医療用医薬品 詳細表示

カルバゾクロムスルホン酸Na錠30mg「YD」

処方せん医薬品以外の医薬品

添付文書番号
企業コード
作成又は改訂年月
日本標準商品分類番号
薬効分類名
承認等
一般的名称
3.組成・性状
3.1組成
3.2製剤の性状
4.効能又は効果
6.用法及び用量
9.特定の背景を有する患者に関する注意
9.1合併症・既往歴等のある患者
9.5妊婦
9.6授乳婦
9.7小児等
9.8高齢者
11.副作用
11.2その他の副作用
12.臨床検査結果に及ぼす影響
14.適用上の注意
17.臨床成績
17.1有効性及び安全性に関する試験
18.薬効薬理
18.1作用機序
18.2血管透過性抑制作用
18.3細血管抵抗値増強作用
18.4出血時間短縮作用
18.5血小板、血液凝固系に対する作用
18.6呼吸系、循環系に対する作用
19.有効成分に関する理化学的知見
22.包装
23.主要文献
24.文献請求先及び問い合わせ先
26.製造販売業者等

カルバゾクロムスルホン酸Na錠30mg「YD」

添付文書番号

3321002F2412_1_06

企業コード

830001

作成又は改訂年月

2026年4月改訂(第2版)
2024年2月改訂(第1版)

日本標準商品分類番号

873321

薬効分類名

血管強化・止血剤

承認等

カルバゾクロムスルホン酸Na錠30mg「YD」

販売名コード

YJコード

3321002F2412

販売名英語表記

CARBAZOCHROME SULFONATE Na TABLETS

販売名ひらがな

かるばぞくろむするほんさんなとりうむじょう

承認番号等

承認番号

22500AMX00499

販売開始年月

1981年9月

貯法・有効期間

貯法

室温保存

有効期間

3年

一般的名称

カルバゾクロムスルホン酸ナトリウム水和物錠

3. 組成・性状

3.1 組成

カルバゾクロムスルホン酸Na錠30mg「YD」

有効成分1錠中、カルバゾクロムスルホン酸ナトリウム水和物   30mg
添加剤乳糖水和物、タルク、セルロース、ポビドン、カルメロースCa、ステアリン酸Mg

3.2 製剤の性状

カルバゾクロムスルホン酸Na錠30mg「YD」

剤形橙黄色の素錠
外形表面
裏面
側面
大きさ直径約8mm
厚さ約3.7mm
質量200mg

4. 効能又は効果

  • 毛細血管抵抗性の減弱及び透過性の亢進によると考えられる出血傾向(例えば紫斑病など)
  • 毛細血管抵抗性の減弱による皮膚あるいは粘膜及び内膜からの出血、眼底出血・腎出血・子宮出血
  • 毛細血管抵抗性の減弱による手術中・術後の異常出血

6. 用法及び用量

カルバゾクロムスルホン酸ナトリウム水和物として、通常成人1日30mg~90mgを3回に分割経口投与する。なお、年齢、症状により適宜増減する。

9. 特定の背景を有する患者に関する注意

9.1 合併症・既往歴等のある患者

  1. 9.1.1 本剤の成分に対し過敏症の既往歴のある患者

9.5 妊婦

妊婦又は妊娠している可能性のある女性には、治療上の有益性が危険性を上回ると判断される場合にのみ投与すること。

9.6 授乳婦

治療上の有益性及び母乳栄養の有益性を考慮し、授乳の継続又は中止を検討すること。

9.7 小児等

小児等を対象とした臨床試験は実施していない。

9.8 高齢者

減量するなど注意すること。一般に生理機能が低下している。

11. 副作用

次の副作用があらわれることがあるので、観察を十分に行い、異常が認められた場合には投与を中止するなど適切な処置を行うこと。

11.2 その他の副作用

0.1~5%未満

0.1%未満

頻度不明

消化器

食欲不振、胃部不快感

悪心、嘔吐

過敏症

発疹、そう痒

注)再評価結果を含む

12. 臨床検査結果に及ぼす影響

本剤の代謝物により、尿ウロビリノーゲン試験が陽性になることがある。
また、だいだい黄色がかった着色尿があらわれることがある。

14. 適用上の注意

14.1 薬剤交付時の注意

PTP包装の薬剤はPTPシートから取り出して服用するよう指導すること。PTPシートの誤飲により、硬い鋭角部が食道粘膜へ刺入し、更には穿孔をおこして縦隔洞炎等の重篤な合併症を併発することがある。

17. 臨床成績

17.1 有効性及び安全性に関する試験

  1. 17.1.1 国内臨床試験

    血管脆弱の認められる高血圧症及び動脈硬化症41例を対象とした二重盲検比較試験の結果、血管抵抗値の有意な増強効果が認められている1)
    血管脆弱の認められる高血圧症・糖尿病・紫斑病等の患者51例を対象とした二重盲検比較試験の結果、血管抵抗値を有意に増強し、皮下出血等の出血症状を改善することが確認されている2)

18. 薬効薬理

18.1 作用機序

細血管に作用して、血管透過性亢進を抑制し、血管抵抗値を増強する。血液凝固・線溶系に影響を与えることなく出血時間を短縮し、止血作用を示す。

18.2 血管透過性抑制作用

  1. 18.2.1 ウサギ 5、10mg/kg筋肉内投与により、カリクレインによる血管透過性亢進を投与後60分で各々20%、30%抑制する3)
  2. 18.2.2 ウサギ 0.5、2.5、5.0mg/kg静脈内投与により、ヒアルロニダーゼ拡散率を抑制する4)

18.3 細血管抵抗値増強作用

  1. 18.3.1 モルモット 0.5mg/kg腹腔内投与により、細血管抵抗値を最高41.9Pa増強し、その作用は約5時間持続する5)
  2. 18.3.2 ウサギ 10mg/kg筋肉内投与により、瞬膜血管抵抗値を投与後60分で1.3倍増強する3)

18.4 出血時間短縮作用

  1. 18.4.1 ウサギ 2.5、5.0mg/kg静脈内投与により、出血時間を投与後60分で各々18%、42%短縮し、その作用は3時間以上持続する4)

18.5 血小板、血液凝固系に対する作用

  1. 18.5.1 ウサギ 5.0mg/kg静脈内投与において、血小板数の変化は認められない4)
  2. 18.5.2 ウサギ 4.0mg/kg筋肉内投与において、血液凝固時間の変化は認められない6)

18.6 呼吸系、循環系に対する作用

  1. 18.6.1 ウサギ 5.0、10.0mg/kg静脈内投与において、呼吸、血圧の変化は認められない6),7)
  2. 18.6.2 ウサギ 4%液耳血管灌流及び5×10-4液摘出腸間膜血管灌流において、血管の収縮は認められない6),7)

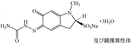
19. 有効成分に関する理化学的知見

一般的名称

カルバゾクロムスルホン酸ナトリウム水和物
(Carbazochrome Sodium Sulfonate Hydrate)

化学名

Monosodium (2RS)-1-methyl-6-oxo-5-semicarbazono-2,3,5,6-tetrahydroindole-2-sulfonate trihydrate

分子式

C10H11N4NaO5S・3H2O

分子量

376.32

性状

橙黄色の結晶又は結晶性の粉末である。
水にやや溶けにくく、メタノール又はエタノール(95)に極めて溶けにくく、ジエチルエーテルにほとんど溶けない。
水溶液(1→100)は旋光性を示さない。
融点:約210℃(分解)

化学構造式

22. 包装

100錠[10錠(PTP)×10]
1000錠[10錠(PTP)×100]

24. 文献請求先及び問い合わせ先

*陽進堂ホールディングス株式会社 お客様相談室

*富山県富山市婦中町萩島3697番地の8

0120-647-734

26. 製造販売業者等

26.1 *製造販売元

陽進堂ホールディングス株式会社

富山県富山市婦中町萩島3697番地の8

〒100-0013 東京都千代田区霞が関3-3-2 新霞が関ビル

画面を閉じる

Copyright © Pharmaceuticals and Medical Devices Agency, All Rights reserved.