医療用医薬品 詳細表示

ドラマミン錠50mg

処方せん医薬品以外の医薬品

添付文書番号
企業コード
作成又は改訂年月
日本標準商品分類番号
薬効分類名
承認等
一般的名称
2.禁忌(次の患者には投与しないこと)
3.組成・性状
3.1組成
3.2製剤の性状
4.効能又は効果
6.用法及び用量
8.重要な基本的注意
9.特定の背景を有する患者に関する注意
9.1合併症・既往歴等のある患者
9.2腎機能障害患者
9.5妊婦
9.6授乳婦
9.7小児等
9.8高齢者
10.相互作用
10.1併用禁忌(併用しないこと)
10.2併用注意(併用に注意すること)
11.副作用
11.2その他の副作用
14.適用上の注意
18.薬効薬理
18.1作用機序
18.2迷路機能亢進抑制作用
18.3鎮吐作用
19.有効成分に関する理化学的知見
22.包装
23.主要文献
24.文献請求先及び問い合わせ先
26.製造販売業者等

ドラマミン錠50mg

添付文書番号

1331001F1044_1_04

企業コード

830001

作成又は改訂年月

2023年7月改訂(第1版)

日本標準商品分類番号

871331

薬効分類名

鎮暈・鎮吐剤

承認等

ドラマミン錠50mg

販売名コード

YJコード

1331001F1044

販売名英語表記

DRAMAMINE TABLETS

販売名ひらがな

どらまみんじょう

承認番号等

承認番号

22100AMX01260

販売開始年月

年月

貯法・有効期間

貯法

室温保存

有効期間

5年

基準名

日本薬局方

ジメンヒドリナート錠

一般的名称

ジメンヒドリナート錠

2. 禁忌(次の患者には投与しないこと)

  1. 2.1 モノアミン酸化酵素阻害剤を使用中の患者
  2. 2.2 ジフェニルメタン系薬剤(ジメンヒドリナート、塩酸メクリジン等)に対し過敏症の既往歴の患者

3. 組成・性状

3.1 組成

ドラマミン錠50mg

有効成分1錠中、ジメンヒドリナート   50mg
添加剤乳糖水和物、トウモロコシデンプン、ステアリン酸Mg

3.2 製剤の性状

ドラマミン錠50mg

剤形白色の割線付き素錠
外形表面
裏面
側面
大きさ直径約8.7mm
厚さ約3.2mm
質量190mg
識別コードYD552

4. 効能又は効果

○下記の疾患又は状態に伴う悪心・嘔吐・眩暈
動揺病、メニエール症候群、放射線宿酔

○手術後の悪心・嘔吐

6. 用法及び用量

ジメンヒドリナートとして、通常、成人1回50mg(1錠)を1日3~4回経口投与する。

予防のためには、その30分から1時間前に1回50~100mg(1~2錠)を経口投与する。ただし原則として1日200mg(4錠)を超えないこと。

なお、年齢、症状により適宜増減する。

8. 重要な基本的注意

眠気を催すことがあるので、本剤投与中の患者には、自動車の運転等危険を伴う機械の操作には従事させないよう注意すること。

9. 特定の背景を有する患者に関する注意

9.1 合併症・既往歴等のある患者

  1. 9.1.1 てんかんの患者

    構成成分であるテオフィリン系薬剤の副作用があらわれやすい。

  2. 9.1.2 甲状腺機能亢進症の患者

    構成成分であるテオフィリン系薬剤の副作用があらわれやすい。

  3. 9.1.3 麻酔施行前の患者

    麻酔の覚醒を遅延させるおそれがある。

9.2 腎機能障害患者

  1. 9.2.1 急性腎炎の患者

    構成成分であるテオフィリン系薬剤の副作用があらわれやすい。

9.5 妊婦

妊婦又は妊娠している可能性のある女性には、治療上の有益性が危険性を上まわると判断される場合にのみ投与すること。類薬(塩酸メクリジン)の動物実験(ラット)で催奇形作用が報告されている。

9.6 授乳婦

本剤投与中は授乳しないことが望ましい。

9.7 小児等

構成成分であるテオフィリン系薬剤の副作用があらわれやすい。

9.8 高齢者

減量するなど注意すること。一般に高齢者では生理機能が低下している。

10. 相互作用

    10.1 併用禁忌(併用しないこと)

    薬剤名等臨床症状・措置方法機序・危険因子
    • モノアミン酸化酵素阻害剤
      • セレギリン塩酸塩(エフピー)
      • ラサギリンメシル酸塩(アジレクト)
      • サフィナミドメシル酸塩(エクフィナ)

    本剤の抗コリン作用が持続・増強される。

    モノアミン酸化酵素阻害剤が本剤の代謝速度を遅らせることによる。

    10.2 併用注意(併用に注意すること)

    薬剤名等臨床症状・措置方法機序・危険因子
    • 中枢神経抑制剤
      • バルビツール酸誘導体
      • 麻酔剤等
    • アルコール

    相互に作用を増強する。

    抗ヒスタミン薬は全ての中枢神経抑制剤の鎮静作用を増強し、また、中枢神経抑制剤及びアルコールは抗ヒスタミン薬の中枢抑制作用を増強することによる。

    • 第8脳神経障害を起こすおそれのあるアミノ糖系抗生物質
      • ストレプトマイシン
      • カナマイシン等

    これらの薬剤による難聴を不可逆状態にすることがある。

    アミノ糖系抗生物質の耳障害症状を不顕性化することによる。

    11. 副作用

    次の副作用があらわれることがあるので、観察を十分に行い、異常が認められた場合には投与を中止するなど適切な処置を行うこと。

    11.2 その他の副作用

    0.1~5%未満

    頻度不明

    精神神経系

    眠気、頭痛、手足のしびれ、手指の振戦、めまい、目のかすみ、ふらふら感、不眠、知覚異常等

    過敏症

    発疹、光線過敏症等

    消化器

    胸やけ、胃痛等

    その他

    口渇、疲労感

    14. 適用上の注意

    14.1 薬剤交付時の注意

    PTP包装の薬剤はPTPシートから取り出して服用するよう指導すること。PTPシートの誤飲により、硬い鋭角部が食道粘膜へ刺入し、更には穿孔をおこして縦隔洞炎等の重篤な合併症を併発することがある。

    18. 薬効薬理

    18.1 作用機序

    ジメンヒドリナートは経口投与でマウス、ウサギ、ヒトの迷路機能亢進を抑制する1),2),3)ほか、鎮吐作用にもすぐれ、イヌ、ネコ、ヒトのアポモルヒネ嘔吐を著明に抑制する4),5)

    18.2 迷路機能亢進抑制作用

    1. 18.2.1 健康成人(性別不明)の迷路冷刺激による実験的眼振に対し、眼振発生開始時間を遅らせるとともに眼振持続時間を短縮させる1)
    2. 18.2.2 健康成人(男子)の回転運動による実験的動揺病に対し、抑制作用を示す6)

    18.3 鎮吐作用

    健康成人(男女)において、アポモルヒネ投与による催吐症状に対し、鎮吐作用を示す5)

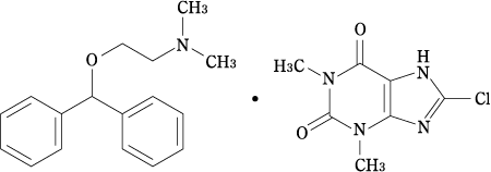
    19. 有効成分に関する理化学的知見

    一般的名称

    ジメンヒドリナート(Dimenhydrinate)

    化学名

    2-(Diphenylmethoxy)-N,N-dimethylethylamine-8-chloro-1,3-dimethyl-1H-purine-2,6(3H,7H)-dione(1/1)

    分子式

    C17H21NO・C7H7ClN4O2

    分子量

    469.96

    性状

    白色の結晶性の粉末で、においはなく、味は苦い。

    クロロホルムに極めて溶けやすく、エタノール(95)に溶けやすく、水又はジエチルエーテルに溶けにくい。

    化学構造式

    22. 包装

    100錠[10錠(PTP)×10]

    100錠(ガラス瓶)

    24. 文献請求先及び問い合わせ先

    株式会社陽進堂 お客様相談室

    富山県富山市婦中町萩島3697番地8号

     0120-647-734

    26. 製造販売業者等

    26.1 製造販売元

    株式会社陽進堂

    富山県富山市婦中町萩島3697番地8号

    〒100-0013 東京都千代田区霞が関3-3-2 新霞が関ビル

    画面を閉じる

    Copyright © Pharmaceuticals and Medical Devices Agency, All Rights reserved.