医療用医薬品 詳細表示

テラ・コートリル軟膏

添付文書番号

2647705M1023_4_06

企業コード

830001

作成又は改訂年月

2026年4月改訂(第2版)
2023年10月改訂(第1版)

日本標準商品分類番号

872647

薬効分類名

抗生物質・副腎皮質ホルモン配合剤

承認等

テラ・コートリル軟膏

販売名コード

YJコード

2647705M1023

販売名英語表記

TERRA-CORTRIL OINTMENT

販売名ひらがな

てらこーとりるなんこう

承認番号等

承認番号

13528KUZ08088

販売開始年月

1957年9月

貯法・有効期間

貯法

室温保存

有効期間

5年

一般的名称

オキシテトラサイクリン塩酸塩軟膏(ヒドロコルチゾン含有)

2. 禁忌(次の患者には投与しないこと)

  1. 2.1 オキシテトラサイクリン耐性菌又は非感性菌による皮膚感染のある患者[感染症を増悪させることがある。]
  2. 2.2 真菌症(白癬、カンジダ症等)、皮膚結核、単純疱疹、水痘、種痘疹のある患者[感染症を増悪させることがある。]
  3. 2.3 本剤の成分又はテトラサイクリン系抗生物質に対し過敏症の既往歴のある患者
  4. 2.4 潰瘍(ベーチェット病を除く)、第2度深在性以上の熱傷・凍傷のある患者[治癒をさまたげることがある。]

3. 組成・性状

3.1 組成

テラ・コートリル軟膏

1g中
有効成分オキシテトラサイクリン塩酸塩   30mg(力価)
ヒドロコルチゾン   10mg
添加剤ワセリン(抗酸化剤としてBHTを含む)、流動パラフィン

3.2 製剤の性状

テラ・コートリル軟膏

剤形淡黄~黄色の軟膏

4. 効能又は効果

〈適応菌種〉

オキシテトラサイクリン感性菌

〈適応症〉

〇深在性皮膚感染症、慢性膿皮症

〇湿潤、びらん、結痂を伴うか、又は二次感染を併発している次の疾患:
湿疹・皮膚炎群(進行性指掌角皮症、ビダール苔癬、放射線皮膚炎、日光皮膚炎を含む)

〇外傷・熱傷及び手術創等の二次感染

〇歯周組織炎、感染性口内炎、舌炎

6. 用法及び用量

通常、1日1~数回直接患部に塗布又は塗擦するか、あるいは無菌ガーゼ等にのばして貼付する。

口腔内疾患には毎日又は隔日に少量宛患部に注入又は塗擦する。

なお、症状により適宜増減する。

8. 重要な基本的注意

  1. 8.1 本剤の投与にあたっては、耐性菌の発現等を防ぐため、原則として感受性を確認し、疾病の治療上必要な最小限の期間の投与にとどめること。
  2. 8.2 感作されるおそれがあるので、観察を十分に行い感作されたことを示す兆候(そう痒、発赤、腫脹、丘疹、小水疱等)があらわれた場合には投与を中止すること。
  3. 8.3 大量又は長期にわたる広範囲の密封法(ODT)等により副腎皮質ステロイド剤を全身投与した場合と同様な症状があらわれることがある。

9. 特定の背景を有する患者に関する注意

9.5 妊婦

妊婦又は妊娠している可能性のある女性には治療上の有益性が危険性を上回ると判断される場合にのみ投与すること。大量又は長期にわたる広範囲の投与を避けること。

9.7 小児等

長期・大量投与又は密封法(ODT)により発育障害を来すという報告がある。

11. 副作用

次の副作用があらわれることがあるので、観察を十分に行い、異常が認められた場合には投与を中止するなど適切な処置を行うこと。

11.2 その他の副作用

頻 度 不 明

皮膚の感染症

オキシテトラサイクリン耐性菌又は非感性菌による感染症、真菌症(白癬、カンジダ症等)、ウイルス感染症

過敏症

皮膚の刺激感、発疹、接触性皮膚炎

その他の皮膚症状1)

長期連用によりステロイド痤瘡(尋常性痤瘡に似るが、白色の面皰が多発する傾向がある。)、ステロイド皮膚(皮膚萎縮、毛細血管拡張)、魚鱗癬様皮膚変化、紫斑、多毛、色素脱失

下垂体・副腎皮質系機能

大量又は長期にわたる広範囲の投与、密封法(ODT)により、下垂体・副腎皮質系機能の抑制

眼瞼皮膚への投与により、眼圧亢進、緑内障

大量又は長期にわたる広範囲の投与、密封法(ODT)により、後嚢白内障、緑内障

1) 症状があらわれた場合には徐々にその投与を差し控え、副腎皮質ステロイドを含有しない薬剤に切り替えること。

18. 薬効薬理

18.1 作用機序

本剤は抗生物質であるオキシテトラサイクリン塩酸塩と、副腎皮質ホルモンのヒドロコルチゾンを配合することにより、抗菌作用と抗炎症作用を発揮する。

18.2 抗菌作用

オキシテトラサイクリンはin vitroにおいてグラム陽性菌、グラム陰性菌、スピロヘータ、リケッチア、クラミジアなどの微生物に対し広い抗菌作用を示し1),2)、その作用は細菌の蛋白合成阻害による。

18.3 抗炎症作用

ヒドロコルチゾンは、ヒト皮膚での炎症反応抑制試験において、優れた抗炎症、抗アレルギー作用を有し、炎症に伴って起こる局所の熱感、発赤、腫脹などを防止・抑制することが認められた3),4)

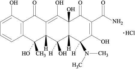
19. 有効成分に関する理化学的知見

19.1 オキシテトラサイクリン塩酸塩

一般的名称

オキシテトラサイクリン塩酸塩
(Oxytetracycline Hydrochloride)

化学名

(4S,4aR,5S,5aR,6S,12aS)-4-Dimethylamino-3,5,6,10,12,12a-hexahydroxy-6-methyl-1,11-dioxo-1,4,4a,5,5a,6,11,12a-octahydrotetracene-2-carboxamide monohydrochloride

分子式

C22N24N2O9・HCl

分子量

496.89

性状

黄色の結晶又は結晶性の粉末である。

水に溶けやすく、エタノール(99.5)に溶けにくい。

化学構造式

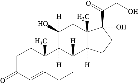
19.2 ヒドロコルチゾン

一般的名称

ヒドロコルチゾン(Hydrocortisone)

化学名

11β,17,21-Trihydroxypregn-4-ene-3,20-dione

分子式

C21H30O5

分子量

362.46

性状

白色の結晶性の粉末である。

メタノール又はエタノール(99.5)にやや溶けにくく、水に極めて溶けにくい。

融点:212~220℃(分解)

化学構造式

22. 包装

5g(チューブ)×50本

25g(チューブ)×1本

24. 文献請求先及び問い合わせ先

*陽進堂ホールディングス株式会社 お客様相談室

*富山県富山市婦中町萩島3697番地の8

 0120-647-734

26. 製造販売業者等

26.1 *製造販売元

陽進堂ホールディングス株式会社

富山県富山市婦中町萩島3697番地の8

〒100-0013 東京都千代田区霞が関3-3-2 新霞が関ビル

画面を閉じる

Copyright © Pharmaceuticals and Medical Devices Agency, All Rights reserved.