医療用医薬品 詳細表示

ミノドロン酸錠50mg「YD」

処方せん医薬品

添付文書番号
企業コード
作成又は改訂年月
日本標準商品分類番号
薬効分類名
承認等
一般的名称
2.禁忌(次の患者には投与しないこと)
3.組成・性状
3.1組成
3.2製剤の性状
4.効能又は効果
5.効能又は効果に関連する注意
6.用法及び用量
7.用法及び用量に関連する注意
8.重要な基本的注意
9.特定の背景を有する患者に関する注意
9.1合併症・既往歴等のある患者
9.2腎機能障害患者
9.4生殖能を有する者
9.5妊婦
9.6授乳婦
9.7小児等
10.相互作用
10.2併用注意(併用に注意すること)
11.副作用
11.1重大な副作用
11.2その他の副作用
13.過量投与
14.適用上の注意
16.薬物動態
16.1血中濃度
16.2吸収
16.3分布
16.4代謝
16.5排泄
17.臨床成績
17.1有効性及び安全性に関する試験
18.薬効薬理
18.1作用機序
18.2薬理作用
19.有効成分に関する理化学的知見
22.包装
23.主要文献
24.文献請求先及び問い合わせ先
26.製造販売業者等

ミノドロン酸錠50mg「YD」

添付文書番号

3999026F2057_3_05

企業コード

830001

作成又は改訂年月

2024年2月改訂(第1版)

日本標準商品分類番号

873999

薬効分類名

骨粗鬆症治療剤

承認等

ミノドロン酸錠50mg「YD」

販売名コード

YJコード

3999026F2057

販売名英語表記

MINODRONIC ACID TABLETS

販売名ひらがな

みのどろんさんじょう

承認番号等

承認番号

23000AMX00350

販売開始年月

2018年6月

貯法・有効期間

貯法

室温保存

有効期間

3年

一般的名称

ミノドロン酸水和物錠

2. 禁忌(次の患者には投与しないこと)

  1. 2.1 食道狭窄又はアカラシア(食道弛緩不能症)等の食道通過を遅延させる障害のある患者[本剤の食道通過が遅延することにより、食道局所における副作用発現の危険性が高くなる。]
  2. 2.2 服用時に上体を30分以上起こしていることのできない患者
  3. 2.3 本剤の成分あるいは他のビスホスホネート系薬剤に対し過敏症の既往歴のある患者
  4. 2.4 低カルシウム血症の患者[血清カルシウム値が低下し低カルシウム血症の症状が悪化するおそれがある。]
  5. 2.5 妊婦又は妊娠している可能性のある女性

3. 組成・性状

3.1 組成

ミノドロン酸錠50mg「YD」

有効成分1錠中、ミノドロン酸水和物   50mg
添加剤D-マンニトール、ヒドロキシプロピルセルロース、ステアリン酸Mg、ヒプロメロース、マクロゴール、酸化チタン、タルク、三二酸化鉄、カルナウバロウ

3.2 製剤の性状

ミノドロン酸錠50mg「YD」

剤形ごくうすい赤色のだ円形のフィルムコーティング錠
外形表面
裏面
側面
大きさ長径約13.2mm
短径約7.2mm
厚さ約4.4mm
質量310mg

4. 効能又は効果

骨粗鬆症

5. 効能又は効果に関連する注意

本剤の適用にあたっては、日本骨代謝学会の診断基準等を参考に、骨粗鬆症との診断が確定している患者を対象とすること。

6. 用法及び用量

通常、成人にはミノドロン酸水和物として50mgを4週に1回、起床時に十分量(約180mL)の水(又はぬるま湯)とともに経口投与する。
なお、服用後少なくとも30分は横にならず、飲食(水を除く)並びに他の薬剤の経口摂取も避けること。

7. 用法及び用量に関連する注意

投与にあたっては次の点を患者に指導すること。

  1. 7.1 本剤は水(又はぬるま湯)で服用すること。水以外の飲料(Ca、Mg等の含量の特に高いミネラルウォーターを含む)、食物及び他の薬剤と一緒に服用すると、吸収を妨げることがあるので、起床後、最初の飲食前に服用し、かつ服用後少なくとも30分は水以外の飲食を避ける。
  2. 7.2 食道及び局所への副作用の可能性を低下させるため、速やかに胃内へと到達させることが重要である。服用に際しては、以下の事項に注意すること。
    • 口腔咽頭刺激の可能性があるので、本剤を噛んだり又は口中で溶かしたりしないこと。
    • 十分量(約180mL)の水(又はぬるま湯)とともに服用し、服用後30分は横たわらないこと。
    • 就寝時又は起床前に服用しないこと。
  3. 7.3 本剤は4週に1回服用する薬剤であるため、飲み忘れないように注意すること。本剤の服用を忘れた場合は、翌日に1錠服用すること。

8. 重要な基本的注意

  1. 8.1 上部消化管に関する副作用が報告されているので、これらの症状があらわれた場合は、本剤の服用を中止して診察を受けるよう指導すること。
  2. 8.2 本剤投与後は、血清カルシウム値が低下する可能性があるため、血清カルシウムの変動に注意し、必要に応じて、カルシウム及びビタミンDを補給すること。ただし、カルシウム補給剤及びカルシウム、アルミニウム、マグネシウム含有製剤は、本剤の吸収を妨げることがあるので、服用時刻を変えて服用させること。,
  3. 8.3 ビスホスホネート系薬剤による治療を受けている患者において、顎骨壊死・顎骨骨髄炎があらわれることがある。報告された症例の多くが抜歯等の顎骨に対する侵襲的な歯科処置や局所感染に関連して発現している。リスク因子としては、悪性腫瘍、化学療法、血管新生阻害薬、コルチコステロイド治療、放射線療法、口腔の不衛生、歯科処置の既往等が知られている。
    本剤の投与開始前は口腔内の管理状態を確認し、必要に応じて、患者に対し適切な歯科検査を受け、侵襲的な歯科処置をできる限り済ませておくよう指導すること。本剤投与中に侵襲的な歯科処置が必要になった場合には本剤の休薬等を考慮すること。
    また、口腔内を清潔に保つこと、定期的な歯科検査を受けること、歯科受診時に本剤の使用を歯科医師に告知して侵襲的な歯科処置はできる限り避けることなどを患者に十分説明し、異常が認められた場合には、直ちに歯科・口腔外科を受診するように指導すること。
  4. 8.4 ビスホスホネート系薬剤を使用している患者において、外耳道骨壊死が発現したとの報告がある。これらの報告では、耳の感染や外傷に関連して発現した症例も認められることから、外耳炎、耳漏、耳痛等の症状が続く場合には、耳鼻咽喉科を受診するよう指導すること。
  5. 8.5 ビスホスホネート系薬剤を長期使用している患者において、非外傷性又は軽微な外力による大腿骨転子下、近位大腿骨骨幹部、近位尺骨骨幹部等の非定型骨折が発現したとの報告がある。これらの報告では、完全骨折が起こる数週間から数カ月前に大腿部、鼠径部、前腕部等において前駆痛が認められている報告もあることから、このような症状が認められた場合には、X線検査等を行い、適切な処置を行うこと。また、両側性の骨折が生じる可能性があることから、片側で非定型骨折が起きた場合には、反対側の部位の症状等を確認し、X線検査を行うなど、慎重に観察すること。X線検査時には骨皮質の肥厚等、特徴的な画像所見がみられており、そのような場合には適切な処置を行うこと。

9. 特定の背景を有する患者に関する注意

9.1 合併症・既往歴等のある患者

  1. 9.1.1 嚥下困難、食道炎、胃炎、十二指腸炎、又は潰瘍等の上部消化管障害がある患者

    上部消化管粘膜に対し、刺激作用を示すことがあるので基礎疾患を悪化させるおそれがある。

9.2 腎機能障害患者

  1. 9.2.1 重篤な腎障害のある患者
    1. (1) 排泄が遅延するおそれがある。
    2. (2) 国内の医療情報データベースを用いた疫学調査において、骨粗鬆症の治療にビスホスホネート系薬剤を使用した腎機能障害患者のうち、特に、高度な腎機能障害患者(eGFRが30mL/min/1.73m2未満)で、腎機能が正常の患者と比較して低カルシウム血症(補正血清カルシウム値が8mg/dL未満)のリスクが増加したとの報告がある1)

9.4 生殖能を有する者

妊娠する可能性のある女性へは、治療上の有益性が危険性を上回ると判断される場合にのみ投与すること。ビスホスホネート系薬剤は骨基質に取り込まれた後に全身循環へ徐々に放出される。全身循環への放出量はビスホスホネート系薬剤の投与量・期間に相関する。ビスホスホネート系薬剤の中止から妊娠までの期間と危険性との関連は明らかではない。

9.5 妊婦

妊婦又は妊娠している可能性のある女性には投与しないこと。他のビスホスホネート系薬剤と同様、生殖試験(ラット)において、低カルシウム血症による分娩障害の結果と考えられる母動物の死亡並びに出生率の低下等がみられている。

9.6 授乳婦

治療上の有益性及び母乳栄養の有益性を考慮し、授乳の継続又は中止を検討すること。母動物(ラット)へ投与した場合、乳汁中に移行することが示されている。

9.7 小児等

小児等を対象とした有効性及び安全性を指標とした臨床試験は実施していない。

10. 相互作用

    10.2 併用注意(併用に注意すること)

    薬剤名等臨床症状・措置方法機序・危険因子
    • 水以外の飲料、食物
      • 特に牛乳や乳製品のような高カルシウム含有飲食物
    • 多価陽イオン(カルシウム、鉄、マグネシウム、アルミニウム等)含有製剤
      • ミネラル入りビタミン剤
      • 制酸剤

    同時に服用すると本剤の吸収に影響を与えるおそれがあるので、本剤の服用後少なくとも30分は左記の飲食物や薬剤を摂取・服用しないよう、患者を指導すること。

    本剤は多価陽イオンと錯体を形成することがあるので、併用すると本剤の吸収を低下させる。

    11. 副作用

    次の副作用があらわれることがあるので、観察を十分に行い、異常が認められた場合には投与を中止するなど適切な処置を行うこと。

    11.1 重大な副作用

    1. 11.1.1 上部消化管障害

      十二指腸潰瘍(0.4%)、胃潰瘍(頻度不明)等の上部消化管障害があらわれることがある。,

    2. 11.1.2 顎骨壊死・顎骨骨髄炎(頻度不明)

    3. 11.1.3 外耳道骨壊死(頻度不明)

    4. 11.1.4 大腿骨転子下、近位大腿骨骨幹部、近位尺骨骨幹部等の非定型骨折(頻度不明)

    5. 11.1.5 肝機能障害、黄疸

      AST、ALT等の上昇を伴う肝機能障害、黄疸(いずれも頻度不明)があらわれることがある。

    6. 11.1.6 低カルシウム血症

      痙攣、テタニー、しびれ、失見当識、QT延長等を伴う低カルシウム血症(頻度不明)があらわれることがある。,,

    11.2 その他の副作用

    1~5%未満

    1%未満

    頻度不明

    過敏症

    発疹、そう痒、アレルギー性皮膚炎

    消化器

    胃・腹部不快感、腹痛、胃炎

    逆流性食道炎、悪心注)

    嘔吐注)、下痢、便秘、腹部膨満、消化不良、食欲不振、口内炎、口唇炎、口渇、歯肉痛、口の錯感覚

    血液

    白血球減少、赤血球減少、血小板減少、単球増加

    肝臓

    AST上昇、ALT上昇、γ-GTP上昇、ビリルビン上昇、アルカリホスファターゼ上昇、LDH上昇

    腎臓

    BUN上昇、尿酸上昇、クレアチニン上昇

    筋・骨格系

    アルカリホスファターゼ減少

    血中カルシウム減少、CK上昇、筋・骨格痛注)(関節痛、背部痛、筋肉痛、四肢痛、疼痛、骨痛等)

    精神神経系

    しびれ、坐骨神経痛、めまい、頭痛

    その他

    胸痛、コレステロール増加、脱毛、膀胱炎、副鼻腔炎、倦怠感注)、血圧上昇、血中リン上昇、血中リン減少、顔面浮腫、発熱注)

    注)急性期反応(本剤投与後3日以内に発現し、通常は数日以内に回復する)に該当する副作用を含む。

    13. 過量投与

    1. 13.1 症状

      低カルシウム血症、上部消化管障害(胃不調、胸やけ、食道炎、胃炎、又は胃潰瘍等)が発現する可能性がある。

    2. 13.2 処置

      吸収を抑えるために、多価陽イオンを含有する制酸剤あるいは牛乳を投与する。また、未吸収薬剤を除去するために胃洗浄を考慮する。なお、低カルシウム血症には必要に応じて、カルシウムの静脈内投与等の処置を行う。

    14. 適用上の注意

    14.1 薬剤交付時の注意

    PTP包装の薬剤はPTPシートから取り出して服用するよう指導すること。PTPシートの誤飲により、硬い鋭角部が食道粘膜へ刺入し、更には穿孔をおこして縦隔洞炎等の重篤な合併症を併発することがある。

    16. 薬物動態

    16.1 血中濃度

    1. 16.1.1 単回投与

      閉経後女性各6例にミノドロン酸水和物42mg又は56mgを空腹時に単回経口投与したときの血漿中未変化体濃度のパラメータ及び投与後48時間までの尿中未変化体排泄率は下記のとおりである2)

      • 投与量
      • Tmax
        (hr)
      • Cmax
        (ng/mL)
      • AUC0-∞
        (ng・hr/mL)
      • t1/2
        (hr)
      • 尿中排泄率
        (%)
      • 42mg
      • 1.0±0.5
      • 10.9901
        ±2.8488
      • 52.87
        ±17.51
      • 41.1±38.0
      • 0.25
        ±0.09
      • 56mg
      • 0.9±0.6
      • 15.4114
        ±4.9493
      • 69.33
        ±21.12
      • 34.3±8.7
      • 0.27
        ±0.17

      (平均値±標準偏差)

      (注)本剤の承認された用量は「50mgを4週に1回、経口投与する。」である。

    2. 16.1.2 反復投与

      閉経後女性各12例にミノドロン酸水和物42mg又は56mgを食前30分に4週ごとに3回反復投与したとき、反復投与後のCmax及びAUCは投与初日と比較してミノドロン酸水和物42mgで0.990倍及び0.998倍、ミノドロン酸水和物56mgで0.962倍及び0.863倍であった2),3)

      (注)本剤の承認された用量は「50mgを4週に1回、経口投与する。」である。

    3. 16.1.3 生物学的同等性試験

      ミノドロン酸錠50mg「YD」とボノテオ錠50mgをクロスオーバー法によりそれぞれ1錠(ミノドロン酸水和物として50mg)、健康閉経後女性27名に絶食単回経口投与して血漿中未変化体濃度を測定した。得られた薬物動態パラメータ(AUC、Cmax)について90%信頼区間法にて統計解析を行った結果、log(0.80)~log(1.25)の範囲内であり、両剤の生物学的同等性が確認された4)

        • 判定パラメータ
        • 参考パラメータ
        • AUC0-48
        • (ng・hr/mL)
        • Cmax
        • (ng/mL)
        • Tmax
        • (hr)
        • t1/2
        • (hr)
        • ミノドロン酸
        • 錠50mg「YD」
        • 65.11±
        • 28.44
        • 17.37±
        • 8.40
        • 1.3±0.8
        • 15.5±4.5
        • ボノテオ錠50mg
        • 73.42±
        • 42.69
        • 18.58±
        • 11.13
        • 1.4±0.7
        • 15.9±3.4

        (平均値±標準偏差、n=27)

        血漿中濃度並びにAUC、Cmax等のパラメータは、被験者の選択、体液の採取回数・時間等の試験条件によって異なる可能性がある。

      16.2 吸収

      閉経後女性24例にミノドロン酸水和物50mgを単回経口投与したとき、食前30分投与では空腹時投与に比しCmaxは約0.6倍、AUCは約0.4倍に低下した5)

      • 投与条件
      • Tmax
        (hr)
      • Cmax
        (ng/mL)
      • AUC0-∞
        (ng・hr/mL)
      • t1/2
        (hr)
      • 空腹時
      • 1.1±0.6
      • 16.759
        ±7.185
      • 77.88
        ±35.52
      • 31.9
        ±8.6
      • 食前30分
      • 0.7±0.3
      • 11.935
        ±8.363
      • 38.68
        ±27.90
      • 35.0
        ±13.6

      (平均値±標準偏差)

      16.3 分布

      ヒト血漿蛋白結合率は、14C-ミノドロン酸水和物添加濃度5~500ng/mLにおいて61.2~61.9%であり、この濃度範囲においてほぼ一定であった6)in vitro試験、超遠心法)。

      16.4 代謝

      ミノドロン酸水和物をヒト肝及び小腸ミクロソーム中でインキュベートした際、代謝物の生成は認められなかった6)in vitro試験)。
      また、CYP発現系において、ヒトのチトクロームP450の分子種(CYP1A2、CYP2C9、CYP2C19、CYP2D6及びCYP3A4)に対してほとんど阻害活性を示さなかった7)in vitro試験)。

      16.5 排泄

      閉経後女性各6例にミノドロン酸水和物42mg又は56mgを空腹時に単回経口投与したときの投与後48時間までの尿中未変化体排泄率はそれぞれ0.25%又は0.27%であった2)

      (注)本剤の承認された用量は「50mgを4週に1回、経口投与する。」である。

      17. 臨床成績

      17.1 有効性及び安全性に関する試験

      1. 17.1.1 骨密度試験

        退行期骨粗鬆症患者を対象とした52週間の第Ⅱ/Ⅲ相試験1)の結果、腰椎平均骨密度の投与開始前から最終評価時2)の変化率±標準偏差はミノドロン酸水和物4週に1回50mg投与群6.461±3.6467%、ミノドロン酸水和物1日1回1mg投与群6.730±3.9890%であった。Dunnett型で調整を行った4週に1回50mg投与群と1日1回1mg投与群の最終評価時2)の腰椎平均骨密度の変化率の差(差の95%信頼区間)は-0.269(-1.1093~0.5706)であり、4週に1回50mg投与は1日1回1mg投与に劣らないことが検証された。
        また、骨代謝マーカー(尿中Ⅰ型コラーゲン架橋N-テロペプチド:尿中NTX、血清中骨型アルカリホスファターゼ)は、ミノドロン酸水和物4週に1回50mg投与群及びミノドロン酸水和物1日1回1mg投与群でともに低下し、ほぼ同様に推移することが確認された。

        • 投与期間
        • 腰椎平均骨密度[変化率]±標準偏差
        • 4週に1回50mg投与群3)
        • 1日1回1mg投与群4)
        • 投与12週後
        • 3.308±3.3502%
          (201例)
        • 3.777±3.3070%
          (204例)
        • 投与24週後
        • 4.731±3.9057%
          (201例)
        • 5.152±3.8511%
          (204例)
        • 投与36週後
        • 5.612±3.8303%
          (201例)
        • 5.945±3.3789%
          (204例)
        • 投与52週後
        • 6.462±3.6558%
          (200例)
        • 6.767±3.9733%
          (200例)
        • 6.461±3.6467%
          (201例)
        • 6.730±3.9890%
          (204例)

        1) 基礎治療薬として1日1回夕食後にカルシウムとして610mg及びビタミンD3として400IUを経口投与

        2) 投与52週後又は投与中止時の時点

        3) 安全性解析対象228例のうち男性患者は5例(最終評価時3例)であった

        4) 安全性解析対象233例のうち男性患者は2例であった

        安全性評価対象となった228例中30例(13.2%)に副作用(臨床検査値の異常を含む)が認められた。主な副作用は、腹部不快感5例(2.2%)、上腹部痛3例(1.3%)、血中アルカリホスファターゼ減少3例(1.3%)であった8),9)

      2. 17.1.2 骨折試験

        退行期骨粗鬆症患者を対象とした2年間の第Ⅲ相二重盲検試験5)(骨折試験)において、ミノドロン酸水和物1日1回1mg投与群(1mg製剤群)及びプラセボ群の椎体骨折発生率(累積)はそれぞれ10.4%、24.0%であり(相対リスク減少率59%)、プラセボに対して有意な骨折防止効果が確認された(Log-rank検定:p<0.0001)。

        • 1mg製剤群
          (n=339)
        • プラセボ群
          (n=328)
        • 椎体骨折発生率(累積)6)
        • 10.4%
        • 24.0%
        • 新規椎体骨折発生率(累積)7)
        • 7.8%
        • 18.5%
        • 投与24週後以降の椎体骨折発生率(累積)6)
        • 4.7%
        • 16.6%

        5) 基礎治療薬として1日1回夕食後にカルシウムとして600mg及びビタミンD3として200IUを経口投与

        6) 新規骨折+既存椎体骨折の増悪

        7) 新規骨折のみ

        また、2年間投与による1mg製剤群(83例)の腰椎平均骨密度の変化率±標準偏差は8.27±5.34%(最終評価時8))で、プラセボに対して有意に大きかった(t検定:p<0.0001)。
        安全性評価対象となった354例中57例(16.1%)に副作用(臨床検査値の異常を含む)が認められた。主な副作用は、胃不快感14例(4.0%)、上腹部痛8例(2.3%)、胃炎7例(2.0%)であった10)

        更に1年間延長して実施された継続試験において、3年間投与による1mg製剤群(194例)の椎体骨折発生率(累積)は、12.4%であった。3年間投与時の1年毎の椎体骨折発生率(累積)は1年目6.7%、2年目3.6%、3年目3.2%であった。3年間投与による1mg製剤群(56例)の腰椎平均骨密度の変化率±標準偏差は10.27±5.97%(最終評価時9))であった。
        骨折試験開始から継続試験終了までの3年間において安全性評価対象となった219例中26例(11.9%)に副作用(臨床検査値の異常を含む)が認められた。主な副作用は、胃炎6例(2.7%)、胃不快感5例(2.3%)、上腹部痛4例(1.8%)であった11)

        8) 投与104週後又は投与中止時の時点

        9) 投与156週後又は投与中止時の時点

      18. 薬効薬理

      18.1 作用機序

      以下の結果より、ミノドロン酸水和物は破骨細胞内でファルネシルピロリン酸合成酵素を阻害し、破骨細胞の骨吸収機能を抑制することにより、骨代謝回転を低下させると考えられる。

      • ラットに投与すると破骨細胞に取り込まれる12)
      • ファルネシルピロリン酸合成酵素を阻害する12)in vitro試験)。
      • ウサギ破骨細胞培養系において、破骨細胞数を減少させる13)in vitro試験)。

      18.2 薬理作用

      1. 18.2.1 骨吸収抑制作用

        ウサギ破骨細胞培養系において、骨からのⅠ型コラーゲン架橋C-テロペプチド遊離を抑制する14)in vitro試験)。

      2. 18.2.2 骨粗鬆症モデル動物における作用
        1. (1) ラット卵巣摘出モデルにおいて、尿中デオキシピリジノリン濃度の上昇を抑制し、骨密度及び骨強度の低下を抑制する15),16)
        2. (2) カニクイザル卵巣摘出モデルにおいて、尿中Ⅰ型コラーゲン架橋N-テロペプチド及びデオキシピリジノリン濃度の上昇を抑制する。また、骨密度及び骨強度の低下を抑制し、骨密度と骨強度には正の相関関係が認められる17)
        3. (3) ラットステロイド誘発モデルにおいて、尿中デオキシピリジノリン濃度の上昇を抑制し、骨密度及び骨強度の低下を抑制する18)
        4. (4) ラット不動化モデルにおいて、骨密度の低下を抑制する18)
      3. 18.2.3 骨石灰化に及ぼす影響

        正常ラットにおいて、骨量を増加させる用量の100倍量まで、石灰化障害は認められていない19)。また、ラット及びカニクイザル卵巣摘出モデルにおいて、類骨幅の増大は認められていない15),16),17)

      4. 18.2.4 骨折治癒に及ぼす影響

        ラット腓骨骨折モデルにおいて、仮骨の吸収を遅延させたが、骨強度の低下は認められていない19)

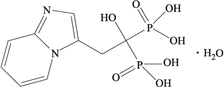
      19. 有効成分に関する理化学的知見

      一般的名称

      ミノドロン酸水和物

      (Minodronic Acid Hydrate)

      化学名

      [1-Hydroxy-2-(imidazo[1,2-a]pyridin-3-yl)ethylidene]bisphosphonic acid monohydrate

      分子式

      C9H12N2O7P2・H2O

      分子量

      340.16

      性状

      白色~微帯赤白色の結晶又は結晶性の粉末である。

      化学構造式

      22. 包装

      PTP:2錠[1錠(患者さん用パッケージ付きPTP)×2]

      23. 主要文献

      1) MID-NET® を用いた調査結果の概要(MID-NET® を用いたビスホスホネート製剤の腎機能障害患者における低カルシウム血症のリスク評価に関するデータベース調査):https://www.pmda.go.jp/files/000249186.pdf

      2) 閉経後女性・単回及び反復経口投与試験(リカルボン錠50mg/ボノテオ錠50mg:2011年7月1日承認、申請資料概要2.7.6.3)

      3) 反復経口投与時の薬物動態(リカルボン錠50mg/ボノテオ錠50mg:2011年7月1日承認、申請資料概要2.7.2.3.2)

      4) (株)陽進堂社内資料:生物学的同等性試験

      5) 閉経後女性・薬物動態に及ぼす食事の影響(リカルボン錠50mg/ボノテオ錠50mg:2011年7月1日承認、申請資料概要2.7.6.1)

      6) 碓井孝志 他:薬理と臨床. 2008;18(Suppl.1):S215-225

      7) 碓井孝志 他:薬理と臨床. 2008;18(Suppl.1):S151-161

      8) 第Ⅱ/Ⅲ相試験(リカルボン錠50mg/ボノテオ錠50mg:2011年7月1日承認、申請資料概要2.7.6.4)

      9) 臨床に関する資料(リカルボン錠50mg/ボノテオ錠50mg:2011年7月1日承認、審査報告書)

      10) 第Ⅲ相二重盲検骨折試験(リカルボン錠1mg/ボノテオ錠1mg:2009年1月21日承認、申請資料概要2.7.6.14)

      11) 第Ⅲ相骨折継続投与試験(リカルボン錠1mg/ボノテオ錠1mg:2009年1月21日承認、申請資料概要2.7.6.15)

      12) 野﨑一敏 他:薬理と臨床. 2008;18(Suppl.1):S7-18

      13) 破骨細胞数減少作用(リカルボン錠1mg/ボノテオ錠1mg:2009年1月21日承認、申請資料概要2.6.2.2.2.3)

      14) 森裕史 他:薬理と臨床. 2008;18(Suppl.1):S19-32

      15) Tanaka, M. et al.:Bone. 2008;43(5):894-900

      16) ラット卵巣摘出骨粗鬆症モデル・薬理作用(リカルボン錠50mg/ボノテオ錠50mg:2011年7月1日承認、申請資料概要2.6.2.2.1)

      17) Mori, H. et al.:Bone. 2008;43(5):840-848

      18) 森裕史 他:薬理と臨床. 2008;18(Suppl.1):S75-85

      19) 野﨑一敏 他:薬理と臨床. 2008;18(Suppl.1):S65-74

      24. 文献請求先及び問い合わせ先

      日本薬品工業株式会社 安全管理課

      〒101-0032 東京都千代田区岩本町2丁目2番3号

      TEL 03-5833-5011 FAX 03-5833-5100

      26. 製造販売業者等

      26.1 製造販売元

      株式会社陽進堂

      富山県富山市婦中町萩島3697番地8号

      26.2 販売元

      日本薬品工業株式会社

      東京都千代田区岩本町2丁目2-3

      〒100-0013 東京都千代田区霞が関3-3-2 新霞が関ビル

      画面を閉じる

      Copyright © Pharmaceuticals and Medical Devices Agency, All Rights reserved.