医療用医薬品 詳細表示

デュタステリドカプセル0.5mgZA「YD」

処方せん医薬品

添付文書番号
企業コード
作成又は改訂年月
日本標準商品分類番号
薬効分類名
承認等
一般的名称
2.禁忌(次の患者には投与しないこと)
3.組成・性状
3.1組成
3.2製剤の性状
4.効能又は効果
5.効能又は効果に関連する注意
6.用法及び用量
7.用法及び用量に関連する注意
8.重要な基本的注意
9.特定の背景を有する患者に関する注意
9.3肝機能障害患者
9.5妊婦
9.6授乳婦
9.7小児等
10.相互作用
10.2併用注意(併用に注意すること)
11.副作用
11.1重大な副作用
11.2その他の副作用
14.適用上の注意
15.その他の注意
15.1臨床使用に基づく情報
15.2非臨床試験に基づく情報
16.薬物動態
16.1血中濃度
16.2吸収
16.3分布
16.4代謝
16.5排泄
16.6特定の背景を有する患者
16.7薬物相互作用
17.臨床成績
17.1有効性及び安全性に関する試験
18.薬効薬理
18.1作用機序
18.25α還元酵素阻害作用
18.3血清中のジヒドロテストステロン濃度低下作用
18.4頭皮中のジヒドロテストステロン濃度低下作用
19.有効成分に関する理化学的知見
20.取扱い上の注意
22.包装
23.主要文献
24.文献請求先及び問い合わせ先
25.保険給付上の注意
26.製造販売業者等

デュタステリドカプセル0.5mgZA「YD」

添付文書番号

249900AM2070_1_03

企業コード

830001

作成又は改訂年月

2023年12月改訂(第1版)

日本標準商品分類番号

87249

薬効分類名

5α還元酵素1型/2型阻害薬
男性型脱毛症治療薬

承認等

デュタステリドカプセル0.5mgZA「YD」

販売名コード

YJコード

249900AM2070

販売名英語表記

DUTASTERIDE CAPSULES

販売名ひらがな

でゅたすてりどかぷせる0.5mg

承認番号等

承認番号

30300AMX00274

販売開始年月

2021年6月

貯法・有効期間

貯法

室温保存

有効期間

3年

一般的名称

デュタステリドカプセル

2. 禁忌(次の患者には投与しないこと)

  1. 2.1 本剤の成分及び他の5α還元酵素阻害薬に対し過敏症の既往歴のある患者
  2. 2.2 女性,,
  3. 2.3 小児等,
  4. 2.4 重度の肝機能障害のある患者

3. 組成・性状

3.1 組成

デュタステリドカプセル0.5mgZA「YD」

有効成分1カプセル中、デュタステリド   0.5mg
添加剤中鎖モノ・ジグリセリド、BHT、グリセリン、ゼラチン、コハク化ゼラチン、酸化チタン、三二酸化鉄、中鎖脂肪酸トリグリセリド

3.2 製剤の性状

デュタステリドカプセル0.5mgZA「YD」

剤形淡紅色不透明の楕円球形の軟カプセル剤で、内容物は無色澄明~淡黄色澄明の油状の液
外形表面
大きさ長径約10.9mm
短径約7.0mm
質量335.7mg
識別コードYD184

4. 効能又は効果

男性における男性型脱毛症

5. 効能又は効果に関連する注意

  1. 5.1 男性における男性型脱毛症のみの適応である。他の脱毛症に対する適応はない。
  2. 5.2 20歳未満での安全性及び有効性は確立されていない。

6. 用法及び用量

男性成人には、通常、デュタステリドとして0.1mgを1日1回経口投与する。なお、必要に応じて0.5mgを1日1回経口投与する。

7. 用法及び用量に関連する注意

  1. 7.1 投与開始後12週間で改善が認められる場合もあるが、治療効果を評価するためには、通常6ヵ月間の治療が必要である。
  2. 7.2 本剤を6ヵ月以上投与しても男性型脱毛症の改善がみられない場合には投薬を中止すること。また、6ヵ月以上投与する場合であっても定期的に効果を確認し、継続投与の必要性について検討すること。

8. 重要な基本的注意

  1. 8.1 本剤は経皮吸収されることから、女性や小児はカプセルから漏れた薬剤に触れないこと。漏れた薬剤に触れた場合には、直ちに石鹸と水で洗うこと。,,,,
  2. 8.2 本剤は、血清前立腺特異抗原(PSA)に影響を与えるので、前立腺癌等の検査に際しては、以下の点に注意すること。また、PSAの検査を受ける際には本剤の服用について検査を行う医師に知らせるよう、患者を指導すること。
    • PSA値は、前立腺癌のスクリーニングにおける重要な指標である。一般に、PSA値が基準値(通常、4.0ng/mL)以上の場合には、更なる評価が必要となり、前立腺生検の実施を考慮に入れる必要がある。なお、本剤投与中の患者で、本剤投与前のPSA値が基準値未満であっても、前立腺癌の診断を除外しないように注意すること。
    • 本剤投与6ヵ月以降のPSA値を新たなベースラインとし、その後は適宜PSA値を測定してベースラインからの変動を評価すること。
    • デュタステリドは、前立腺肥大症患者に0.5mg/日投与した場合、前立腺癌の存在下であっても、投与6ヵ月後にPSA値を約50%減少させる。したがって、本剤を6ヵ月以上投与している患者のPSA値を評価する際には、測定値を2倍した値を目安として基準値と比較すること。また、PSA値は、本剤投与中止後6ヵ月以内に本剤投与開始前の値に戻る。なお、男性型脱毛症患者においても、臨床試験の結果から、本剤投与によりPSA値が減少すると推測される。
    • 本剤投与中におけるPSA値の持続的増加に対しては、前立腺癌の発現や本剤の服薬不遵守を考慮に含め、注意して評価すること。
    • 本剤投与中において、free/total PSA比は一定に維持されるので、前立腺癌のスクリーニングの目的で% free PSAを使用する場合には、測定値の調整は不要である。

9. 特定の背景を有する患者に関する注意

9.3 肝機能障害患者

  1. 9.3.1 重度の肝機能障害のある患者

    投与しないこと。本剤は主に肝臓で代謝されるため、血中濃度が上昇するおそれがある。

  2. 9.3.2 肝機能障害のある患者(重度の肝機能障害のある患者を除く)

    本剤は主に肝臓で代謝される。肝機能障害のある患者に投与した場合の薬物動態は検討されていない。

9.5 妊婦

女性には投与しないこと。ラット及びウサギにデュタステリドを経口投与した結果、雄胎児の外生殖器の雌性化がみられ、本剤の曝露により血中ジヒドロテストステロンが低下し、男子胎児の外生殖器の発達を阻害する可能性が示唆された。,

9.6 授乳婦

女性には投与しないこと。本剤が乳汁中に移行するかは不明である。,

9.7 小児等

小児等には投与しないこと。小児等に対する適応はなく、小児等を対象とした有効性及び安全性を指標とした臨床試験は実施していない。,

10. 相互作用

  • 本剤は、主としてCYP3A4で代謝される。

10.2 併用注意(併用に注意すること)

薬剤名等臨床症状・措置方法機序・危険因子

CYP3A4阻害作用を有する薬剤

  • リトナビル等

これらの薬剤との併用により本剤の血中濃度が上昇する可能性がある。

CYP3A4による本剤の代謝が阻害される。

11. 副作用

次の副作用があらわれることがあるので、観察を十分に行い、異常が認められた場合には投与を中止するなど適切な処置を行うこと。

11.1 重大な副作用

  • 肝機能障害、黄疸(いずれも頻度不明)

    AST、ALT、ビリルビンの上昇等を伴う肝機能障害や黄疸があらわれることがある。

11.2 その他の副作用

1%以上

1%未満

頻度不明

過敏症

発疹

蕁麻疹、アレルギー反応、瘙痒症、限局性浮腫、血管性浮腫

精神神経系

頭痛、抑うつ気分

浮動性めまい、味覚異常

生殖系及び乳房障害

性機能不全(リビドー減退、勃起不全、射精障害)注)

乳房障害(女性化乳房、乳頭痛、乳房痛、乳房不快感)

精巣痛、精巣腫脹

皮膚

脱毛症(主に体毛脱落)、多毛症

消化器

腹部不快感

腹痛、下痢

その他

倦怠感、血中CK増加

注)投与中止後も持続したとの報告がある。

14. 適用上の注意

14.1 薬剤交付時の注意

  1. 14.1.1 PTP包装の薬剤はPTPシートから取り出して服用するよう指導すること。PTPシートの誤飲により、硬い鋭角部が食道粘膜へ刺入し、更には穿孔をおこして縦隔洞炎等の重篤な合併症を併発することがある。
  2. 14.1.2 カプセルの内容物が口腔咽頭粘膜を刺激する場合があるので、カプセルは噛んだり開けたりせずに服用させること。

15. その他の注意

15.1 臨床使用に基づく情報

  1. 15.1.1 海外臨床試験において、18~52歳の健康成人(デュタステリド群:27例、プラセボ群:23例)を対象に、52週間の投与期間及び24週間の投与後追跡期間を通して、デュタステリド0.5mg/日の精液特性に対する影響を評価した。投与52週目における総精子数、精液量及び精子運動率の投与前値からの平均減少率(プラセボ群の投与前値からの変化で調整)は、それぞれ23、26及び18%であり、精子濃度及び精子形態への影響は認められなかった。デュタステリド群における総精子数の投与前値からの平均減少率は、24週間の追跡期間後においても23%のままであった。しかしながら、いずれの評価時期においても、全ての精液パラメータの平均値は正常範囲内であり、事前に規定した臨床的に重要な変動(30%)には至らなかった。また、デュタステリド群の2例において、投与52週目に投与前値から90%を超える精子数の減少が認められたが、追跡24週目には軽快した。デュタステリドの精液特性に及ぼす影響が、個々の患者の受胎能に対しどのような臨床的意義をもつかは不明である。
  2. 15.1.2 デュタステリドを投与された前立腺肥大症患者で男性乳癌が報告されている。デュタステリドと男性乳癌の発現との関連性は不明である。なお、前立腺肥大症患者を対象とした2~4年間の海外臨床試験(4325例)において3例の乳癌が報告された。このうち、デュタステリドが投与された症例では2例(曝露期間10週間、11ヵ月)、プラセボのみが投与された症例では1例報告されている。国内臨床試験での報告はない。
  3. 15.1.3 白人を主体とした50~75歳の男性8231例(生検により前立腺癌が陰性かつPSA値2.5~10.0ng/mL)を対象とした4年間の国際共同試験(日本人57例を含む)において、Modified Gleason Score注)8~10の前立腺癌の発現率がプラセボ群(0.5%)に対しデュタステリド群(1.0%)において高かった(相対リスク2.06[95%信頼区間:1.13-3.75])との報告がある1),2),3)
    注)組織学的悪性度の指標

15.2 非臨床試験に基づく情報

  1. 15.2.1 アカゲザルの器官形成期にデュタステリドを2010ng/匹/日まで静脈内投与した結果、2010ng/匹/日群(デュタステリドを服用した男性の精液5mLを介して100%吸収されると仮定した場合に、体重50kgの女性が曝露される推定最大曝露量の186倍に相当する)の雌胎児1例に、本薬投与との関連性は不明であるが、卵巣・卵管の不均衡発達が認められた。
  2. 15.2.2 ラットのがん原性試験において、高用量(臨床用量における曝露量の約141倍)投与時に精巣間細胞腫の増加がみられた。しかしながら、精巣間細胞腫及び過形成の発現に起因するラットの内分泌機構のヒトへの外挿性が低いことから、ヒトに精巣間細胞腫を発現させる危険性は低いと考えられている。なお、マウスのがん原性試験においては、デュタステリドに関連すると考えられる腫瘍の発生は認められなかった。

16. 薬物動態

16.1 血中濃度

  1. 16.1.1 単回投与

    健康成人にデュタステリド0.5mgを単回経口投与した時、投与後1.5時間に最高血清中薬物濃度(Cmax平均値:3288.5pg/mL)に達し、AUC0-tは52316.9hr・pg/mL(平均値)であった4)(外国人データ:表)。

    健康成人にデュタステリド0.5mgを単回経口投与した時の血清中デュタステリドの薬物動態パラメータ(外国人データ)

    Cmax(pg/mL)

    AUC0-t(hr・pg/mL)

    Tmax(hr)

    3288.5±1160.89

    52316.9±20525.60

    1.500(0.75-6.00)

    (平均値±標準偏差、n=33)

    Tmax:中央値(範囲)

  2. 16.1.2 反復投与

    男性の男性型脱毛症患者にデュタステリド0.05~2.5 mg1)を1日1回24週間反復経口投与した時、投与後24週の平均血清中薬物濃度は0.1及び0.5mg投与群でそれぞれ1.51±0.96及び30.69±13.90ng/mLであった。消失は非線形であり、血清中デュタステリド濃度が低い場合、高濃度域と比べて速やかに消失した。デュタステリド0.1及び0.5mgを24週間反復投与した時、血清中薬物濃度はそれぞれ最終投与後12及び20週時で定量下限(0.1ng/mL)未満であった5)(外国人データ)。
    前立腺肥大症患者にデュタステリド0.5mgを1日1回6ヵ月間反復経口投与した時、投与後6ヵ月の血清中薬物濃度は44.82±17.91ng/mLであった。また、定常状態におけるt1/2は3.4±1.2週間であった6),7)

  3. 16.1.3 生物学的同等性試験

    デュタステリドカプセル0.5mgZA「YD」とザガーロカプセル0.5mgをクロスオーバー法によりそれぞれ1カプセル(デュタステリドとして0.5mg)、健康成人男子31名に絶食単回経口投与して血漿中未変化体濃度を測定した。得られた薬物動態パラメータ(AUC、Cmax)について90%信頼区間法にて統計解析を行った結果、log(0.80)~log(1.25)の範囲内であり、両剤の生物学的同等性が確認された8)

    判定パラメータ

    参考パラメータ

    AUC0-192

    (ng・hr/mL)

    Cmax

    (ng/mL)

    Tmax

    (hr)

    t1/2

    (hr)

    デュタステリド

    カプセル0.5mg

    ZA「YD」

    112.6±54.0

    2.9±0.8

    2.6±1.1

    55.7±33.1

    ザガーロカプセル
    0.5mg

    118.0±57.1

    2.9±0.8

    2.6±1.2

    56.8±27.2

    (平均値±標準偏差、n=31)

    血漿中濃度並びにAUC、Cmax等のパラメータは、被験者の選択、体液の採取回数・時間等の試験条件によって異なる可能性がある。

16.2 吸収

  1. 16.2.1 食事の影響

    健康成人にデュタステリド2.5mg1)を食後単回経口投与した時、薬物動態パラメータに若干の変化を認め、AUC0-∞は空腹時投与の2573から2197ng・hr/mLに減少した。なお、この変化は臨床上影響を与えるものではない9)

  2. 16.2.2 生物学的利用率

    健康成人にデュタステリド0.5mgを単回経口投与した時、生物学的利用率は59%であった10)(外国人データ)。

16.3 分布

  1. 16.3.1 蛋白結合率

    In vitro試験において、デュタステリド(2000ng/mL)のヒト血清蛋白結合率は99.8%と高く、血清アルブミン、α1-酸性糖蛋白、コルチコステロイド結合グロブリン及び性ホルモン結合グロブリンに対する結合率は、それぞれ99.0%、96.6%、89.2%及び87.6%であった。また、これらの蛋白に対する結合率は20~2000ng/mLの範囲で線形であった11)(限外ろ過法)。

  2. 16.3.2 精液移行

    健康成人にデュタステリド0.5mgを反復経口投与した時、精液中/血清中薬物濃度比は平均11.5%であった12)(外国人データ)。

16.4 代謝

  1. 16.4.1 主な代謝酵素

    In vitro試験において、デュタステリドはCYP3A4/CYP3A5によって水酸化されたが、CYP1A2、2A6、2B6、2C8、2C9、2C19、2D6及び2E1では代謝されなかった13),

  2. 16.4.2 代謝酵素阻害

    In vitro試験において、デュタステリドはCYP1A2、2C9及び2D6活性を阻害しなかったが、CYP2C19及び3A4活性を阻害し、IC50は50μMであった14)

  3. 16.4.3 代謝酵素誘導

    In vitro試験において、デュタステリドはPXR活性化によるCYP3A4誘導能を示さなかった15)

  4. 16.4.4 主代謝物

    前立腺肥大症患者にデュタステリド0.5mgを1日1回反復経口投与した時、主代謝物として1,2-二水素化体、4'-水酸化体、6-水酸化体が確認された6)

16.5 排泄

  1. 16.5.1 単回投与

    健康成人にデュタステリド1~20mg1)を単回経口投与した時、投与後48時間以内の尿中に未変化体は検出されなかった16)

  2. 16.5.2 反復投与

    健康成人にデュタステリド0.5mgを1日1回6ヵ月以上反復経口投与した時、糞中に約5%の未変化体が排泄され、関連物質(未変化体+代謝物)として約42%が回収された。尿中への未変化体の排泄は0.1%未満であり、関連物質の排泄も微量であった17)(外国人データ)。

16.6 特定の背景を有する患者

  1. 16.6.1 高齢者

    24~87歳の健康成人にデュタステリド5mg1)を単回経口投与した時、50~69歳及び70歳以上の年齢群のt1/2は49歳以下の年齢群に比べて延長し、AUC0-∞は約20%増加した。なお、この変化は臨床上影響を与えるものではない18)(外国人データ)。

16.7 薬物相互作用

  1. 16.7.1 トランスポーター阻害作用

    In vitro試験において、デュタステリドはOAT3、OATP1B1及びOATP1B3輸送を阻害し、IC50の最小値はそれぞれ0.5、0.8及び20μMであったが、いずれも臨床血清中濃度(約0.07μM)より高かった。また、デュタステリドはMRP2及びOAT1輸送を阻害しなかった19)

  2. 16.7.2 CYP3A4阻害作用を有する薬剤
    1. (1) In vitro試験において、デュタステリドの酸化的代謝はCYP3A4阻害作用を有するケトコナゾールによって阻害された13)
    2. (2) CYP3A4阻害薬とデュタステリドの薬物相互作用試験は実施されていないが、前立腺肥大症患者を対象とした臨床試験での母集団薬物動態解析の結果、ベラパミル塩酸塩又はジルチアゼム塩酸塩との併用により、デュタステリドのクリアランスが低下した20)(外国人データ)。
  3. 16.7.3 その他の薬剤

    デュタステリド0.5mgあるいは5mg1)と、コレスチラミン、ワルファリン、ジゴキシン、タムスロシン塩酸塩、テラゾシン塩酸塩との併用において薬物相互作用は認められなかった21)(外国人データ)。

    1) 本剤の承認用量は1日1回0.1又は0.5mgである。

17. 臨床成績

17.1 有効性及び安全性に関する試験

  1. 17.1.1 国際共同第Ⅱ/Ⅲ相二重盲検比較試験

    20歳から50歳の男性の男性型脱毛症患者(Norwood-Hamilton分類22)のⅢv、Ⅳ又はⅤ)917例(日本人200例を含む)を対象とし、デュタステリド(0.024)、0.1及び0.5mg)を24週間投与した際のプラセボ及びフィナステリド1mgに対する有効性及び安全性を検討した。その結果、頭頂部円内(直径2.54cm円中)の毛髪数のベースラインからの変化において、デュタステリド0.1及び0.5mgのプラセボに対する優越性及びフィナステリド1mgに対する非劣性が検証された23)(表及び図)。

    二重盲検比較試験:男性型脱毛症の男性患者にデュタステリド(0.024)、0.1及び0.5mg)を投与した時の頭頂部円内(直径2.54cm円中)の毛髪数

    プラセボ
    (181例)

    デュタステリド

    フィナステリド
    1mg(179例)

    0.02mg
    (185例)

    0.1mg
    (188例)

    0.5mg
    (184例)

    24週時

    例数

    148

    155

    158

    150

    141

    変化量
    (標準誤差)

    -4.9
    (7.89)

    17.1
    (7.74)

    63.0
    (7.67)

    89.6
    (7.87)

    56.5
    (8.12)

    プラセボとの差
    (p値)2)

    22.0
    (p=0.046)

    67.9
    (p<0.001)

    94.4
    (p<0.001)

    61.4
    (p<0.001)

    フィナステリド
    との差
    [99.165%
    信頼区間]3)

    (p値)2)

    -39.4
    [-66.1, -12.7]
    (p<0.001)

    6.5
    [-20.1, 33.1]
    (p=0.56)

    33.0
    [6.1, 60.0]
    (p=0.003)

    変化量、プラセボとの差及びフィナステリドとの差は、線形モデルに基づく調整済み平均値

    2) 有意水準は両側0.0167

    3) 24週時における99.165%の片側信頼区間の下限が、非劣性限界値-35より大きい場合非劣性が示せたとした

    二重盲検比較試験:デュタステリド(0.024)、0.1及び0.5mg)の頭頂部円内(直径2.54cm円中)の毛髪数のベースラインからの変化量の推移
     

    副作用発現頻度(デュタステリド0.02mg群を含む)は、17.1%(95/557例)であった。主な副作用は、勃起不全4.3%(24/557例)、リビドー減退3.9%(22/557例)、精液量減少1.3%(7/557例)であった24)

    4) 本剤の承認用量は1日1回0.1又は0.5mgである。

  2. 17.1.2 国内第Ⅲ相試験(長期投与試験)

    20歳から50歳の男性の男性型脱毛症患者(Norwood-Hamilton分類22)のⅢv、Ⅳ又はⅤ)120例を対象とし、デュタステリド0.5mgを52週間投与した際の安全性及び有効性を検討した。その結果、52週時の頭頂部円内(直径2.54cm円中)の毛髪数のベースラインからの変化量は、68.1本であり改善が示された。
    副作用発現頻度は、16.7%(20/120例)であった。主な副作用は、勃起不全10.8%(13/120例)、リビドー減退8.3%(10/120例)、射精障害4.2%(5/120例)であった25)

18. 薬効薬理

18.1 作用機序

デュタステリドは、テストステロンをジヒドロテストステロンへ変換する1型及び2型5α還元酵素を阻害する。ジヒドロテストステロンは男性型脱毛症に関与する主なアンドロゲンである26)

18.2 5α還元酵素阻害作用

In vitroにおいて、ヒト1型及び2型5α還元酵素を阻害した27)

18.3 血清中のジヒドロテストステロン濃度低下作用

男性の男性型脱毛症患者にデュタステリド0.1及び0.5mgを1日1回24週間反復経口投与した時の結果を下表に示す28)

男性の男性型脱毛症患者にデュタステリド0.1及び0.5mgを投与した時の血清中ジヒドロテストステロン濃度のベースラインからの変化量

評価時点

プラセボ

デュタステリド

0.1mg

0.5mg

12週時

-2.6%

-85.8%

-91.2%5)

24週時

-6.2%

-83.6%

-90.9%5)

(調整済み平均値、n=40)

5) n=39

18.4 頭皮中のジヒドロテストステロン濃度低下作用

男性の男性型脱毛症患者にデュタステリド0.1及び0.5mgを1日1回反復経口投与した時、投与6ヵ月のジヒドロテストステロン濃度はベースラインからそれぞれ血清中で65及び90%減少し、頭皮中で40及び52%減少した(調整済み平均値)。また、デュタステリド投与による頭皮中ジヒドロテストステロン濃度の低下と発毛作用(毛髪数のベースラインからの増加量)との間には関連性がみられた29)(外国人データ)。

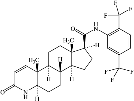
19. 有効成分に関する理化学的知見

一般的名称

デュタステリド(Dutasteride)

化学名

N-[2,5-Bis(trifluoromethyl)phenyl]-3-oxo-4-aza-5α-androst-1-ene-17β-carboxamide

分子式

C27H30F6N2O2

分子量

528.53

性状

白色~微黄色の結晶性の粉末又は粉末である。
メタノール及びエタノール(99.5)にやや溶けやすく、アセトニトリルに溶けにくく、水にほとんど溶けない。

化学構造式

20. 取扱い上の注意

光及び湿気を避けるため、PTP包装のまま保存すること。

22. 包装

30カプセル[10カプセル(PTP)×3]

23. 主要文献

1) Andriole, G. L. et al.:N Engl J Med. 2010;362:1192-1202

2) Theoret, M. R. et al.:N Engl J Med. 2011;365:97-99

3) Akaza, H. et al.:Jpn J Clin Oncol. 2011;41:417-423

4) 健康成人男性における薬物動態(ザガーロカプセル:2015年9月28日承認、申請資料概要2.7.6)

5) 男性型脱毛症患者における薬物動態(ザガーロカプセル:2015年9月28日承認、申請資料概要2.7.2.2)

6) 前立腺肥大症患者における薬物動態(アボルブカプセル:2009年7月7日承認、申請資料概要2.7.2.2)

7) 前立腺肥大症患者における薬物動態(アボルブカプセル:2009年7月7日承認、審査報告書)

8) (株)陽進堂社内資料:生物学的同等性試験

9) 食事の影響(アボルブカプセル:2009年7月7日承認、申請資料概要2.7.1.2)

10) 絶対的バイオアベイラビリティ(アボルブカプセル:2009年7月7日承認、申請資料概要2.7.6.1)

11) 血漿蛋白結合(アボルブカプセル:2009年7月7日承認、申請資料概要2.7.2.2)

12) 健康成人男性における反復経口投与(アボルブカプセル:2009年7月7日承認、申請資料概要2.7.6.2)

13) 代謝に関わるCYP分子種(アボルブカプセル:2009年7月7日承認、申請資料概要2.7.2.2)

14) CYP阻害(ザガーロカプセル:2015年9月28日承認、申請資料概要2.7.2.2)

15) CYP誘導(ザガーロカプセル:2015年9月28日承認、申請資料概要2.7.2.2)

16) 健康成人男性における単回経口投与(アボルブカプセル:2009年7月7日承認、申請資料概要2.7.6.1)

17) 健康成人男性におけるマスバランス(アボルブカプセル:2009年7月7日承認、申請資料概要2.7.6.2)

18) 高齢者における薬物動態(アボルブカプセル:2009年7月7日承認、申請資料概要2.7.6.2)

19) トランスポーター阻害(ザガーロカプセル:2015年9月28日承認、申請資料概要2.7.2.2)

20) 母集団薬物動態解析(アボルブカプセル:2009年7月7日承認、申請資料概要2.7.2.3)

21) 薬物相互作用(アボルブカプセル:2009年7月7日承認、申請資料概要2.7.2.2)

22) Norwood, O. T. et al.:South Med J. 1975;68:1359-1365

23) Gubelin, H. W. et al.:J Am Acad Dermatol. 2014;70:489-498

24) 国際共同第Ⅱ/Ⅲ相二重盲検比較試験(ザガーロカプセル:2015年9月28日承認、申請資料概要2.7.6)

25) 国内第Ⅲ相試験(長期投与試験)(ザガーロカプセル:2015年9月28日承認、申請資料概要2.7.6)

26) 臨床に関する概括評価(ザガーロカプセル:2015年9月28日承認、申請資料概要2.5.1.1)

27) Tian, G. et al.:Biochemistry. 1995;34:13453-13459

28) 血清中ジヒドロテストステロン濃度(ザガーロカプセル:2015年9月28日承認、申請資料概要2.7.2.2)

29) 男性型脱毛症患者での毛髪数の変化(ザガーロカプセル:2015年9月28日承認、申請資料概要2.7.2.2、2.7.6)

24. 文献請求先及び問い合わせ先

株式会社陽進堂 お客様相談室

富山県富山市婦中町萩島3697番地8号

0120-647-734

25. 保険給付上の注意

本剤は保険給付の対象とならない(薬価基準未収載)。

26. 製造販売業者等

26.1 製造販売元

株式会社陽進堂

富山県富山市婦中町萩島3697番地8号

〒100-0013 東京都千代田区霞が関3-3-2 新霞が関ビル

画面を閉じる

Copyright © Pharmaceuticals and Medical Devices Agency, All Rights reserved.