医療用医薬品 詳細表示

ベタメタゾンジプロピオン酸エステル軟膏0.064%「YD」

処方せん医薬品以外の医薬品

添付文書番号
企業コード
作成又は改訂年月
日本標準商品分類番号
薬効分類名
承認等
一般的名称
2.禁忌(次の患者には投与しないこと)
3.組成・性状
3.1組成
3.2製剤の性状
4.効能又は効果
5.効能又は効果に関連する注意
6.用法及び用量
8.重要な基本的注意
9.特定の背景を有する患者に関する注意
9.5妊婦
9.7小児等
9.8高齢者
11.副作用
11.1重大な副作用
11.2その他の副作用
14.適用上の注意
15.その他の注意
15.1臨床使用に基づく情報
16.薬物動態
16.2吸収
16.4代謝
16.5排泄
18.薬効薬理
18.1作用機序
18.2薬理作用
18.3生物学的同等性試験
19.有効成分に関する理化学的知見
20.取扱い上の注意
22.包装
23.主要文献
24.文献請求先及び問い合わせ先
26.製造販売業者等

ベタメタゾンジプロピオン酸エステル軟膏0.064%「YD」

添付文書番号

2646703M1175_1_04

企業コード

830001

作成又は改訂年月

2023年10月改訂(第1版)

日本標準商品分類番号

872646

薬効分類名

皮膚外用合成副腎皮質ホルモン剤

承認等

ベタメタゾンジプロピオン酸エステル軟膏0.064%「YD」

販売名コード

YJコード

2646703M1175

販売名英語表記

BETAMETHASONE DIPROPIONATE OINTMENT

販売名ひらがな

べためたぞんじぷろぴおんさんえすてるなんこう

承認番号等

承認番号

22400AMX00405

販売開始年月

2012年6月

貯法・有効期間

貯法

室温保存

有効期間

3年

規制区分

劇薬

一般的名称

ベタメタゾンジプロピオン酸エステル軟膏

2. 禁忌(次の患者には投与しないこと)

  1. 2.1 細菌・真菌・スピロヘータ・ウイルス皮膚感染症及び動物性皮膚疾患(疥癬、けじらみ等)[これらの疾患が増悪するおそれがある。]
  2. 2.2 本剤の成分に対し過敏症の既往歴のある患者
  3. 2.3 鼓膜に穿孔のある湿疹性外耳道炎[穿孔部位の治癒の遅延及び感染のおそれがある。]
  4. 2.4 潰瘍(ベーチェット病は除く)、第2度深在性以上の熱傷・凍傷[皮膚の再生が抑制され、治癒が遅延するおそれがある。]

3. 組成・性状

3.1 組成

ベタメタゾンジプロピオン酸エステル軟膏0.064%「YD」

有効成分1g中、ベタメタゾンジプロピオン酸エステル   0.64mg
添加剤流動パラフィン、ワセリン(抗酸化剤としてBHTを含む)

3.2 製剤の性状

ベタメタゾンジプロピオン酸エステル軟膏0.064%「YD」

剤形白色~微黄色の軟膏
識別コードYD727

4. 効能又は効果

  • 湿疹・皮膚炎群(進行性指掌角皮症、ビダール苔癬を含む)
  • 乾癬
  • 掌蹠膿疱症
  • 紅皮症
  • 薬疹・中毒疹
  • 虫さされ
  • 痒疹群(蕁麻疹様苔癬、ストロフルス、固定蕁麻疹を含む)
  • 紅斑症(多形滲出性紅斑、ダリエ遠心性環状紅斑、遠心性丘疹性紅斑)
  • 慢性円板状エリテマトーデス
  • 扁平紅色苔癬
  • 毛孔性紅色粃糠疹
  • 特発性色素性紫斑(マヨッキー紫斑、シャンバーグ病、紫斑性色素性苔癬様皮膚炎)
  • 肥厚性瘢痕・ケロイド
  • 肉芽腫症(サルコイドーシス、環状肉芽腫)
  • 悪性リンパ腫(菌状息肉症を含む)
  • 皮膚アミロイドージス
  • 天疱瘡群(ヘイリーヘイリー病を含む)
  • 類天疱瘡(ジューリング疱疹状皮膚炎を含む)
  • 円形脱毛症

5. 効能又は効果に関連する注意

皮膚感染を伴う湿疹・皮膚炎には使用しないことを原則とするが、やむを得ず使用する必要がある場合には、あらかじめ適切な抗菌剤(全身適用)、抗真菌剤による治療を行うか、又はこれらとの併用を考慮すること。

6. 用法及び用量

通常1日1~数回適量を塗布する。
なお、症状により適宜増減する。

8. 重要な基本的注意

  1. 8.1 皮膚萎縮、ステロイド潮紅等の局所的副作用が発現しやすいので、特に顔面、頸、陰部、間擦部位の皮疹への使用には、適応症、症状の程度を十分考慮すること。
  2. 8.2 大量又は長期にわたる広範囲の使用〔特に密封法(ODT)〕により、副腎皮質ホルモン剤を全身投与した場合と同様な症状があらわれることがあるので、特別な場合を除き長期大量使用や密封法(ODT)を極力避けること。,,,
  3. 8.3 本剤の使用により症状の改善がみられない場合又は症状の悪化をみる場合は、使用を中止すること。
  4. 8.4 症状改善後は、速やかに他のより緩和な局所療法に転換すること。

9. 特定の背景を有する患者に関する注意

9.5 妊婦

妊婦又は妊娠している可能性のある女性に対しては使用しないことが望ましい。また、大量又は長期にわたる広範囲の使用を避けること。動物試験(マウス、ウサギ:連日皮下投与)で催奇形作用1),2)が報告されている。

9.7 小児等

長期・大量使用又は密封法(ODT)は避けること。発育障害3)を来すおそれがある。
また、おむつは密封法(ODT)と同様の作用があるので注意すること。

9.8 高齢者

大量又は長期にわたる広範囲の密封法(ODT)等の使用に際しては特に注意すること。一般に副作用があらわれやすい。

11. 副作用

次の副作用があらわれることがあるので、観察を十分に行い、異常が認められた場合には投与を中止するなど適切な処置を行うこと。

11.1 重大な副作用

  1. 11.1.1 眼圧亢進、緑内障、後嚢白内障(頻度不明)

    眼瞼皮膚への使用に際しては眼圧亢進、緑内障4)、白内障を起こすことがある。
    大量又は長期にわたる広範囲の使用、密封法(ODT)により、緑内障、後嚢白内障等があらわれることがある。

11.2 その他の副作用

0.1~5%未満

0.1%未満

頻度不明

過敏症

紅斑

皮膚

一過性の刺激感

魚鱗癬様皮膚変化、皮膚乾燥

皮膚の感染症1)

細菌感染症(伝染性膿痂疹、毛嚢炎・せつ等)、真菌症(カンジダ症、白癬等)、ウイルス感染症

その他の皮膚症状2)

ざ瘡様発疹、ステロイド皮膚(皮膚萎縮、毛細血管拡張、紫斑)

多毛、色素脱失

酒さ様皮膚炎・口囲皮膚炎(ほほ、口囲等に潮紅、丘疹、膿疱、毛細血管拡張)

下垂体・副腎皮質系

下垂体・副腎皮質系機能の抑制3)

1) このような症状があらわれた場合には、適切な抗菌剤、抗真菌剤等を併用し、症状が速やかに改善しない場合には、本剤の使用を中止すること。密封法(ODT)の場合に起こりやすい。
2) 長期連用により、このような症状があらわれた場合にはその使用を差し控え、副腎皮質ホルモンを含有しない薬剤に切り替えること。
3) 大量又は長期にわたる広範囲の使用、密封法(ODT)により発現した事象。投与中止により急性副腎皮質機能不全に陥る危険性があるため、投与を中止する際は患者の状態を観察しながら徐々に減量すること。

14. 適用上の注意

14.1 薬剤交付時の注意

患者に対し以下の点に注意するよう指導すること。

  1. 14.1.1 使用時

    化粧下、ひげそり後等に使用することのないよう注意すること。

  2. 14.1.2 使用部位

    眼科用として使用しないこと。

15. その他の注意

15.1 臨床使用に基づく情報

  • 〈乾癬の治療〉

    乾癬患者に長期・大量使用した場合、治療中あるいは治療中止後に乾癬性紅皮症、膿疱性乾癬等がみられたとの報告5),6)がある。

16. 薬物動態

16.2 吸収

ラットに3H-標識ベタメタゾンジプロピオン酸エステル軟膏、クリームを密封法(ODT)により塗布した場合、24時間後の表皮における塗布量に対する残存率は、角質層の有無により著しく異なり、角質層除去皮膚では9~14%であったのに対して、健常皮膚では90~95%であった7)

16.4 代謝

ラットにおいてベタメタゾンジプロピオン酸エステルは速やかに代謝され、胆汁中及び尿中に未変化体は少なかった。主代謝物として確認されているのは、ベタメタゾン17-プロピオン酸エステル、ベタメタゾン及びそれぞれの6β位が水酸化されたものの4種類であった8)

16.5 排泄

ラットにおいてベタメタゾンジプロピオン酸エステルは尿中よりも糞中への排泄が主である。これはかなりの部分が胆汁中に排泄されるためである8)
また、塗布量に対する糞中及び尿中への合計排泄率は、角質層除去皮膚の場合、24時間以内に50~64%、72時間以内に85~87%であるが、健常皮膚の場合、24時間以内にわずか1.4~3.5%であった7)

18. 薬効薬理

18.1 作用機序

ステロイドは細胞質に存在する熱ショック蛋白質、抑制蛋白質と複合体を形成したステロイド受容体に結合後核内に移行し、ステロイド反応性の遺伝子を活性化させ、その薬理作用を発揮すると考えられている。また、血管内皮細胞やリンパ球等の細胞膜の障害を抑制するような膜の安定性に関与する作用や、フォスフォリパーゼA2と呼ばれる細胞膜リン脂質からロイコトリエンやプロスタグランジンなど種々の炎症惹起物質を誘導する重要な酵素の機能を抑える作用も知られている。
その作用機序としては、単量体のステロイドとその受容体が複合体を形成することで、NFκBやAP-1と呼ばれるサイトカイン産生の誘導や細胞接着分子の発現等を調節している細胞内転写因子の機能を抑制することで、2量体の受容体と結合した場合、リポコルチン等の誘導を介して、炎症を制御すると考えられている。免疫抑制作用に関しては、リンパ球に対する直接的な機能抑制、アポトーシスの誘導によると考えられている9)

18.2 薬理作用

  1. 18.2.1 皮膚血管収縮試験

    健康成人40例における皮膚蒼白度試験(肉眼的判定)において、0.064%ベタメタゾンジプロピオン酸エステル軟膏・クリームは0.12%ベタメタゾン吉草酸エステル軟膏・クリームに比べて強い皮膚血管収縮能を示した10)

  2. 18.2.2 クロトン油耳介皮膚炎抑制作用

    マウスの耳介にベタメタゾン吉草酸エステル及びベタメタゾンジプロピオン酸エステルを含むクロトン油を塗布し、耳介の重量を指標に抗炎症作用を評価した。ベタメタゾン吉草酸エステルの効力を100とした場合に、ベタメタゾンジプロピオン酸エステルは1回塗布で165、5日間反復塗布で371の効力比を示した11)

18.3 生物学的同等性試験

  1. 18.3.1 急性炎症抑制作用

    ベタメタゾンジプロピオン酸エステル軟膏0.064%「YD」、リンデロン-DP軟膏を塗布したラットを用いて、カラゲニン足浮腫試験を行い、浮腫率を比較した結果、コントロール群に比較し、両製剤とも有意な浮腫抑制作用が認められた。また、両製剤間の効果に有意差は認められず、両製剤の生物学的同等性が確認された12)

    また、ベタメタゾンジプロピオン酸エステル軟膏0.064%「YD」、リンデロン-DP軟膏を塗布したラットを用いて、ヒスタミン誘発背部皮膚血管透過性を測定した結果、コントロール群に比較し、両製剤とも有意な透過抑制作用が認められた。また、両製剤間の効果に有意差は認められず、両製剤の生物学的同等性が確認された12)

  2. 18.3.2 慢性炎症抑制作用

    背部皮下にコットンペレットを埋め込んだラットを用い、埋め込み部分にベタメタゾンジプロピオン酸エステル軟膏0.064%「YD」、リンデロン-DP軟膏を連続7日間塗布した。発生した肉芽腫重量を比較した結果、コントロール群に比較し、両製剤とも有意な肉芽増殖抑制作用が認められた。また、両製剤間の効果に有意差は認められず、両製剤の生物学的同等性が確認された12)

    また、右後肢足にアジュバントを注射したラットを用い、投与箇所にベタメタゾンジプロピオン酸エステル軟膏0.064%「YD」、リンデロン-DP軟膏を1日1回7日間塗布し、浮腫改善率を比較した結果、コントロール群に比較し、両製剤とも有意な浮腫抑制作用が認められ、また、両製剤間の効果に有意差は認められず、両製剤の生物学的同等性が確認された12)

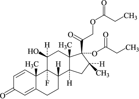
19. 有効成分に関する理化学的知見

一般的名称

ベタメタゾンジプロピオン酸エステル

(Betamethasone Dipropionate)

化学名

9-Fluoro-11β,17,21-trihydroxy-16β-methylpregna-1,4-diene-3,20-dione 17,21-dipropanoate

分子式

C28H37FO7

分子量

504.59

性状

白色~微黄白色の結晶性の粉末で、においはない。

アセトン又はクロロホルムに溶けやすく、メタノール又はエタノール(99.5)にやや溶けやすく、水にほとんど溶けない。

光によって徐々に変化する。

化学構造式

20. 取扱い上の注意

遮光して保存すること。

22. 包装

10g(チューブ)×10本

10g(チューブ)×50本

500g(プラスチック容器)

24. 文献請求先及び問い合わせ先

株式会社陽進堂 お客様相談室

富山県富山市婦中町萩島3697番地8号

 0120-647-734

26. 製造販売業者等

26.1 製造販売元

株式会社陽進堂

富山県富山市婦中町萩島3697番地8号

〒100-0013 東京都千代田区霞が関3-3-2 新霞が関ビル

画面を閉じる

Copyright © Pharmaceuticals and Medical Devices Agency, All Rights reserved.