医療用医薬品 詳細表示

フルオシノロンアセトニド軟膏0.025%「YD」

処方せん医薬品以外の医薬品

添付文書番号
企業コード
作成又は改訂年月
日本標準商品分類番号
薬効分類名
承認等
一般的名称
2.禁忌(次の患者には投与しないこと)
3.組成・性状
3.1組成
3.2製剤の性状
4.効能又は効果
5.効能又は効果に関連する注意
6.用法及び用量
8.重要な基本的注意
9.特定の背景を有する患者に関する注意
9.5妊婦
9.7小児等
9.8高齢者
11.副作用
11.1重大な副作用
11.2その他の副作用
14.適用上の注意
18.薬効薬理
18.1作用機序
18.2抗炎症作用
19.有効成分に関する理化学的知見
22.包装
23.主要文献
24.文献請求先及び問い合わせ先
26.製造販売業者等

フルオシノロンアセトニド軟膏0.025%「YD」

添付文書番号

2646709M1156_1_04

企業コード

830001

作成又は改訂年月

2023年11月改訂(第1版)

日本標準商品分類番号

872646

薬効分類名

外用合成副腎皮質ホルモン剤

承認等

フルオシノロンアセトニド軟膏0.025%「YD」

販売名コード

YJコード

2646709M1156

販売名英語表記

FLUOCINOLONE ACETONIDE OINTMENT

販売名ひらがな

ふるおしのろんあせとにどなんこう

承認番号等

承認番号

22400AMX01301

販売開始年月

2012年12月

貯法・有効期間

貯法

室温保存

有効期間

3年

一般的名称

フルオシノロンアセトニド軟膏

2. 禁忌(次の患者には投与しないこと)

  1. 2.1 細菌・真菌・スピロヘータ・ウイルス皮膚感染症及び動物性皮膚疾患(疥癬、けじらみ等)[感染症を悪化させるおそれがある。]
  2. 2.2 本剤の成分に対し過敏症の既往歴のある患者
  3. 2.3 鼓膜に穿孔のある湿疹性外耳道炎[穿孔部位の治癒の遅延及び感染のおそれがある。]
  4. 2.4 潰瘍(ベーチェット病は除く)、第2度深在性以上の熱傷・凍傷[皮膚の再生が抑制され、治癒が遅延するおそれがある。]

3. 組成・性状

3.1 組成

フルオシノロンアセトニド軟膏0.025%「YD」

有効成分1g中、フルオシノロンアセトニド   0.25mg
添加剤ゲル化炭化水素、ステアリン酸グリセリン、ポリオキシエチレンセチルエーテル、プロピレングリコール

3.2 製剤の性状

フルオシノロンアセトニド軟膏0.025%「YD」

剤形無色半透明の軟膏剤で、においはない
識別コードYD733

4. 効能又は効果

  • 湿疹・皮膚炎群(進行性指掌角皮症、女子顔面黒皮症、ビダール苔癬、放射線皮膚炎、日光皮膚炎を含む)
  • 皮膚瘙痒症
  • 痒疹群(じん麻疹様苔癬、ストロフルス、固定じん麻疹を含む)
  • 虫さされ
  • 乾癬
  • 掌蹠膿疱症
  • 薬疹・中毒疹

5. 効能又は効果に関連する注意

  1. 5.1 皮膚感染を伴う湿疹・皮膚炎には使用しないことを原則とするが、やむを得ず使用する必要がある場合には、あらかじめ適切な抗菌剤(全身適用)、抗真菌剤による治療を行うか、又はこれらとの併用を考慮すること。

6. 用法及び用量

通常1日1~数回、適量を患部に塗布する。
なお、症状により適宜増減する。

8. 重要な基本的注意

  1. 8.1 大量又は長期にわたる広範囲の密封法(ODT)等の使用により、副腎皮質ステロイド剤を全身的投与した場合と同様な症状があらわれることがある。,,,
  2. 8.2 本剤の使用により症状の改善がみられない場合又は症状の悪化がみられる場合は使用を中止すること。
  3. 8.3 症状改善後はできるだけ速やかに使用を中止すること。

9. 特定の背景を有する患者に関する注意

9.5 妊婦

妊婦又は妊娠している可能性のある女性に対しては、大量又は長期にわたる広範囲の使用を避けること。動物実験(連日皮下投与)で催奇形作用(マウス:外形異常)、胎児異常(ラット、マウス:生存率低下、発育抑制)があらわれたとの報告がある。

9.7 小児等

長期・大量使用又は密封法(ODT)により発育障害を来すおそれがある。
また、おむつは密封法(ODT)と同様の作用があるので注意すること。

9.8 高齢者

大量又は長期にわたる広範囲の密封法(ODT)等の使用に際しては特に注意すること。一般に副作用があらわれやすい。

11. 副作用

次の副作用があらわれることがあるので、観察を十分に行い、異常が認められた場合には使用を中止するなど適切な処置を行うこと。

11.1 重大な副作用

  1. 11.1.1 眼圧亢進、緑内障(いずれも頻度不明)

    眼瞼皮膚への使用に際しては、眼圧亢進、緑内障を起こすことがある。

  2. 11.1.2 後嚢白内障、緑内障(いずれも頻度不明)

    大量又は長期にわたる広範囲の使用、密封法(ODT)によりあらわれることがある。

11.2 その他の副作用

0.1~5%未満

頻度不明

皮膚の感染症1)

細菌性(伝染性膿痂疹、毛嚢炎等)感染症2)

皮膚の真菌性(カンジダ症、白癬等)感染症2)

その他の皮膚症状3)

魚鱗癬様皮膚変化、紫斑、多毛、色素脱失、乾燥、刺激感

ざ瘡疹、酒さ様皮膚炎・口囲皮膚炎(口囲、顔面全体に紅斑、丘疹、毛細血管拡張、痂皮、鱗屑を生じる)、ステロイド皮膚(皮膚萎縮、毛細血管拡張)

過敏症

発疹、接触皮膚炎、紅斑

下垂体・副腎皮質系機能

大量又は長期にわたる広範囲の使用又は密封法(ODT)による下垂体・副腎皮質系機能の抑制

1) 適切な抗真菌剤、抗菌剤等を併用し、症状が速やかに改善しない場合には、使用を中止すること。
2) 密封法(ODT)の場合起こり易い。
3) 徐々にその使用を差しひかえ、副腎皮質ステロイドを含有しない薬剤に切り換えること。
注)発現頻度は、再評価結果を含む。

14. 適用上の注意

14.1 薬剤交付時の注意

化粧下やひげそり後等に使用しないよう、患者に指導すること。

14.2 薬剤使用時の注意

眼科用として使用しないこと。

18. 薬効薬理

18.1 作用機序

コルチコステロイドは、標的細胞の細胞質内に入り、そこに存在するレセプターと結合後、核内に移行して遺伝子を活性化し、合成されたメッセンジャーRNAが細胞質内に特異的蛋白リポコルチン合成する。
細胞膜を形成するリン脂質に含まれるアラキドン酸は、ホスホリパーゼA2(PLA2)により遊離後、代謝を受けて各種のプロスタグランジン、トロンボキサン、ロイコトリエンとなり炎症に関与するが、リポコルチンはこのPLA2を阻害することにより、抗炎症作用を発現するものと考えられている1)

18.2 抗炎症作用

抗肉芽試験2)(ラット)、毛細血管収縮試験3),4)(ヒト)、乾癬試験5)(ヒト)等により優れた抗炎症作用が認められた。

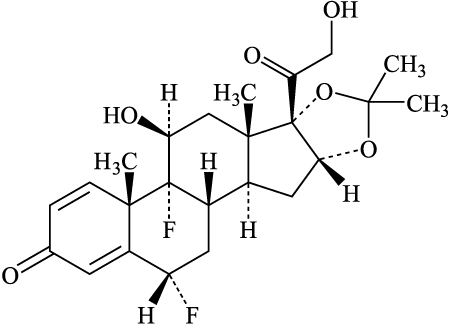
19. 有効成分に関する理化学的知見

一般的名称

フルオシノロンアセトニド

(Fluocinolone Acetonide)

化学名

6α,9-Difluoro-11β,21-dihydroxy-16α,17-(1-methylethylidenedioxy)pregna-1,4-diene-3,20-dione

分子式

C24H30F2O6

分子量

452.49

性状

白色の結晶又は結晶性の粉末である。
酢酸(100)又はアセトンに溶けやすく、エタノール(99.5)にやや溶けやすく、メタノールにやや溶けにくく、水にほとんど溶けない。
融点:266~274℃(分解)

化学構造式

22. 包装

10g(チューブ)×10本

10g(チューブ)×50本

500g(プラスチック容器)

24. 文献請求先及び問い合わせ先

株式会社陽進堂 お客様相談室

富山県富山市婦中町萩島3697番地8号

0120-647-734

26. 製造販売業者等

26.1 製造販売元

株式会社陽進堂

富山県富山市婦中町萩島3697番地8号

〒100-0013 東京都千代田区霞が関3-3-2 新霞が関ビル

画面を閉じる

Copyright © Pharmaceuticals and Medical Devices Agency, All Rights reserved.