医療用医薬品 詳細表示

サチュロ錠100mg

処方せん医薬品

添付文書番号
企業コード
作成又は改訂年月
日本標準商品分類番号
薬効分類名
承認等
一般的名称
1.警告
2.禁忌(次の患者には投与しないこと)
3.組成・性状
3.1組成
3.2製剤の性状
4.効能又は効果
6.用法及び用量
7.用法及び用量に関連する注意
8.重要な基本的注意
9.特定の背景を有する患者に関する注意
9.1合併症・既往歴等のある患者
9.5妊婦
9.6授乳婦
9.7小児等
9.8高齢者
10.相互作用
10.2併用注意(併用に注意すること)
11.副作用
11.1重大な副作用
11.2その他の副作用
13.過量投与
14.適用上の注意
15.その他の注意
15.1臨床使用に基づく情報
15.2非臨床試験に基づく情報
16.薬物動態
16.1血中濃度
16.2吸収
16.3分布
16.4代謝
16.5排泄
16.6特定の背景を有する患者
16.7薬物相互作用
17.臨床成績
17.1有効性及び安全性に関する試験
17.3その他
18.薬効薬理
18.1作用機序
18.2抗菌作用
18.3耐性機序
19.有効成分に関する理化学的知見
20.取扱い上の注意
21.承認条件
22.包装
23.主要文献
24.文献請求先及び問い合わせ先
26.製造販売業者等

サチュロ錠100mg

添付文書番号

6222007F1023_1_03

企業コード

800155

作成又は改訂年月

2023年3月改訂(第1版)

日本標準商品分類番号

876222

薬効分類名

結核化学療法剤

承認等

サチュロ錠100mg

販売名コード

YJコード

6222007F1023

販売名英語表記

SIRTURO Tablets

販売名ひらがな

さちゅろじょう100mg

承認番号等

承認番号

23000AMX00020000

販売開始年月

2018年5月

貯法・有効期間

貯法

室温保存

有効期間

24ヵ月

一般的名称

ベダキリンフマル酸塩

1. 警告

  1. 1.1 本剤に対する耐性菌発現を防ぐため、結核症の治療に十分な知識と経験を持つ医師又はその指導のもとで投与し、適正使用に努めること。本剤の投与は、製造販売業者が行うRAP(Responsible Access Program)に登録された医師・薬剤師のいる登録医療機関・薬局において、登録患者に対して行うこと。
  2. 1.2 本剤の投与によりQT延長があらわれるおそれがあるので、投与開始前及び投与中は定期的に心電図検査等を行い、リスクとベネフィットを考慮して本剤の投与を慎重に判断すること。,,,

2. 禁忌(次の患者には投与しないこと)

本剤の成分に対し過敏症の既往歴のある患者

3. 組成・性状

3.1 組成

サチュロ錠100mg

有効成分(1錠中)
ベダキリンフマル酸塩   120.89mg
(ベダキリンとして   100mg )
添加剤乳糖水和物、結晶セルロース、トウモロコシデンプン、クロスカルメロースナトリウム、ヒプロメロース、ステアリン酸マグネシウム、軽質無水ケイ酸、ポリソルベート20

3.2 製剤の性状

サチュロ錠100mg

外形表面
裏面
側面
大きさ直径(mm)11.0
厚さ(mm)4.1
重量(mg)460
識別コードT207
色・剤形白色の素錠

4. 効能又は効果

[適応菌種]
本剤に感性の結核菌
[適応症]
多剤耐性肺結核

6. 用法及び用量

通常、成人には投与開始から2週間はベダキリンとして1日1回400mgを食直後に経口投与する。その後、3週以降は、ベダキリンとして1回200mgを週3回、48時間以上の間隔をあけて食直後に経口投与する。投与に際しては、必ず他の抗結核薬と併用すること。

7. 用法及び用量に関連する注意

  1. 7.1 本剤の使用にあたっては、耐性菌の発現を防ぐため、原則として他の抗結核薬及び本剤に対する感受性(耐性)を確認し、感受性を有する既存の抗結核薬3剤以上に本剤を上乗せして併用すること。
  2. 7.2 本剤の投与期間は原則として6ヵ月であり、この期間を超えて使用する場合、リスクとベネフィットを考慮して投与の継続を慎重に判断すること。

8. 重要な基本的注意

  1. 8.1 本剤の投与によりQT延長があらわれるおそれがあるので、本剤投与開始前及び本剤投与中は定期的に心電図及び電解質の検査を行うこと。,,,
  2. 8.2 肝機能障害があらわれることがあるので、本剤投与中は定期的に肝機能検査を行うこと。
  3. 8.3 *本剤を含む抗結核薬による治療で、薬剤逆説反応を認めることがある。治療開始後に、既存の結核の悪化又は結核症状の新規発現を認めた場合は、薬剤感受性試験等に基づき投与継続の可否を判断すること。

9. 特定の背景を有する患者に関する注意

9.1 合併症・既往歴等のある患者

  1. 9.1.1 QT延長のある患者(先天性QT延長症候群等)

    リスクとベネフィットを考慮して本剤投与の適応を慎重に判断すること。QT延長が悪化するおそれがある。,,

  2. 9.1.2 QT延長を起こしやすい下記の患者
    1. (1) 心不全のある患者
    2. (2) 電解質異常のある患者(低カリウム血症、低マグネシウム血症、低カルシウム血症)
    3. (3) QT延長症候群の既往歴又は家族歴がある患者
    4. (4) 甲状腺機能低下の既往又は合併のある患者
    5. (5) 徐脈性不整脈の既往又は合併のある患者
    6. (6) Torsade de Pointesの既往のある患者

      リスクとベネフィットを考慮して本剤投与の適応を慎重に判断すること。QT延長があらわれるおそれがある。,,

9.5 妊婦

妊婦又は妊娠している可能性のある女性には、治療上の有益性が危険性を上回ると判断される場合にのみ投与すること。ラットの器官形成期に投与したとき、日本人患者における曝露量の1.7倍で胎児に軽度の体重減少が認められた。

9.6 授乳婦

*授乳しないことが望ましい。
本剤はヒト乳汁中に移行することが認められており、ヒト乳汁中の本剤濃度が、母体の血漿中濃度よりも高かった例が報告されている。また、哺乳中の児における血漿中濃度が、母体の血漿中濃度と同等であった例が報告されている。1)
ラットでは、乳汁中の本剤濃度は、母動物の血漿中濃度よりも6~12倍高かった。ラットにおいて、授乳期間中の出生児に乳汁を介した曝露による体重増加量減少が認められた。2)

9.7 小児等

小児等を対象とした臨床試験は実施していない。

9.8 高齢者

患者の状態を観察しながら慎重に投与すること。一般に生理機能が低下している。

10. 相互作用

  • 本剤は、CYP3A4により代謝される。

10.2 併用注意(併用に注意すること)

薬剤名等臨床症状・措置方法機序・危険因子

中等度又は強力なCYP3A4誘導作用を有する薬剤

  • リファブチン、エファビレンツ等

本剤の血漿中濃度が低下し、本剤の効果が減弱するおそれがある。本剤投与中の併用は、リスクとベネフィットを考慮して慎重に判断すること。

これらの薬剤のCYP3A4誘導作用により、本剤の代謝が促進される。

QT延長を起こすことが知られている薬剤

  • フルオロキノロン系抗菌薬
    • モキシフロキサシン等
  • ケトコナゾール
    (経口剤:国内未発売)
    デラマニド

QT延長を起こすおそれがある。リスクとベネフィットを考慮して本剤投与の適応を慎重に判断すること。

併用により相加的なQT延長を起こすおそれがある。

クロファジミン

QT延長の増加が認められている。

機序不明

11. 副作用

次の副作用があらわれることがあるので、観察を十分に行い、異常が認められた場合には投与を中止するなど適切な処置を行うこと。

11.1 重大な副作用

  1. 11.1.1 QT延長(2.7%)

    ,,,

  2. 11.1.2 肝機能障害(頻度不明)

    AST、ALT等の上昇を伴う肝機能障害があらわれることがある。

11.2 その他の副作用

5%以上

1~5%未満

精神神経系

頭痛、浮動性めまい

消化器

悪心、嘔吐、下痢

肝臓

トランスアミナーゼ上昇

筋・骨格

関節痛

筋肉痛

13. 過量投与

  1. 13.1 処置

    心電図(QT間隔)の測定等を行う。なお、本剤は血漿蛋白結合率が高いため、透析により除去されないと考えられる。

14. 適用上の注意

14.1 薬剤交付時の注意

PTP包装の薬剤はPTPシートから取り出して服用するよう指導すること。PTPシートの誤飲により、硬い鋭角部が食道粘膜へ刺入し、更には穿孔をおこして縦隔洞炎等の重篤な合併症を併発することがある。

15. その他の注意

15.1 臨床使用に基づく情報

海外臨床試験(試験期間120週)において、死亡例が本剤投与開始例で12.7%(10/79例)、プラセボ投与開始例で3.7%(3/81例)に認められた。

15.2 非臨床試験に基づく情報

  1. 15.2.1 マウス、ラット及びイヌ反復投与試験において、単核性食細胞系にリン脂質症に関連する色素沈着又は泡沫状マクロファージが観察された。この所見は日本人患者における曝露量より低い曝露量から認められた。休薬により、リン脂質症に関連する所見は回復又は回復傾向を示した。3),4),5),6),7),8)
  2. 15.2.2 マウスでは日本人患者における曝露量より低い曝露量で、イヌでは日本人患者における曝露量の2.6倍で卵巣の黄体、卵胞及び間質の壊死が認められた3),7),8)

16. 薬物動態

16.1 血中濃度

  1. 16.1.1 健康成人
    1. (1) 単回投与

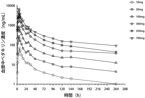
      健康成人に本剤10、30、100、300、450又は700mgを食直後に単回経口投与したときの薬物動態パラメータ及び血漿中ベダキリン濃度推移を表1及び図1に示す9)。(外国人データ)

      表1 外国人健康成人に本剤を食直後に単回経口投与したときの血漿中ベダキリンの薬物動態パラメータ

      ベダキリン
      薬物動態パラメータ

      10mg

      30mg

      100mg

      300mg

      450mg

      700mg

      例数

      6

      6

      6

      6

      6

      6

      tmax
      (h)

      6.0
      (6.0,8.0)

      5.0
      (5.0,5.0)

      5.0
      (2.0,6.0)

      5.0
      (2.0,6.0)

      5.0
      (2.0,5.0)

      5.0
      (5.0,6.0)

      Cmax
      (ng/mL)

      68.6
      (14.8)

      276
      (64)

      854
      (283)

      2547
      (1305)

      3755
      (1165)

      6747
      (2210)

      AUC
      (ng・h/mL)

      1700
      (291)

      6052
      (1861)

      18134
      (6577)

      53113
      (17911)

      79179
      (31794)

      133125
      (44913)

      t1/2
      (h)

      162
      (84)

      143
      (31)

      135
      (24)

      169
      (19)

      117
      (19)

      172
      (37)

      平均値(標準偏差)、tmax:中央値(範囲)

      図1 外国人健康成人に本剤を食直後に単回経口投与したときの平均血漿中ベダキリン濃度-時間推移(片対数スケール)
    2. (2) 反復投与

      健康成人に本剤を1日1回食直後に反復経口投与したときの血漿中ベダキリン及びM2(主代謝物)の薬物動態パラメータ(1日目及び14日目)を表2及び表3に示す10)。(外国人データ)

      表2 外国人健康成人に本剤を1日1回食直後に反復経口投与したときの血漿中ベダキリンの薬物動態パラメータ(1日目及び14日目)

      ベダキリン
      薬物動態パラメータ

      50mg q.d.

      150mg q.d.

      400mg q.d.

      Day 1

      例数

      6

      6

      6

      tmax(h)

      5.0(5.0,6.0)

      5.0(5.0,5.0)

      4.0(2.0,5.0)

      Cmax(ng/mL)

      428(112)

      1132(401)

      3005(493)

      C24h(ng/mL)

      63.4(10.0)

      180(53.0)

      512(114)

      AUC24h(ng・h/mL)

      3989(830)

      9922(3199)

      27206(5361)

      Day 14

      例数

      6

      5

      6

      tmax(h)

      5.0(5.0,6.0)

      5.0(5.0,5.1)

      5.0(3.0,6.0)

      Cmax(ng/mL)

      590(116)

      1972(559)

      4298(1315)

      C24h(ng/mL)

      187(44.0)

      604(147)

      1280(309)

      AUC24h(ng・h/mL)

      7914(2009)

      24265(5670)

      51525(10123)

      t1/2(h)

      169(77)

      167(48)

      173(35)

      平均値(標準偏差)、tmax:中央値(範囲)

      表3 外国人健康成人に本剤を1日1回食直後に反復経口投与したときの血漿中M2の薬物動態パラメータ(1日目及び14日目)

      M2
      薬物動態パラメータ

      50mg q.d.

      150mg q.d.

      400mg q.d.

      Day 1

      例数

      6

      6

      6

      tmax(h)

      8.0(6.0,12.0)

      12.0(6.0,23.9)

      8.0(6.0,12.0)

      Cmax(ng/mL)

      6.84(1.56)

      20.8(7.9)

      52.3(18.5)

      C24h(ng/mL)

      4.89(1.33)

      16.1(4.1)

      40.5(13.7)

      AUC24h(ng・h/mL)

      114(30.6)

      365(142)

      842(211)

      Day 14

      例数

      6

      5

      6

      tmax(h)

      10.0(0.0,12.0)

      5.1(5.0,6.0)

      8.0(6.0,24.0)

      Cmax(ng/mL)

      60.3(19.1)

      275(62.0)

      437(126)

      C24h(ng/mL)

      45.5(12.7)

      221(56.0)

      379(119)

      AUC24h(ng・h/mL)

      1204(364)

      5477(1468)

      8783(2350)

      t1/2(h)

      258(103)

      204(51)

      299(143)

      平均値(標準偏差)、tmax:中央値(範囲)

  2. 16.1.2 患者
    1. (1) 国内臨床試験(第Ⅱ相試験:TBC2001試験)

      多剤耐性肺結核を有する日本人患者を対象に、結核治療薬に加えて開始2週間は本剤400mgを1日1回食後投与し、その後22週間は本剤200mgを週3回食後投与したときの血漿中ベダキリン及びM2の薬物動態パラメータ(投与開始後2週目及び24週目)をそれぞれ表4及び表5に示す11)

      表4 多剤耐性肺結核を有する日本人患者に本剤を開始2週間は本剤400mgを1日1回食後投与し、その後22週間は本剤200mgを週3回食後投与したときの血漿中ベダキリンの薬物動態パラメータ(投与開始後2週目及び24週目)

      ベダキリン
      薬物動態パラメータ

      Week 2a
      400mg q.d.

      Week 24b
      200mg t.i.w.

      例数

      5

      2

      tmax(h)

      4.10(4.00,6.00)

      6.12

      4.07

      Cmax(ng/mL)

      6552(1629)

      3580

      5460

      C0h(ng/mL)

      1775(1012)

      1250

      2270

      Css、avg(ng/mL)

      3223(1029)

      2438

      3204

      AUC24h(ng・h/mL)

      77490(24757)

      58513

      77148

      a 平均値(標準偏差)、tmax:中央値(範囲)
      b 個別値

      表5 多剤耐性肺結核を有する日本人患者に本剤を開始2週間は本剤400mgを1日1回食後投与し、その後22週間は本剤200mgを週3回食後投与したときの血漿中M2の薬物動態パラメータ(投与開始後2週目及び24週目)

      M2
      薬物動態パラメータ

      Week 2a
      400mg q.d.

      Week 24b
      200mg t.i.w.

      例数

      5

      2

      tmax(h)

      5.00(0.00,8.00)

      8

      8.03

      Cmax(ng/mL)

      443(99.4)

      451

      450

      C0h(ng/mL)

      381(85.7)

      399

      391

      Css、avg(ng/mL)

      398(89.6)

      406

      404

      AUC24h(ng・h/mL)

      9575(2140)

      9744

      9735

      a 平均値(標準偏差)、tmax:中央値(範囲)
      b 個別値

    2. (2) 海外臨床試験(第Ⅱ相試験:C208試験Stage2)

      多剤耐性肺結核患者を対象に、結核治療薬(カナマイシン、オフロキサシン、エチオナミド、ピラジナミド及びサイクロセリン/terizidone)に加えて開始2週間は本剤400mgを1日1回食直後投与し、その後22週間は本剤200mgを週3回食直後投与したときの血漿中ベダキリン及びM2の薬物動態パラメータ(投与開始後2週目及び24週目)をそれぞれ表6及び表7に示す12)。(外国人データ)

      表6 多剤耐性肺結核を有する外国人患者に本剤を開始2週間は本剤400mgを1日1回食直後投与し、その後22週間は本剤200mgを週3回食直後投与したときの血漿中ベダキリンの薬物動態パラメータ(投与開始後2週目及び24週目)

      ベダキリン
      薬物動態パラメータ

      Week 2
      400mg q.d.

      Week 24
      200mg t.i.w.

      例数

      26a

      17b

      tmax(h)

      5.00(2.33,6.17)

      5.05(3.07,6.77)

      Cmax(ng/mL)

      2763(1185)

      1267(434.5)

      C0h(ng/mL)

      792.0(263.9)

      453.5(295.2)

      Css、avg(ng/mL)

      1371(528.8)

      584.1(196.5)

      AUCτ(ng・h/mL)

      32960(12720)

      28010(9408)

      平均値(標準偏差)、tmax:中央値(範囲)
      τ:24時間(Week 2)及び48時間(Week 24)
      a 例数=30(C0h)、例数=29(Cmax及びtmax
      b 例数=18(C0h)、例数=19(Cmax及びtmax

      表7 多剤耐性肺結核を有する外国人患者に本剤を開始2週間は本剤400mgを1日1回食直後投与し、その後22週間は本剤200mgを週3回食直後投与したときの血漿中M2の薬物動態パラメータ(投与開始後2週目及び24週目)

      M2
      薬物動態パラメータ

      Week 2
      400mg q.d.

      Week 24
      200mg t.i.w.

      例数

      26a

      17b

      tmax(h)

      6.15(1.10, 24.17)

      12.08(5.00, 48.08)

      Cmax(ng/mL)

      466.9(156.8)

      177.9(70.7)

      C0h(ng/mL)

      426.5(135.1)

      162.4(70.7)

      Css、avg(ng/mL)

      383.0(129.9)

      151.6(52.81)

      AUCτ(ng・h/mL)

      9217(3151)

      7270(2532)

      平均値(標準偏差)、tmax:中央値(範囲)
      τ:24時間(Week 2)及び48時間(Week 24)
      a 例数=30(C0h)、例数=29(Cmax及びtmax
      b 例数=18(C0h)、例数=19(Cmax及びtmax

16.2 吸収

  1. 16.2.1 食事の影響

    健康成人に本剤100mgを絶食下又は食直後に単回経口投与し、ベダキリンの薬物動態を比較した。食直後に投与したとき、絶食下で投与したときと比較して、Cmax及びAUClastの幾何平均の比(90%信頼区間)はそれぞれ2.63(2.23,3.09)倍及び1.95(1.67,2.26)倍であった。13)(外国人データ)

16.3 分布

ヒトにおけるベダキリン及びM2の血漿蛋白結合率は、いずれも99%以上であった(in vitro、平衡透析法)。

16.4 代謝

ベダキリン及びその主代謝物であるN-モノ脱メチル化されたM2は、いずれも主にチトクロームP450(CYP)3A4によって代謝される。健康成人にベダキリン50~400mgを食直後に14日間反復投与したとき、血漿中の主要代謝物はM2であり、その曝露量はベダキリンの約20%であった。10)(外国人データ)

16.5 排泄

ラット、イヌ及びサルにおける非臨床試験では、ベダキリンは主に糞中に排泄された。臨床試験では、ベダキリン未変化体の尿中排泄はわずかであり、尿中排泄はベダキリンの主消失経路ではないことが示唆された。また、多剤耐性肺結核患者にベダキリン400mgを7日間反復投与した後の糞便中には、薬剤由来物質のうちの75~85%がベダキリン未変化体であった。

16.6 特定の背景を有する患者

  1. 16.6.1 肝機能障害患者

    健康成人(8例)及び中等度肝機能障害患者(Child-Pugh分類B、8例)にベダキリン400mgを食後に単回経口投与した。中等度肝機能障害患者における血漿中ベダキリンのCmax、AUC72h及びAUClastは、健康成人と比較して、それぞれ14%、27%及び19%低下したが、PKパラメータの分布はほぼ重なっていた。14)なお、重度肝機能障害患者における試験は実施されていない。(外国人データ)

  2. 16.6.2 腎機能障害患者

    母集団薬物動態解析の結果、クレアチニンクリアランス(中央値:108mL/min、範囲:39.8~227mL/min)は、多剤耐性肺結核患者(本剤を1日200mg週3回投与)のベダキリンの血漿中曝露量に影響を及ぼす共変量ではなかった。この結果、軽度から中等度の腎機能障害患者において臨床的に意義のあるベダキリンの血漿中曝露量の変化はないものと考えられた。15)なお、重度の腎機能障害患者又は透析中の末期腎不全患者における試験は実施されていない。(外国人データ)

16.7 薬物相互作用

  1. 16.7.1 In vitro試験成績

    ベダキリンはOATP1B及びOCT1の基質であり、M2はP糖蛋白の基質である。

  2. 16.7.2 臨床成績(外国人データ)

    表8 薬物相互作用試験における血漿中ベダキリン及びM2の薬物動態パラメータの変動

    併用薬

    併用薬の用法及び用量

    本剤の用法及び用量

    例数

    測定対象

    薬物動態パラメータ:最小二乗平均の比
    [90%信頼区間]

    Cmax

    AUC

    Cmin

    リファンピシンa16)

    600mg
    1日1回

    300mg
    単回投与

    16

    ベダキリン

    0.57(0.48, 0.67)

    0.48(0.43, 0.54)

    -

    16

    M2

    1.31
    (1.08, 1.59)

    0.75
    (0.65, 0.86)

    -

    イソニアジド/ピラジナミド17)

    300/2000mg
    1日1回

    400mg
    1日1回

    22

    ベダキリン

    0.94(0.89, 1.00)

    0.87(0.84, 0.91)

    0.92(0.88, 0.96)

    22

    M2

    1.28(1.21, 1.35)

    1.30(1.25, 1.34)

    1.24(1.20, 1.29)

    ケトコナゾール18)

    400mg
    1日1回

    400mg
    1日1回

    15

    ベダキリン

    1.09(0.98, 1.21)

    1.22(1.12, 1.32)

    1.33(1.24, 1.43)

    15

    M2

    1.01(0.95, 1.07)

    1.01(0.96, 1.07)

    1.08(1.03, 1.13)

    ロピナビル・リトナビル19)

    400/100mg
    1日1回

    400mg単回投与

    13

    ベダキリン

    0.99(0.88, 1.12)

    1.22(1.11, 1.34)

    -

    13

    M2

    0.49(0.43, 0.56)

    0.59(0.52, 0.67)

    -

    ネビラピン20)

    200mg
    1日2回

    400mg単回投与

    16

    ベダキリン

    0.80(0.62, 1.04)

    1.03(0.87, 1.22)

    -

    16

    M2

    0.98(0.88, 1.09)

    1.05(0.94, 1.17)

    -

    a 絶食投与時

    表9 薬物相互作用試験におけるベダキリン併用による他薬剤の薬物動態パラメータの変動

    併用薬

    併用薬の用法及び用量

    本剤の用法及び用量

    例数

    測定
    対象

    併用薬の薬物動態パラメータ:最小二乗平均の比
    [90%信頼区間]

    Cmax

    AUC

    Cmin

    リファンピシン16)

    600mg
    1日1回

    300mg単回投与

    16

    リファンピシン

    0.73(0.65, 0.81)

    0.57(0.53, 0.62)

    -

    16

    25-デスアセチルリファンピシン

    0.71(0.64, 0.78)

    0.45(0.40, 0.51)

    -

    イソニアジド17)

    300mg
    1日1回

    400mg
    1日1回

    22

    1.20(1.09, 1.33)

    1.07(1.02, 1.11)

    1.20a(1.08, 1.32)

    ピラジナミド17)

    2000mg
    1日1回

    22

    1.10(1.07, 1.14)

    1.08(1.06, 1.11)

    1.18(1.12, 1.25)

    ケトコナゾール18)

    400mg
    1日1回

    400mg
    1日1回

    15

    0.93(0.87, 0.98)

    0.89(0.84, 0.94)

    0.55(0.44, 0.70)

    ロピナビル・リトナビル19)

    400mg
    1日1回

    400mg単回投与

    13

    ロピナビル

    -

    -

    0.79a(0.72, 0.87)

    100mg
    1日1回

    13

    リトナビル

    -

    -

    0.86a(0.78, 0.94)

    ネビラピン20)

    200mg
    1日2回

    400mg単回投与

    16

    -

    -

    0.99a(0.91, 1.08)

    a トラフ濃度

17. 臨床成績

17.1 有効性及び安全性に関する試験

  1. 17.1.1 国内第Ⅱ相試験(TBC2001試験)

    多剤耐性肺結核を有する日本人患者(6例)を対象に、結核治療薬に加えて開始2週間は本剤400mgを1日1回投与し、その後22週間は本剤200mgを週3回投与した(有効性解析対象例:本剤投与4例)。喀痰培養陰性化までの時間は14又は15日(MGIT及び小川培地)であり、24週時の喀痰培養陰性化率は100%(4/4例、MGIT及び小川培地)であった。11)
    副作用は6例中3例(50%)に認められた。副作用は、肝機能異常1例(16.7%)、血沈亢進1例(16.7%)、ざ瘡1例(16.7%)であった。

  2. 17.1.2 海外第Ⅱ相試験(C208試験Stage2)

    多剤耐性肺結核患者を対象に、プラセボ対照無作為化二重盲検並行群間比較試験を実施した。結核治療薬(カナマイシン、オフロキサシン、エチオナミド、ピラジナミド及びサイクロセリン/terizidone)に加えてプラセボ又は本剤400mgを1日1回投与(投与開始後2週間)し、その後22週間はプラセボ又は本剤200mgを週3回投与した(有効性解析対象例:本剤群66例、プラセボ群66例)。主要評価項目である喀痰培養陰性化までの時間(中央値)は、本剤群83日及びプラセボ群125日であり、統計学的な有意差が認められた[治験実施医療機関及び肺空洞化を共変量としたCox比例ハザードモデル、ハザード比(95%CI):2.44(1.57;3.80),p<0.0001]。また、24週時の喀痰培養陰性化率は、本剤群78.8%(52/66例)及びプラセボ群57.6%(38/66例)であった。
    また、QTcF間隔の延長が認められ、変化量の平均値は第1週時に本剤9.9ms、プラセボ3.5msであった。本剤による24週の治療期間におけるQTcF間隔の最大平均増加量は、15.7ms(18週目)であった。プラセボ群におけるQTcF間隔の最大平均増加量は、6.2ms(18週目)であった。21)
    副作用は79例中58例(73.4%)に認められた。主な副作用は、悪心30例(38.0%)、関節痛26例(32.9%)、頭痛22例(27.8%)、嘔吐20例(25.3%)であった。

  3. 17.1.3 海外第Ⅱ相試験(C209試験)

    多剤耐性肺結核患者(超多剤耐性肺結核患者を含む)を対象に、結核治療薬に加えて開始2週間は本剤400mgを1日1回投与し、その後22週間は本剤200mgを週3回投与した(有効性解析対象例:本剤投与205例)。主要評価項目である喀痰培養陰性化までの時間(中央値)は57日、24週時の喀痰培養陰性化率は79.5%(163/205例)であった。22)

    喀痰培養陰性化までの時間の中央値及び喀痰培養陰性化率

    C208試験Stage2

    C209試験

    TBC2001試験

    本剤群
    (66例)

    プラセボ群
    (66例)

    本剤群
    (205例)

    本剤群
    (4例)

    喀痰培養陰性化までの時間の中央値(日)

    83

    125

    57

    14又は15 a

    24週での喀痰培養陰性化率[%(例数)]

    78.8(52/66)

    57.6(38/66)

    79.5(163/205)

    100(4/4)

    a 個別値

17.3 その他

  1. 17.3.1 QT/QTc間隔に対する影響

    健康成人(44例)において、ランダム化、二重盲検、プラセボ及び陽性(モキシフロキサシン 400mg)対照、並行群間試験でQT/QTc間隔に対する、本剤800mg単回投与の影響を検討した。その結果、QTcF間隔のベースラインからの変化量について、記録時点を対応させたベダキリン投与とプラセボ投与の差の90%信頼区間(1.5,8.9)の上限値は10ms未満であった。23)(外国人データ)

18. 薬効薬理

18.1 作用機序

本剤は、結核菌のATP合成酵素を阻害して抗菌活性を示す24)

18.2 抗菌作用

  1. 18.2.1 In vitro抗菌活性

    本剤は、多剤耐性結核菌及び超多剤耐性結核菌を含むマイコバクテリウム属に対して抗菌活性を示す25),26)

  2. 18.2.2 In vivo抗菌活性

    結核菌を用いたマウス感染モデルに対して、本剤は感染防御効果を示した26)

18.3 耐性機序

結核菌の本剤に対する耐性機序は、ATP合成酵素の遺伝子atpE及び薬剤排出ポンプMmpS5-MmpL5の調節遺伝子Rv0678の変異である27),28)

19. 有効成分に関する理化学的知見

一般的名称

ベダキリンフマル酸塩(Bedaquiline Fumarate)

化学名

(1R,2S)-1-(6-Bromo-2-methoxyquinolin-3-yl)-4-(dimethylamino)-2-(naphthalen-1-yl)-1-phenylbutan-2-ol monofumarate

分子式

C32H31BrN2O2・C4H4O4

分子量

671.58

性状

白色の粉末

化学構造式

融点

210℃(分解)

溶解性

水 0.007(g/100mL)
エタノール 2.4(g/100mL)
2-プロパノール 0.64(g/100mL)
メタノール 14(g/100mL)
アセトニトリル 0.38(g/100mL)

20. 取扱い上の注意

  1. 20.1 小児の手の届かない所に保管すること。
  2. 20.2 遮光のため、服用直前までPTPシートから取り出さないこと。

21. 承認条件

  1. 21.1 医薬品リスク管理計画を策定の上、適切に実施すること。
  2. 21.2 日本人での投与経験が極めて限られていることから、製造販売後一定期間は、全症例を対象に使用成績調査を実施することにより、本剤使用患者の背景情報を把握するとともに、本剤の安全性及び有効性に関するデータを早期に収集し、本剤の適正使用に必要な措置を講じること。

22. 包装

6錠[6錠(PTP)×1]

23. 主要文献

1) *Court R, et al.:Br J Clin Pharmacol. 2022;88(8):3548-3558

2) 社内資料:ラット出生前及び出生後の発生並びに母体の機能に関する試験(TMC207-TOX9296)(2018年1月19日承認、CTD 2.6.6.6.8)

3) 社内資料:マウス13週間反復強制経口投与毒性試験(TMC207-TOX7419)(2018年1月19日承認、CTD 2.6.6.3.3)

4) 社内資料:ラット1ヵ月間反復強制経口投与毒性試験(TMC207-TOX6017)(2018年1月19日承認、CTD 2.6.6.3.6)

5) 社内資料:ラット26週間反復強制経口投与毒性試験(TMC207-TOX7421)(2018年1月19日承認、CTD 2.6.6.3.8)

6) 社内資料:イヌ1ヵ月間反復強制経口投与毒性試験(TMC207-TOX6018)(2018年1月19日承認、CTD 2.6.6.3.10)

7) 社内資料:イヌ26週間反復強制経口投与毒性試験(TMC207-TOX6612)(2018年1月19日承認、CTD 2.6.6.3.11)

8) 社内資料:イヌ39週間反復強制経口投与毒性試験(TMC207-TOX9239)(2018年1月19日承認、CTD 2.6.6.3.13)

9) 社内資料:TMC207の健康成人被験者に対する臨床成績(R207910-CDE-101)(2018年1月19日承認、CTD 2.7.2.2.2.1)

10) 社内資料:TMC207の健康成人被験者に対する臨床成績(R207910-CDE-102)(2018年1月19日承認、CTD 2.7.2.2.2.1)

11) 社内資料:TMC207の多剤耐性肺結核を有する日本人患者に対する臨床成績(TMC207-TBC2001)(2018年1月19日承認、CTD 2.7.2.2.2.3)

12) 社内資料:TMC207の多剤耐性肺結核を有する外国人患者に対する臨床成績(TMC207-C208 stage2)(2018年1月19日承認、CTD 2.7.2.2.2.2)

13) 社内資料:TMC207の健康成人被験者に対する臨床成績(TMC207-C108)(2018年1月19日承認、CTD 2.7.1.2.1.1)

14) 社内資料:TMC207の肝機能障害患者に対する臨床成績(TMC207-C112)(2018年1月19日承認、CTD 2.7.2.2.2.4)

15) 社内資料:TMC207の母集団薬物動態解析に関する検討(TMC207-201105)(2018年1月19日承認、CTD 2.7.2.3.1.6)

16) 社内資料:TMC207の健康成人被験者に対する薬物相互作用の検討(TMC207-BAC1003)(2018年1月19日承認、CTD 2.7.2.2.2.5)

17) 社内資料:TMC207の健康成人被験者に対する薬物相互作用の検討(TMC207-C104)(2018年1月19日承認、CTD 2.7.2.2.2.5)

18) 社内資料:TMC207の健康成人被験者に対する薬物相互作用の検討(TMC207-C109)(2018年1月19日承認、CTD 2.7.2.2.2.5)

19) 社内資料:TMC207の健康成人被験者に対する薬物相互作用の検討(TMC207-C110)(2018年1月19日承認、CTD 2.7.2.2.2.5)

20) 社内資料:TMC207の健康成人被験者に対する薬物相互作用の検討(TMC207-C117)(2018年1月19日承認、CTD 2.7.2.2.2.5)

21) Diacon AH, et al.:N EnglJ Med. 2014;371(8):723-732

22) Pym AS, et al.:Eur Respir J. 2016;47(2):564-574

23) 社内資料:TMC207の健康成人被験者のQT延長に関する臨床成績(TMC207-TBC1003)(2018年1月19日承認、CTD 2.7.2.2.3)

24) Koul A, et al.:Nat Commun. 2014;5:3369

25) 社内資料:TMC207の抗菌活性の検討(TMC207-TiDP13-C209)(2018年1月19日承認、CTD 2.7.2.4.2.1)

26) Andries K, et al.:Science. 2005;307(5707):223-227

27) Huitric E, et al.:Antimicrob Agents Chemother. 2010;54(3):1022-1028

28) 社内資料:TMC207の耐性機序(TMC207-Resistance Mechanisms-ABMR)(2018年1月19日承認、CTD 2.7.2.4.2.7)

24. 文献請求先及び問い合わせ先

ヤンセンファーマ株式会社 メディカルインフォメーションセンター

〒101-0065 東京都千代田区西神田3-5-2
フリーダイヤル 0120-183-275
https://www.janssenpro.jp

26. 製造販売業者等

26.1 製造販売元

ヤンセンファーマ株式会社

〒101-0065 東京都千代田区西神田3-5-2

〒100-0013 東京都千代田区霞が関3-3-2 新霞が関ビル

画面を閉じる

Copyright © Pharmaceuticals and Medical Devices Agency, All Rights reserved.