mg/mL

    22. 包装

    • 〈ゼプリオン水懸筋注25mgシリンジ〉

      0.25mL[1シリンジ]

    • 〈ゼプリオン水懸筋注50mgシリンジ〉

      0.5mL[1シリンジ]

    • 〈ゼプリオン水懸筋注75mgシリンジ〉

      0.75mL[1シリンジ]

    • 〈ゼプリオン水懸筋注100mgシリンジ〉

      1mL[1シリンジ]

    • 〈ゼプリオン水懸筋注150mgシリンジ〉

      1.5mL[1シリンジ]

    23. 主要文献

    1) Hill RC, et al.:J Clin Psychopharmacol. 2000; 20: 285-286

    2) 社内資料:パリペリドン徐放錠とカルバマゼピンの相互作用の検討

    3) 社内資料:リスペリドンのがん原性試験

    4) 社内資料:リスペリドンのがん原性試験

    5) 社内資料:パリペリドンパルミチン酸エステルの薬物動態の検討(2013年9月20日承認、CTD 2.7.2.2.2, 2.7.2.3.1.1)

    6) 社内資料:パリペリドンパルミチン酸エステルの外国人における薬物動態の検討(2013年9月20日承認、CTD 2.7.2.2.3, 2.7.2.3.1.1)

    7) 社内資料:パリペリドンパルミチン酸エステルの薬物動態の検討(2013年9月20日承認、CTD 2.7.2.2.2, 2.7.2.3.2)

    8) 社内資料:パリペリドンの蛋白結合率の検討

    9) 社内資料:パリペリドンパルミチン酸エステルの代謝の検討

    10) 社内資料:パリペリドンの代謝の検討(2013年9月20日承認、CTD 2.6.4.9.3)

    11) 社内資料:パリペリドンの代謝酵素の検討

    12) 社内資料:パリペリドンの代謝及び排泄の検討(2013年9月20日承認、CTD 2.7.2.3.1.3)

    13) 社内資料:腎機能障害被験者におけるパリペリドン徐放錠の薬物動態の検討

    14) Boom S, et al.:Int J Clin Pharmacol Ther. 2009; 47: 606-616

    15) 社内資料:高齢者におけるパリペリドン徐放錠の薬物動態の検討

    16) 社内資料:パリペリドン徐放錠とパロキセチンの相互作用の検討

    17) 社内資料:パリペリドン徐放錠とトリメトプリムの相互作用の検討

    18) 社内資料:パリペリドンパルミチン酸エステルの国際共同試験成績(2013年9月20日承認、CTD 2.7.6.13)

    19) 社内資料:パリペリドンパルミチン酸エステルの国内長期投与試験成績(2013年9月20日承認、CTD 2.7.6.4.24)

    20) 社内資料:パリペリドンの抗ドパミン作用及び抗セロトニン作用

    21) 社内資料:パリペリドンの抗ドパミン作用及びカタレプシー惹起作用

    22) 社内資料:パリペリドンの抗セロトニン作用

    23) Megens AAHP, et al.:Drug development research. 1994; 33: 399-412

    24) Leysen JE, et al.:J Clin Psychiatry. 1994; 55(suppl. 5): 5-12

    24. 文献請求先及び問い合わせ先

    *住友ファーマ株式会社

    〒541-0045 大阪市中央区道修町2-6-8

    くすり情報センター
    TEL 0120-034-389

    26. 製造販売業者等

    26.1 製造販売元(輸入)

    ヤンセンファーマ株式会社

    〒101-0065 東京都千代田区西神田3-5-2

    26.2 **,*発売元

    住友ファーマ株式会社

    〒541-0045 大阪市中央区道修町2-6-8

    〒100-0013 東京都千代田区霞が関3-3-2 新霞が関ビル

    画面を閉じる

    Copyright © Pharmaceuticals and Medical Devices Agency, All Rights reserved.