医療用医薬品 詳細表示

メコバラミン錠500μg「YD」

処方せん医薬品以外の医薬品

添付文書番号
企業コード
作成又は改訂年月
日本標準商品分類番号
薬効分類名
承認等
一般的名称
3.組成・性状
3.1組成
3.2製剤の性状
4.効能又は効果
6.用法及び用量
8.重要な基本的注意
9.特定の背景を有する患者に関する注意
9.7小児等
11.副作用
11.2その他の副作用
14.適用上の注意
15.その他の注意
15.2非臨床試験に基づく情報
16.薬物動態
16.1血中濃度
17.臨床成績
17.1有効性及び安全性に関する試験
18.薬効薬理
18.1作用機序
18.2神経細胞内小器官へよく移行し、核酸・蛋白合成を促進
18.3軸索内輸送、軸索再生の促進
18.4髄鞘形成(リン脂質合成)の促進
18.5神経伝達物質の減少を回復
19.有効成分に関する理化学的知見
20.取扱い上の注意
22.包装
23.主要文献
24.文献請求先及び問い合わせ先
26.製造販売業者等

メコバラミン錠500μg「YD」

添付文書番号

3136004F2235_1_03

企業コード

830001

作成又は改訂年月

2023年12月改訂(第1版)

日本標準商品分類番号

873136

薬効分類名

末梢性神経障害治療剤

承認等

メコバラミン錠500μg「YD」

販売名コード

YJコード

3136004F2235

販売名英語表記

MECOBALAMIN TABLETS

販売名ひらがな

めこばらみんじょう

承認番号等

承認番号

22500AMX00489

販売開始年月

1984年6月

貯法・有効期間

貯法

室温保存

有効期間

3年

基準名

日本薬局方

メコバラミン錠

一般的名称

メコバラミン錠

3. 組成・性状

3.1 組成

メコバラミン錠500μg「YD」

有効成分1錠中、メコバラミン   500μg
添加剤乳糖水和物、セルロース、ヒドロキシプロピルセルロース、カルメロースCa、ステアリン酸Mg、酸化チタン、タルク、カルナウバロウ、赤色102号

3.2 製剤の性状

メコバラミン錠500μg「YD」

剤形赤色のフィルムコーティング錠
外形表面
裏面
側面
大きさ直径約7.1mm
厚さ約3.9mm
質量151mg
識別コードYD242

4. 効能又は効果

末梢性神経障害

6. 用法及び用量

通常、成人は1日3錠(メコバラミンとして1日1500μg)を3回にわけて経口投与する。

ただし、年齢及び症状により適宜増減する。

8. 重要な基本的注意

本剤投与で効果が認められない場合、月余にわたって漫然と使用すべきでない。

9. 特定の背景を有する患者に関する注意

9.7 小児等

小児等を対象とした臨床試験は実施していない。

11. 副作用

次の副作用があらわれることがあるので、観察を十分に行い、異常が認められた場合には投与を中止するなど適切な処置を行うこと。

11.2 その他の副作用

0.1~5%未満

0.1%未満

消化器

食欲不振、悪心・嘔吐、下痢

過敏症

発疹

注)発現頻度は製造販売後調査を含む。

14. 適用上の注意

14.1 薬剤交付時の注意

PTP包装の薬剤はPTPシートから取り出して服用するよう指導すること。PTPシートの誤飲により、硬い鋭角部が食道粘膜へ刺入し、更には穿孔をおこして縦隔洞炎等の重篤な合併症を併発することがある。

15. その他の注意

15.2 非臨床試験に基づく情報

水銀及びその化合物を取り扱う職業従事者に長期にわたって大量に投与することは避けることが望ましい。

16. 薬物動態

16.1 血中濃度

  1. 16.1.1 単回投与

    健康成人男子にメコバラミン120μg、1,500μg3)を絶食下単回経口投与した場合、いずれの投与量においても投与後約3時間で最高血中濃度に達し、濃度依存による吸収が観察された。半減期、血清中総ビタミンB12(以下B12)濃度の投与12時間までの増加分及びΔAUC0-12を下表に示し、血清中総B12濃度の推移を下図に示した。
    尿中総B12排泄量は投与後8時間までに投与後24時間排泄量の40~90%が排泄された1)

    血清中総B12濃度の増加分

    投与量

    Tmax
    (hr)

    Cmax
    (pg/mL)

    ΔCmax
    (pg/mL)

    ΔCmax%
    (%)

    ΔAUC0-121)
    (pg・hr/mL)

    t1/22)
    (hr)

    120μg

    2.8±0.2

    743±47

    37±15

    5.1±2.1

    168±58

    算出不能

    1500μg

    3.6±0.5

    972±55

    255±51

    36.0±7.9

    2033±510

    12.5

    (平均値±標準誤差、n=8)

    1) 投与前値に対する投与後12時間までの実測値の増加分から台形公式により算出

    2) 投与後24~48時間の平均値から算出

    3) 本剤の承認された用法及び用量は「通常、成人はメコバラミンとして1日1,500μgを3回に分けて経口投与する。ただし、年齢及び症状により適宜増減する。」である。

  2. 16.1.2 反復投与

    健康成人男子に1,500μgを12週間反復経口投与し、投与中止後4週間の血清中総B12量の変動率を検討した。投与4週間で投与前値の約2倍に達し、以後も漸増し、12週後には約2.8倍を示した。投与中止4週後でも投与前値の約1.8倍を示した2),3)

17. 臨床成績

17.1 有効性及び安全性に関する試験

  1. 17.1.1 国内臨床試験(用量比較試験)

    末梢性神経障害に対して、メコバラミンとして1日1,500μg及び1日120μg(低用量群)を4週間反復経口投与し、二重盲検比較試験を行った。慢性期及び固定期の症例に対して、メコバラミンの改善率は改善以上で1,500μgが17.6%(6/34)、120μgが9.7%(3/31)、やや改善以上で1,500μgが64.7%(22/34)、120μgが41.9%(13/31)であり、1,500μg/日投与の有用性が認められた4)

  2. 17.1.2 国内臨床試験(コバマミド及びプラセボ対照比較試験)

    末梢神経障害に対してメコバラミン1日1,500μg、コバマミド1日1,500μg及びプラセボを4週間反復経口投与し、二重盲検比較試験を行った。全般改善度は中等度改善以上で、メコバラミン投与群38.6%(17/44)、コバマミド投与群22.2%(10/45)、プラセボ投与群26.7%(12/45)であり、メコバラミンの有用性が認められた5)

  3. 17.1.3 末梢神経障害に対する臨床効果

    末梢神経障害による症状(しびれ、疼痛、知覚鈍麻等)を訴えた患者を対象に、本剤をメコバラミンとして1日1500μg3分割投与し、臨床成績を評価したところ、有効率は65.8%(54/82)であった6)

18. 薬効薬理

18.1 作用機序

メコバラミンは生体内補酵素型ビタミンB12の1種であり、ホモシステインからメチオニンを合成するメチオニン合成酵素の補酵素として働き、メチル基転位反応に重要な役割を果たす3)

18.2 神経細胞内小器官へよく移行し、核酸・蛋白合成を促進

シアノコバラミンに比し、神経細胞内の小器官への移行がよい(ラット)。また、脳由来細胞・脊髄神経細胞の実験系で、デオキシウリジンからチミジンへの合成系に関与し、貯蔵型葉酸の利用促進とともに核酸代謝にも関与し、核酸・蛋白の合成を促進する7),8)(ラット)。

18.3 軸索内輸送、軸索再生の促進

ストレプトゾトシン投与による実験的糖尿病ラットの坐骨神経細胞で、軸索の骨格蛋白の輸送を正常化する。アドリアマイシン、アクリルアミドによる薬物性神経障害(ラット)及び軸索変性モデルマウス、自然発症糖尿病ラットの神経障害に対して、神経病理学的、電気生理学的に変性神経の出現を抑制する9),10),11),12),13)

18.4 髄鞘形成(リン脂質合成)の促進

髄鞘の構成成分であるレシチンの合成を促進し、培養神経組織で神経線維の髄鞘形成率を高める3)(ラット)。

18.5 神経伝達物質の減少を回復

コリン欠乏食ラットで低下した脳内アセチルコリン量を正常化する14)

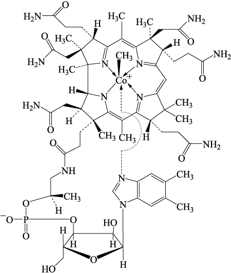
19. 有効成分に関する理化学的知見

一般的名称

メコバラミン(Mecobalamin)

化学名

Coα-[α-(5,6-Dimethyl-1H-benzimidazol-1-yl)]-Coβ-methylcobamide

分子式

C63H91CoN13O14P

分子量

1344.38

性状

暗赤色の結晶又は結晶性の粉末である。
水にやや溶けにくく、エタノール(99.5)に溶けにくく、アセトニトリルにほとんど溶けない。
光によって分解する。

化学構造式

20. 取扱い上の注意

PTP包装はアルミピロー包装開封後、バラ包装はアルミ袋開封後、湿気を避けて遮光して保存すること。

22. 包装

  • 100錠[10錠(PTP)×10、乾燥剤入り]
    1000錠[10錠(PTP)×100、乾燥剤入り]
    1000錠(アルミ袋)

24. 文献請求先及び問い合わせ先

株式会社陽進堂 お客様相談室

富山県富山市婦中町萩島3697番地8号

0120-647-734

26. 製造販売業者等

26.1 製造販売元

株式会社陽進堂

富山県富山市婦中町萩島3697番地8号

〒100-0013 東京都千代田区霞が関3-3-2 新霞が関ビル

画面を閉じる

Copyright © Pharmaceuticals and Medical Devices Agency, All Rights reserved.