医療用医薬品 詳細表示

ジフロラゾン酢酸エステル軟膏0.05%「YD」/ジフロラゾン酢酸エステルクリーム0.05%「YD」

処方せん医薬品以外の医薬品

添付文書番号
企業コード
作成又は改訂年月
日本標準商品分類番号
薬効分類名
承認等
一般的名称
2.禁忌(次の患者には投与しないこと)
3.組成・性状
3.1組成
3.2製剤の性状
4.効能又は効果
5.効能又は効果に関連する注意
6.用法及び用量
8.重要な基本的注意
9.特定の背景を有する患者に関する注意
9.5妊婦
9.7小児等
9.8高齢者
11.副作用
11.1重大な副作用
11.2その他の副作用
14.適用上の注意
15.その他の注意
15.1臨床使用に基づく情報
16.薬物動態
16.3分布
16.4代謝
16.5排泄
17.臨床成績
17.1有効性及び安全性に関する試験
18.薬効薬理
18.1作用機序
18.2ヒトでの作用
18.3動物での作用
18.4生物学的同等性試験
19.有効成分に関する理化学的知見
22.包装
23.主要文献
24.文献請求先及び問い合わせ先
26.製造販売業者等

ジフロラゾン酢酸エステル軟膏0.05%「YD」/ジフロラゾン酢酸エステルクリーム0.05%「YD」

添付文書番号

2646723M1180_1_05

企業コード

830001

作成又は改訂年月

2026年4月改訂(第2版)
2023年10月改訂(第1版)

日本標準商品分類番号

872646

薬効分類名

外用合成副腎皮質ホルモン剤

承認等

ジフロラゾン酢酸エステル軟膏0.05%「YD」

販売名コード

YJコード

2646723M1180

販売名英語表記

DIFLORASONE DIACETATE OINTMENT

販売名ひらがな

じふろらぞんさくさんえすてるなんこう

承認番号等

承認番号

22400AMX01272

販売開始年月

2012年12月

貯法・有効期間

貯法

室温保存

有効期間

3年

ジフロラゾン酢酸エステルクリーム0.05%「YD」

販売名コード

YJコード

2646723N1160

販売名英語表記

DIFLORASONE DIACETATE CREAM

販売名ひらがな

じふろらぞんさくさんえすてるくりーむ

承認番号等

承認番号

22400AMX01271

販売開始年月

2012年12月

貯法・有効期間

貯法

室温保存

有効期間

3年

一般的名称

ジフロラゾン酢酸エステル製剤

2. 禁忌(次の患者には投与しないこと)

  1. 2.1 細菌・真菌・スピロヘータ・ウィルス皮膚感染症及び動物性皮膚疾患(疥癬、けじらみ等)の患者[免疫機能を抑制し、症状を悪化させるおそれがある。]
  2. 2.2 本剤の成分に対し過敏症の既往歴のある患者
  3. 2.3 鼓膜に穿孔のある湿疹性外耳道炎の患者[穿孔の治癒障害を起こすおそれがある。]
  4. 2.4 潰瘍(ベーチェット病は除く)、第2度深在性以上の熱傷・凍傷のある患者[創傷修復を抑制し、症状を悪化させるおそれがある。]

3. 組成・性状

3.1 組成

ジフロラゾン酢酸エステル軟膏0.05%「YD」

有効成分1g中、ジフロラゾン酢酸エステル   0.5mg
添加剤ゲル化炭化水素、ステアリン酸グリセリン、ポリオキシエチレンセチルエーテル、プロピレングリコール

ジフロラゾン酢酸エステルクリーム0.05%「YD」

有効成分1g中、ジフロラゾン酢酸エステル   0.5mg
添加剤ステアリン酸グリセリン、プロピレングリコール、ワセリン(抗酸化剤としてBHTを含む)、ステアリルアルコール、流動パラフィン、ラウリル硫酸Na、無水ケイ酸、メチルパラベン、プロピルパラベン

3.2 製剤の性状

ジフロラゾン酢酸エステル軟膏0.05%「YD」

剤形無色半透明の軟膏剤で、においはない

ジフロラゾン酢酸エステルクリーム0.05%「YD」

剤形白色のクリーム剤で、においはない

4. 効能又は効果

  • 湿疹・皮膚炎群(ビダール苔癬、進行性指掌角皮症、脂漏性皮膚炎を含む)
  • 乾癬
  • 痒疹群(ストロフルス、じん麻疹様苔癬、固定じん麻疹を含む)
  • 掌蹠膿疱症
  • 紅皮症
  • 薬疹・中毒疹
  • 虫さされ
  • 紅斑症(多形滲出性紅斑、ダリエ遠心性環状紅斑、遠心性丘疹性紅斑)
  • 慢性円板状エリテマトーデス
  • 扁平紅色苔癬
  • 毛孔性紅色粃糠疹
  • 特発性色素性紫斑(マヨッキー紫斑、シャンバーク病、紫斑性色素性苔癬様皮膚炎を含む)
  • 肥厚性瘢痕・ケロイド
  • 肉芽腫症(サルコイドーシス、環状肉芽腫)
  • 悪性リンパ腫(菌状息肉症を含む)
  • 皮膚アミロイドーシス(アミロイド苔癬、斑状型アミロイド苔癬を含む)
  • 天疱瘡群
  • 類天疱瘡(ジューリング疱疹状皮膚炎を含む)
  • 円形脱毛症

5. 効能又は効果に関連する注意

皮膚感染を伴う場合には使用しないこと。

6. 用法及び用量

通常1日1~数回適量を患部に塗布する。

8. 重要な基本的注意

  1. 8.1 皮膚萎縮、ステロイド潮紅などの局所的副作用が発現しやすいので、特に顔面、頸、陰部、間擦部位への使用にあたっては、症状の程度を十分考慮すること。
  2. 8.2 大量又は長期にわたる広範囲の使用、密封法(ODT)により、副腎皮質ステロイド剤を全身的投与した場合と同様な症状があらわれることがあるので、長期又は大量使用、密封法(ODT)は難治性症例に対してのみ行うこと。,,,,,
  3. 8.3 症状改善後は、投与回数又は投与量を減少させるなど、より緩和な局所療法への転換を考慮すること。

9. 特定の背景を有する患者に関する注意

9.5 妊婦

妊婦又は妊娠している可能性のある女性には治療上の有益性が危険性を上回ると判断される場合にのみ投与すること。ウサギで催奇形作用(口蓋裂等)が報告されている1)

9.7 小児等

  1. 9.7.1 長期使用又は密封法(ODT)は避けること。発育障害を来すおそれがある。
  2. 9.7.2 おむつの使用に注意すること。密封法(ODT)と同様の作用がある。

9.8 高齢者

大量又は長期にわたる広範囲の密封法(ODT)等の使用に際しては特に注意すること。一般に副作用があらわれやすい。

11. 副作用

次の副作用があらわれることがあるので、観察を十分に行い、異常が認められた場合には使用を中止するなど適切な処置を行うこと。

11.1 重大な副作用

  1. 11.1.1 皮膚の細菌・真菌感染症(0.53%)

    皮膚の細菌性感染症(伝染性膿痂疹、毛囊炎等)、真菌性感染症(カンジダ症、白癬等)があらわれることがある。このような場合には、適切な抗菌剤、抗真菌剤等を併用し、症状が速やかに改善しない場合には、使用を中止すること。密封法(ODT)の場合、起こりやすい。

  2. 11.1.2 下垂体・副腎皮質系機能抑制(0.01%)

    大量又は長期にわたる広範囲の使用、密封法(ODT)により、下垂体・副腎皮質系機能の抑制を来すことがあるので、短期の使用が望ましい。特別の場合を除き、密封法(ODT)や長期又は大量使用は避けること。

  3. 11.1.3 後囊白内障・緑内障(頻度不明)

    眼瞼皮膚への使用に際しては、眼圧亢進、緑内障を起こすことがある。大量又は長期にわたる広範囲の使用、密封法(ODT)により、後囊白内障、緑内障等があらわれることがある。

11.2 その他の副作用

0.1~1%未満

0.1%未満

皮膚1)

長期連用によるステロイド皮膚2) 、ステロイドざ瘡3) 、酒さ様皮膚炎・口囲皮膚炎

乾燥
長期連用による色素脱失、多毛、魚鱗癬様皮膚変化

過敏症

皮膚の刺激感

そう痒、発疹、灼熱感、接触皮膚炎

1) このような場合には徐々にその使用を差し控え、副腎皮質ステロイドを含有しない薬剤に切り替えること。
2) ステロイド皮膚:皮膚萎縮、線条、毛細血管拡張、紫斑
3) ステロイドざ瘡:ほほ、口囲等に潮紅、丘疹、膿疱、毛細血管拡張を生じる。

14. 適用上の注意

14.1 薬剤交付時の注意

化粧下、ひげそり後等に使用することのないよう注意すること。

14.2 薬剤投与時の注意

  1. 14.2.1 皮膚外用剤として用法・用量にしたがって使用し、眼科用として使用しないこと。
  2. 14.2.2 密封法(ODT)により副作用はより発現しやすくなり、また、皮膚の浸軟又は汗疹があらわれることがあるので、特別な場合を除き、密封法(ODT)は避けること。特に、広範囲の密封法(ODT)により体温調節が難しくなるおそれがあるので、体温上昇がみられる場合には密封法(ODT)を行わないこと。

15. その他の注意

15.1 臨床使用に基づく情報

  1. 15.1.1 類薬(外国)で、乾癬患者に長期大量使用した場合、治療中あるいは治療中止後、乾癬性紅皮症、膿疱性乾癬等がみられたとの報告がある。
  2. 15.1.2 類薬(外国)で、頭蓋内圧亢進がみられたとの報告がある。

16. 薬物動態

16.3 分布

3H-ジフロラゾン酢酸エステル軟膏及びクリームをラットに経皮投与した結果、ジフロラゾン酢酸エステルはほぼ全身に分布するが、主に肝臓、腎臓、副腎、消化管内容物に分布し、また、塗布部位の皮膚内に長時間にわたり残留が認められた2)

16.4 代謝

3H-ジフロラゾン酢酸エステル軟膏及びクリームをラットに経皮投与した結果、皮膚移行後、速やかに代謝をうけ、diflorasone 17-acetate、diflorasone 21-acetate及びdiflorasoneとなる2),3)

16.5 排泄

3H-ジフロラゾン酢酸エステル軟膏及びクリームを経皮投与した結果、ラットでは主として糞中に、ウサギでは主に尿中に排泄された3)

17. 臨床成績

17.1 有効性及び安全性に関する試験

  1. 17.1.1 国内臨床試験

    国内36施設で実施された5種類の比較試験を含む臨床試験(臨床効果判定症例数:軟膏986例、クリーム761例)の概要は次のとおりである4),5),6),7),8),9),10)

    1. (1) 比較試験

      0.12%ベタメタゾン吉草酸エステル軟膏及びクリームとの比較試験は、湿疹・皮膚炎群、乾癬、痒疹群及び紅皮症を対象に実施され、ジフロラゾン酢酸エステル軟膏及びクリームの有用性が確認された5),6),7),8)

    2. (2) 疾患別・剤型別効果

      各種疾患の有効率は下表のとおりで、軟膏90.6%(893/986)、クリーム91.1%(693/761)であった4),5),6),7),8),9),10)

      疾患名

      軟膏

      クリーム

      有効症例数/
      症例数

      有効率

      (%)

      有効症例数/
      症例数

      有効率

      (%)

      合計

      893/986

      90.6

      693/761

      91.1

      • 湿疹・皮膚炎群
        • 急性湿疹、接触皮膚炎、貨幣状湿疹、自家感作皮膚炎、アトピー皮膚炎、慢性湿疹、ビダール苔癬、進行性指掌角皮症、脂漏性皮膚炎

      273/287

      95.1

      179/184

      97.3

      • 乾癬

      152/168

      90.5

      65/72

      90.3

      • 痒疹群
        • 急性痒疹(ストロフルス)、じん麻疹様苔癬、結節性痒疹(固定じん麻疹)、亜急性痒疹、慢性痒疹

      95/96

      99.0

      79/85

      92.9

      • 掌蹠膿疱症

      37/43

      86.0

      30/33

      90.9

      • 紅皮症
        • 原発性紅皮症、続発性紅皮症

      56/59

      94.9

      45/50

      90.0

      • 薬疹・中毒疹

      31/31

      100

      32/32

      100

      • 虫さされ

      32/32

      100

      29/29

      100

      • 紅斑症
        • 多形滲出性紅斑、遠心性丘疹性紅斑、ダリエ遠心性環状紅斑

      20/23

      87.0

      26/26

      100

      • 慢性円板状エリテマトーデス

      29/31

      93.5

      30/31

      96.8

      • 扁平(紅色)苔癬

      22/24

      91.7

      25/25

      100

      • 毛孔性紅色粃糠疹

      13/14

      92.9

      7/9

      77.8

      • 特発性色素性紫斑
        • マヨッキー(血管拡張性環状)紫斑、シャンバーク病、紫斑性色素性苔癬様皮膚炎

      26/31

      83.9

      29/31

      93.5

      • 肥厚性瘢痕・ケロイド

      22/33

      66.7

      20/31

      64.5

      • 肉芽腫症
        • サルコイドーシス、環状肉芽腫

      17/17

      100

      16/21

      76.2

      • 悪性リンパ腫(菌状息肉症を含む)

      17/22

      77.3

      15/19

      78.9

      • 皮膚アミロイドーシス
        • アミロイド苔癬、斑状型アミロイド苔癬、その他皮膚アミロイドーシス

      13/15

      86.7

      21/23

      91.3

      • 天疱瘡群
        • 天疱瘡、家族性良性慢性天疱瘡

      14/20

      70.0

      12/13

      92.3

      • 類天疱瘡(ジューリング疱疹状皮膚炎を含む)

      10/14

      71.4

      11/11

      100

      • 円形脱毛症

      14/26

      53.8

      22/36

      61.1

18. 薬効薬理

18.1 作用機序

アラキドン酸代謝の抑制、炎症・免疫担当細胞の抑制などの作用が総合的に作用して抗炎症効果を発揮するものと考えられる11)

18.2 ヒトでの作用

  1. 18.2.1 血管収縮作用

    ヒト皮膚での血管収縮試験において、ジフロラゾン酢酸エステルの血管収縮能は、クロベタゾールプロピオン酸エステルと同等で、ベタメタゾン吉草酸エステル及びヒドロコルチゾン酪酸エステルより有意に優れている12)

  2. 18.2.2 局所皮膚への影響

    ヒト皮膚に6週間密封塗布したとき、皮膚の厚さの減少を指標にしたジフロラゾン酢酸エステルによる皮膚菲薄化は、ベタメタゾン吉草酸エステルとほぼ同等で、クロベタゾールプロピオン酸エステルより有意に弱い13)

18.3 動物での作用

  1. 18.3.1 抗炎症作用

    マウスのクロトン油又はピクリールクロライドによる耳浮腫及び抗ラットウサギ血清によるラット皮膚浮腫等の急性炎症を抑制するとともに、ラットの肉芽増殖、創傷治癒及びアジュバント関節炎等の増殖性炎症及びマウスのアレルギー性炎症を抑制する14)

  2. 18.3.2 全身への影響

    ラットのアジュバント関節炎において、胸腺及び脾臓の重量を減少させるが、副腎及びリンパ節の重量は減少させない。濾紙埋込み法において胸腺の重量を減少させる14)

18.4 生物学的同等性試験

  • 〈ジフロラゾン酢酸エステル軟膏0.05%「YD」〉
    • 18.4.1 急性炎症抑制作用

      ジフロラゾン酢酸エステル軟膏0.05%「YD」、ジフラール軟膏0.05%を塗布したラットを用いて、カラゲニン足浮腫試験を行い、浮腫率を比較した結果、コントロール群に比較し、両製剤とも有意な浮腫抑制作用が認められた。また、両製剤間の効果に有意差は認められず、両製剤の生物学的同等性が確認された15)

      また、ジフロラゾン酢酸エステル軟膏0.05%「YD」、ジフラール軟膏0.05%を塗布したラットを用いて、ヒスタミン誘発背部皮膚血管透過性を測定した結果、コントロール群に比較し、両製剤とも有意な透過抑制作用が認められた。また、両製剤間の効果に有意差は認められず、両製剤の生物学的同等性が確認された15)

    • 18.4.2 慢性炎症抑制作用

      背部皮下にpaper discを埋め込んだラットを用い、埋め込み部分にジフロラゾン酢酸エステル軟膏0.05%「YD」、ジフラール軟膏0.05%を連続7日間塗布した。発生した肉芽腫重量を比較した結果、コントロール群に比較し、両製剤とも有意な肉芽増殖抑制作用が認められた。また、両製剤間の効果に有意差は認められず、両製剤の生物学的同等性が確認された15)

  • 〈ジフロラゾン酢酸エステルクリーム0.05%「YD」〉
    • 18.4.3 急性炎症抑制作用

      ジフロラゾン酢酸エステルクリーム0.05%「YD」、ジフラールクリーム0.05%を塗布したラットを用いて、カラゲニン足浮腫試験を行い、浮腫率を比較した結果、コントロール群に比較し、両製剤とも有意な浮腫抑制作用が認められた。また、両製剤間の効果に有意差は認められず、両製剤の生物学的同等性が確認された16)

      また、ジフロラゾン酢酸エステルクリーム0.05%「YD」、ジフラールクリーム0.05%を塗布したラットを用いて、ヒスタミン誘発背部皮膚血管透過性を測定した結果、コントロール群に比較し、両製剤とも有意な透過抑制作用が認められた。また、両製剤間の効果に有意差は認められず、両製剤の生物学的同等性が確認された16)

    • 18.4.4 慢性炎症抑制作用

      背部皮下にpaper discを埋め込んだラットを用い、埋め込み部分にジフロラゾン酢酸エステルクリーム0.05%「YD」、ジフラールクリーム0.05%を連続7日間塗布した。発生した肉芽腫重量を比較した結果、コントロール群に比較し、両製剤とも有意な肉芽増殖抑制作用が認められた。また、両製剤間の効果に有意差は認められず、両製剤の生物学的同等性が確認された16)

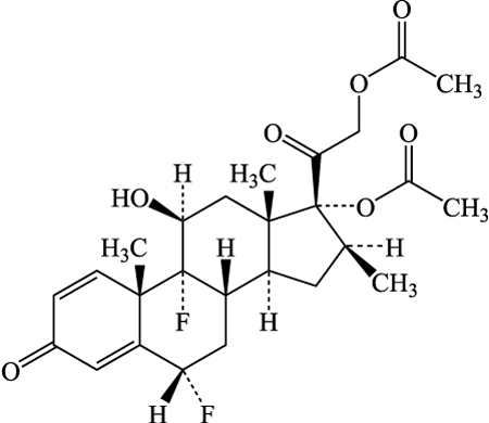
19. 有効成分に関する理化学的知見

一般的名称

ジフロラゾン酢酸エステル

(Diflorasone Diacetate)

化学名

6α,9-Difluoro-11β,17,21-trihydroxy-16β-methylpregna-1,4-diene-3,20-dione 17,21-diacetate

分子式

C26H32F2O7

分子量

494.52

性状

白色~微黄色の結晶又は結晶性の粉末である。
アセトニトリルにやや溶けやすく、エタノール(99.5)に溶けにくく、水にほとんど溶けない。

融点:約222℃(分解)

化学構造式

22. 包装

  • ジフロラゾン酢酸エステル軟膏0.05%「YD」

    10g(チューブ)×10本

    10g(チューブ)×50本

    500g(プラスチック容器)

  • ジフロラゾン酢酸エステルクリーム0.05%「YD」

    10g(チューブ)×10本

    10g(チューブ)×50本

    500g(プラスチック容器)

24. 文献請求先及び問い合わせ先

*陽進堂ホールディングス株式会社 お客様相談室

*富山県富山市婦中町萩島3697番地の8

 0120-647-734

26. 製造販売業者等

26.1 *製造販売元

陽進堂ホールディングス株式会社

富山県富山市婦中町萩島3697番地の8

〒100-0013 東京都千代田区霞が関3-3-2 新霞が関ビル

画面を閉じる

Copyright © Pharmaceuticals and Medical Devices Agency, All Rights reserved.