医療用医薬品 詳細表示

エビスタ錠60mg

処方せん医薬品

添付文書番号
企業コード
作成又は改訂年月
日本標準商品分類番号
薬効分類名
承認等
一般的名称
2.禁忌(次の患者には投与しないこと)
3.組成・性状
3.1組成
3.2製剤の性状
4.効能又は効果
6.用法及び用量
8.重要な基本的注意
9.特定の背景を有する患者に関する注意
9.1合併症・既往歴等のある患者
9.2腎機能障害患者
9.3肝機能障害患者
9.5妊婦
9.6授乳婦
10.相互作用
10.2併用注意(併用に注意すること)
11.副作用
11.1重大な副作用
11.2その他の副作用
13.過量投与
14.適用上の注意
15.その他の注意
15.1臨床使用に基づく情報
15.2非臨床試験に基づく情報
16.薬物動態
16.1血中濃度
16.2吸収
16.3分布
16.4代謝
16.5排泄
16.6特定の背景を有する患者
16.7薬物相互作用
17.臨床成績
17.1有効性及び安全性に関する試験
18.薬効薬理
18.1作用機序
18.2骨密度及び骨強度に及ぼす影響
18.3骨組織形態に及ぼす影響
18.4骨折治癒に及ぼす影響
19.有効成分に関する理化学的知見
22.包装
23.主要文献
24.文献請求先及び問い合わせ先
26.製造販売業者等

エビスタ錠60mg

添付文書番号

3999021F1023_3_01

企業コード

850372

作成又は改訂年月

2025年12月改訂(第3版)
2024年11月改訂(第2版)

日本標準商品分類番号

873999

薬効分類名

骨粗鬆症治療剤

承認等

エビスタ錠60mg

販売名コード

YJコード

3999021F1023

販売名英語表記

Evista® tablets

承認番号等

承認番号

21600AMY00011

販売開始年月

2004年5月

貯法・有効期間

貯法

室温保存

有効期間

3年

一般的名称

ラロキシフェン塩酸塩錠

2. 禁忌(次の患者には投与しないこと)

  1. 2.1 深部静脈血栓症、肺塞栓症、網膜静脈血栓症等の静脈血栓塞栓症のある患者又はその既往歴のある患者[これらの症状が増悪することがある。],
  2. 2.2 長期不動状態(術後回復期、長期安静期等)にある患者
  3. 2.3 抗リン脂質抗体症候群の患者[静脈血栓塞栓症を起こしやすいとの報告がある。]
  4. 2.4 妊婦又は妊娠している可能性のある女性及び授乳婦,
  5. 2.5 本剤の成分に対し過敏症の既往歴のある患者

3. 組成・性状

3.1 組成

エビスタ錠60mg

有効成分1錠中ラロキシフェン塩酸塩として   60mg
添加剤無水乳糖、乳糖水和物、クロスポビドン、ポビドン、ポリソルベート80、ステアリン酸マグネシウム、ヒプロメロース、酸化チタン、マクロゴール400、カルナウバロウ

3.2 製剤の性状

エビスタ錠60mg

外形表面
裏面
側面
大きさ長径約12.1mm
短径約6.6mm
厚さ約4.3mm
重量約0.25g
識別コード4165
性状・剤形白色楕円形のフィルムコート錠

4. 効能又は効果

閉経後骨粗鬆症

6. 用法及び用量

通常、ラロキシフェン塩酸塩として、1日1回60mgを経口投与する。

8. 重要な基本的注意

  1. 8.1 本剤の服用により、静脈血栓塞栓症(深部静脈血栓症、肺塞栓症、網膜静脈血栓症を含む)があらわれることがあるので、患者に対しては、次のような症状が認められた場合には直ちに医師等に相談するよう、あらかじめ説明すること。
    症状:下肢の疼痛・浮腫、突然の呼吸困難、息切れ、胸痛、急性視力障害等
    ,
  2. 8.2 静脈血栓塞栓症(深部静脈血栓症、肺塞栓症、網膜静脈血栓症を含む)のリスクが上昇するため、長期不動状態(術後回復期、長期安静期等)に入る3日前には本剤の服用を中止し、完全に歩行可能になるまでは投与を再開しないこと。
  3. 8.3 患者のカルシウム及び/又はビタミンDの摂取量が十分でない場合は、カルシウム及び/又はビタミンDをそれぞれ補給すること。

9. 特定の背景を有する患者に関する注意

9.1 合併症・既往歴等のある患者

  1. 9.1.1 経口エストロゲン療法にて顕著な高トリグリセリド血症(>500mg/dL)の既往歴のある患者

    血清トリグリセリド値のモニターを行うこと。本剤の服用により血清トリグリセリド上昇があらわれることがある。

9.2 腎機能障害患者

国内臨床試験では除外されている。

9.3 肝機能障害患者

国内臨床試験では除外されている。

9.5 妊婦

妊婦又は妊娠している可能性のある女性には投与しないこと。妊婦に本剤を投与した場合、胎児に悪影響を及ぼすおそれがある。ウサギでは、流産及び低頻度で胎児心奇形(心室中隔欠損)が認められた。ラットでは、胎児の発達遅延及び発育異常(波状肋骨、腎盂拡張)あるいは分娩遅延又は分娩困難、出生児生存率の低下、身体発育分化の変化、発育分化抑制や下垂体ホルモンの変化、出生児におけるリンパ球組織の減少といった所見が認められ、また、高用量では、分娩困難による母動物及び産児の死亡の報告がある。

9.6 授乳婦

授乳中の女性には投与しないこと。本剤がヒト乳汁中へ移行するかどうかは不明である。

10. 相互作用

    10.2 併用注意(併用に注意すること)

    薬剤名等臨床症状・措置方法機序・危険因子
    • 陰イオン交換樹脂
      • コレスチラミン

    本剤の血中濃度が低下する。

    本剤がコレスチラミンに吸着され、消化管内からの吸収量が低下することが知られている。その他の陰イオン交換樹脂についても同様の可能性が考えられる。

    • クマリン系抗凝血剤
      • ワルファリン

    プロトロンビン時間の減少が報告されている。本剤による治療の開始あるいは終了の際、プロトロンビン時間を注意深くモニターする必要がある。

    機序は不明である。

    • アンピシリン

    本剤の血中濃度が低下するおそれがある。

    アンピシリンにより腸内細菌叢が減少することにより本剤の腸肝循環が低下するためと考えられる。

    11. 副作用

    次の副作用があらわれることがあるので、観察を十分に行い、異常が認められた場合には投与を中止するなど適切な処置を行うこと。

    11.1 重大な副作用

    1. 11.1.1 静脈血栓塞栓症(頻度不明)

      深部静脈血栓症、肺塞栓症、網膜静脈血栓症があらわれることがあるので、下肢の疼痛・浮腫、突然の呼吸困難、息切れ、胸痛、急性視力障害等の症状が認められた場合には投与を中止すること。,

    2. 11.1.2 肝機能障害(頻度不明)

      AST、ALT、γ-GTP等の著しい上昇を伴う肝機能障害があらわれることがある。

    11.2 その他の副作用

    2~5%未満

    2%未満

    頻度不明

    血液

    ヘモグロビン減少、ヘマトクリット減少、血小板数減少

    内分泌・
    代謝系

    血中Al-P減少

    血清総蛋白減少、血中アルブミン減少、血清リン減少、血中カルシウム減少

    消化器

    嘔気

    腹部膨満、おくび

    肝臓

    γ-GTP上昇

    皮膚

    皮膚炎、そう痒症

    生殖器

    膣分泌物

    良性の子宮内腔液増加

    乳房

    乳房緊満

    その他

    下肢痙攣、ほてり

    多汗

    感覚減退、末梢性浮腫、表在性血栓性静脈炎、体重増加

    13. 過量投与

    1. 13.1 症状

      1回120mg以上を服用した成人で下肢痙攣、浮動性めまいが報告されている。2歳未満の小児において180mgまで誤って服用したとの報告がある。失調、浮動性めまい、嘔吐、発疹、下痢、振戦、潮紅、Al-P上昇が報告されている。

    2. 13.2 処置

      特異的解毒剤はない。

    14. 適用上の注意

    14.1 薬剤交付時の注意

    PTP包装の薬剤はPTPシートから取り出して服用するよう指導すること。PTPシートの誤飲により、硬い鋭角部が食道粘膜へ刺入し、更には穿孔をおこして縦隔洞炎等の重篤な合併症を併発することがある。

    15. その他の注意

    15.1 臨床使用に基づく情報

    1. 15.1.1 外国における骨粗鬆症治療(骨折)試験において、本剤投与群はプラセボ群に比べ子宮内膜厚のわずかな増加を示したとの報告がある。臨床的に意味のある子宮内膜増殖であるとはされていないが、本剤治療中に子宮内膜の異常(原因不明の子宮・性器出血、子宮内膜増殖等)が認められた場合には症状に応じて詳しい検査を行うこと。
    2. 15.1.2 外国において、本剤と経口エストロゲン製剤を併用した閉経後女性で子宮内膜厚が増加したとの報告がある。
    3. 15.1.3 本剤投与により、対照群に比べ乳癌のリスクの上昇は認められていないが、本剤治療中に乳房に原因不明の異常が認められた場合には症状に応じて詳しい検査を行うこと。
    4. 15.1.4 外国で実施された冠動脈疾患がある又はそのリスクが高い閉経後女性を対象1)とした試験1)において、本剤投与群において脳卒中による死亡率が高かったとの報告がある。脳卒中による死亡率はプラセボ投与群で1.5/1000人/年に対して本剤投与群で2.2/1000人/年であった。
      1) 本剤の承認された効能又は効果は閉経後骨粗鬆症である。

    15.2 非臨床試験に基づく情報

    雌ラット及びマウスにおけるがん原性試験の結果、卵巣腫瘍の発生が認められたとの報告がある。これらの所見は卵胞機能及び性ホルモンバランスの不均衡に起因する変化である可能性が高いと考えられ、げっ歯類に特異的な変化であることが知られている2)。長期臨床試験において、卵巣機能が低下した閉経後女性における本剤の投与と腫瘍発生との間に明確な関係は示唆されていない。

    16. 薬物動態

    16.1 血中濃度

    1. 16.1.1 単回投与試験

      閉経後健康女性52例にラロキシフェン塩酸塩120mg(60mg錠2錠)2)を空腹時に単回経口投与した時の血漿中ラロキシフェン濃度は複数のピークを示した。CmaxのCV%は94.8%、AUC0-∞のCV%は55.7%を示し、個体間変動が大きいことが示された。なお、ラロキシフェン塩酸塩1.0mg静脈内投与時2)の分布容積は7.5L/kgであった。

      表1) 閉経後健康女性にラロキシフェン塩酸塩120mg(60mg錠2錠)2)単回経口投与時の血漿中ラロキシフェン濃度より算出した薬物動態パラメータ

      Cmax(ng/mL)

      tmaxa)(hr)

      AUC0-∞(ng・hr/mL)

      t1/2b)(hr)

      1.635(94.8)

      9(1~24)

      55.9(55.7)

      24.3(15.8~103.9)

      算術平均(CV%):n=52
      a) 中央値(範囲) b)調和平均(範囲)

    2. 16.1.2 反復投与試験

      閉経後健康女性16例に、ラロキシフェン塩酸塩60mgを1日1回14日間反復経口投与した。14日間の反復経口投与により血漿中ラロキシフェン濃度は定常状態に達することが示された。また、60mg以下において投与量比例性が示された。

      表2) 閉経後健康女性にラロキシフェン塩酸塩60mgを1日1回14日間反復経口投与した時の血漿中ラロキシフェン濃度より算出した薬物動態パラメータ

      Css, max(ng/mL)

      Css, ave(ng/mL)

      Css, min(ng/mL)

      tmaxa)(hr)

      AUCss
      (ng・hr/mL)

      CLp, ss(L/hr/kg)

      1.750(32.4)

      1.384(34.2)

      1.099(37.0)

      8(1~8)

      33.2(34.2)

      36.5(48.1)

      算術平均(CV%):n=16
      a) 中央値(範囲)

    16.2 吸収

    1. 16.2.1 バイオアベイラビリティ

      外国人の閉経後健康女性8例に、クロスオーバーデザインを用いてラロキシフェン塩酸塩120mg(60mg錠2錠)2)の経口投与及びラロキシフェン塩酸塩1.0mgの静脈内投与2)を実施し、ラロキシフェンの吸収について評価した。ラロキシフェン塩酸塩120mg経口投与時のラロキシフェンの絶対的バイオアベイラビリティは2.0%、吸収率は63%であった。なお、ラロキシフェンは腸肝循環することが示唆されている。

    2. 16.2.2 食事の影響

      外国人の閉経後健康女性14例に、空腹時及び食事の摂取下においてラロキシフェン塩酸塩120mg(60mg錠2錠)2)を単回経口投与した結果、空腹時のCmax及びAUC0-tはそれぞれ0.9ng/mL及び41.5ng・hr/mL、食事の摂取下のCmax及びAUC0-tはそれぞれ1.1ng/mL及び49.1ng・hr/mLを示し、これらの間に統計的に有意な差は認められなかった。

    16.3 分布

    1. 16.3.1 蛋白結合

      日本人の閉経後女性15例の血漿サンプルを用いて、3H-ラロキシフェンと血漿中蛋白の結合をin vitro試験で評価した。
      血漿蛋白結合率の平均値は97.7%(範囲:96.6~98.5%)であった。また、外国人の閉経後女性の血漿サンプルを用いて評価した結果、3H-ラロキシフェンはアルブミンと99.6%、α1-酸性糖蛋白質と88.9%の結合率であった。

    16.4 代謝

    外国人の健康成人4例(男性3)3例及び閉経後女性1例)に14C-ラロキシフェン塩酸塩199.7mg2)のアルコール性水溶液を単回経口投与した。3種類のグルクロン酸抱合体のみが血漿中及び尿中に検出され、酸化代謝物は認められなかった。血漿中の未変化体は総放射活性の約1.0%であった。

    16.5 排泄

    外国人の健康成人4例(男性3)3例及び閉経後女性1例)に14C-ラロキシフェン塩酸塩199.7mg2)のアルコール性水溶液を単回経口投与した。糞便中に50~79%、尿中に3.3~5.5%の放射活性が排泄された。

    16.6 特定の背景を有する患者

    1. 16.6.1 腎機能障害

      外国人の腎機能正常男性3)10例及び腎機能障害男性3)10例にラロキシフェン塩酸塩120mg(60mg錠2錠)2)を単回経口投与した。腎機能障害男性は腎機能正常男性に比較してAUC0-∞が約2.2倍、Cmaxが約1.4倍であった。

    2. 16.6.2 肝機能障害

      外国人の健康成人8例(閉経後女性5例、男性3)3例)及び肝硬変患者9例(閉経後女性5例、男性3)4例)にラロキシフェン塩酸塩60mgを単回経口投与した。肝硬変患者は健康成人に比較してAUC0-∞が約2.5倍、Cmaxが約2.1倍であった。

    16.7 薬物相互作用

    1. 16.7.1 コレスチラミン

      外国人の閉経後健康女性14名において、コレスチラミン(無水コレスチラミンとして4~8gを1~2回/日)の反復経口投与によりラロキシフェン塩酸塩120mg(60mg錠2錠)2)単回経口投与時のAUC0-tは60%低下した。

    2. 16.7.2 アンピシリン

      外国人の閉経後健康女性14名において、アンピシリン500mg(4回/日)の反復経口投与によりラロキシフェン塩酸塩120mg(60mg錠2錠)2)単回経口投与時のCmaxは28%低下した。

      2) 本剤の承認された用法及び用量はラロキシフェン塩酸塩として1日1回60mg経口投与である。

      3) 本剤の承認された効能又は効果は閉経後骨粗鬆症である。

    17. 臨床成績

    17.1 有効性及び安全性に関する試験

    1. 17.1.1 国内第III相試験

      日本人の閉経後骨粗鬆症女性284例を対象としたプラセボ対照二重盲検比較試験において、ラロキシフェン塩酸塩60mg/日、120mg/日4)又はプラセボを1年間経口投与した(すべての患者にカルシウムとして500mg/日、ビタミンD200IU/日を補給)。そのうちラロキシフェン塩酸塩60mg群(92例)における結果を下表に示す。本剤投与により、腰椎骨密度の有意な増加と、各種骨代謝マーカーの有意な低下が認められた3)

      表1) ラロキシフェン塩酸塩60mg群における投与前値からの変化率(%)

      12週

      24週

      40週

      52週

      腰椎骨密度(第2~第4)

      -

      +3.3a)

      +3.7a)

      +3.5a)

      血清オステオカルシン

      -18.4a)

      -32.2a)

      -

      -34.5a)

      骨型アルカリホスファターゼ

      -13.7

      -41.3a)

      -

      -47.9a)

      尿中I型コラーゲンC末端テロペプチド/Cr

      -35.8a)

      -43.0a)

      -

      -43.6a)

      尿中I型コラーゲンN末端テロペプチド/Cr

      -25.2a)

      -34.2a)

      -

      -33.5a)

      a) プラセボ群との比較で統計学的に有意(p<0.05)であった。
      腰椎骨密度は平均値で、各種骨代謝マーカーは中央値で示した。

      副作用発現頻度は、ラロキシフェン塩酸塩60mg群で34.8%(32/92例)であった。主な副作用は、ほてりが4.3%(4/92例)、下肢痙攣、乳房緊満及び皮膚炎が各3.3%(3/92例)であった。

    2. 17.1.2 外国第III相試験

      外国人の閉経後骨粗鬆症女性7705例を対象としたプラセボ対照二重盲検比較試験において、ラロキシフェン塩酸塩60mg/日、120mg/日4)又はプラセボを3年間経口投与した(すべての患者にカルシウムとして500mg/日、ビタミンD400 ~ 600IU/日を補給)。ラロキシフェン塩酸塩60mg群(2557例)において、新規椎体骨折が発生した患者の割合はプラセボ群に対して、既椎体骨折のない患者群で55%、既椎体骨折のある患者群で30%低下しており、いずれも統計学的に有意(p<0.05)であった4)。この骨折抑制効果は4年まで投与を継続して検討した結果においても維持されていた5)。また、投与1年目までに自覚症状を伴った新規椎体骨折(新規臨床椎体骨折)が発生した患者の割合はプラセボ群に比し68%低下し、統計学的に有意(p<0.05)であった6)。一方、腰椎骨密度(第1~第4)の投与前値からの変化率は、1年目で+2.5%、2年目で+2.9%、3年目で+3.2%と増加し、いずれもプラセボ群と比較して統計学的に有意(p<0.05)であった7)
      有害事象発現頻度は、ラロキシフェン塩酸塩60mg群で92.5%(2365/2557例)、プラセボ群で92.4%(2380/2576例)であった。このうち、重篤な有害事象は、ラロキシフェン塩酸塩60mg群で23.9%(610/2557例)、プラセボ群で25.2%(650/2576例)であった。

      4) 本剤の承認された用法及び用量はラロキシフェン塩酸塩として1日1回60mg経口投与である。

    18. 薬効薬理

    18.1 作用機序

    ラロキシフェンはエストロゲン受容体を介して作用を発現する8)。骨においてはエストロゲン受容体に結合後、骨代謝回転に関与するサイトカインを介して、エストロゲンと同様な骨吸収抑制作用を示す9),10),11)。また、脂質代謝に対してもエストロゲンと同様の作用を示す12),13),14),15)。卵巣切除ラットの子宮重量に関する試験において、エストロゲン0.1mg/kg/日投与群では子宮重量は285%増加し、本剤0.01~10mg/kg/日投与群では18%から66%増加したが用量反応性は認められなかった16)。なお、本剤投与により卵巣切除ウサギ(70及び210mg/日)及びサル(1及び5mg/kg/日)においては子宮重量の増加は認められなかった13),17)。乳腺刺激作用の有無を確認する目的で、卵巣切除サルを用いて乳腺小葉組織量を計測した結果、本剤投与群と対照群との間に差は認められなかった13)

    18.2 骨密度及び骨強度に及ぼす影響

    ラットの卵巣切除モデルにおいて本剤1~10mg/kg/日を卵巣切除4日後より投与した結果、腰椎、脛骨等における骨密度減少及び骨強度低下を抑制し12),18)、これらの効果は12ヵ月間投与後でも保持された。サルにおいても本剤1及び5mg/kg/日を卵巣切除翌日より投与した結果、卵巣切除による骨密度減少を抑制し、これらの効果は2年間投与後でも保持され、腰椎における骨密度増加作用と骨強度低下抑制作用との間には正の相関が認められた13)。また、卵巣切除したラット及びサルでの生化学的マーカー値の変動から亢進した骨代謝回転に対する抑制効果が示された13),19)

    18.3 骨組織形態に及ぼす影響

    ラットの卵巣切除モデルにおいて、本剤3mg/kg/日の投与は海綿骨における骨梁数の減少や骨梁間隙の増大を改善し、正常な微細構造を有する骨を形成した。ラットにおけるこれらの効果は10ヵ月間投与後でも保持された14)

    18.4 骨折治癒に及ぼす影響

    卵巣切除ラットに本剤1mg/kg/日を投与し、大腿骨骨折部分における力学的性質及び材質特性を検討した結果、卵巣切除による骨折部分における剛性低下、材質特性(ヤングの剛性率)の低下あるいは骨形成速度の上昇に対する抑制効果が認められた20)

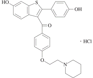
    19. 有効成分に関する理化学的知見

    一般的名称

    ラロキシフェン塩酸塩(Raloxifene Hydrochloride)〔JAN〕

    化学名

    [6-Hydroxy-2-(4-hydroxyphenyl)benzo[b]thien-3-yl][4-(2-piperidin-1-ylethoxy)phenyl]methanone
    monohydrochloride

    分子式

    C28H27NO4S・HCl

    分子量

    510.04

    性状

    微黄色の結晶性の粉末で、N, N-ジメチルホルムアミドに溶けやすく、メタノール及びエタノール(99.5)に溶けにくく、水に極めて溶けにくい。

    化学構造式

    融点

    約260℃(分解)

    分配係数

    3.81(1-オクタノール/水)

    22. 包装

    100錠 [10錠(PTP)×10]
    500錠 [10錠(PTP)×50]
    140錠 [14錠(PTP)×10]
    700錠 [14錠(PTP)×50]

    24. 文献請求先及び問い合わせ先

    *クリニジェン株式会社 カスタマーセンター

    *〒103-0022 東京都中央区日本橋室町1-5-5

    *TEL 0120-192-109(フリーダイヤル)

    26. 製造販売業者等

    26.1 製造販売元

    *クリニジェン株式会社

    *東京都中央区日本橋室町1-5-5
    www.clinigen.co.jp

    〒100-0013 東京都千代田区霞が関3-3-2 新霞が関ビル

    画面を閉じる

    Copyright © Pharmaceuticals and Medical Devices Agency, All Rights reserved.