医療用医薬品 詳細表示

アズレン点眼液0.02%「わかもと」

添付文書番号

1319703Q2116_1_07

企業コード

890016

作成又は改訂年月

2024年1月改訂(第1版)

日本標準商品分類番号

871319

薬効分類名

非ステロイド性・抗炎症点眼剤

承認等

アズレン点眼液0.02%「わかもと」

販売名コード

YJコード

1319703Q2116

販売名英語表記

AZULENE OPHTHALMIC SOLUTION 0.02%「WAKAMOTO」

販売名ひらがな

あずれんてんがんえき0.02%「わかもと」

承認番号等

承認番号

21900AMX01187000

販売開始年月

1974年3月

貯法・有効期間

貯法

室温保存

有効期間

3年6ヵ月

一般的名称

アズレンスルホン酸ナトリウム水和物

3. 組成・性状

3.1 組成

アズレン点眼液0.02%「わかもと」

有効成分1mL中アズレンスルホン酸ナトリウム水和物(脱水物として)   0.2mg
添加剤ホウ酸、ホウ砂、パラオキシ安息香酸メチル、パラオキシ安息香酸プロピル、プロピレングリコール、ポリソルベート80、塩化ナトリウム

3.2 製剤の性状

アズレン点眼液0.02%「わかもと」

pH7.5~8.5
浸透圧比0.8~1.2
性状・剤形青色澄明の水性点眼剤(無菌製剤)

4. 効能又は効果

急性結膜炎、慢性結膜炎、アレルギー性結膜炎、表層角膜炎、眼瞼縁炎、強膜炎

6. 用法及び用量

通常1日3~5回、1回1~2滴を点眼する。症状および年齢に応じて適宜用量および回数を増減する。

11. 副作用

次の副作用があらわれることがあるので、観察を十分に行い、異常が認められた場合には投与を中止するなど適切な処置を行うこと。

11.2 その他の副作用

0.1%未満

眼瞼の腫脹、発赤、そう痒感

14. 適用上の注意

14.1 薬剤交付時の注意

  • 患者に対し以下の点に注意するよう指導すること。
    • 薬液汚染防止のため、点眼のとき、容器の先端が直接目に触れないように注意すること。
    • 患眼を開瞼して結膜嚢内に点眼し、1~5分間閉瞼して涙嚢部を圧迫させた後、開瞼すること。
    • 他の点眼剤を併用する場合には、少なくとも5分以上間隔をあけてから点眼すること。
    • 遮光して保存すること。

18. 薬効薬理

18.1 作用機序

本剤の抗炎症作用は、白血球遊走阻止作用及び肥満細胞からのヒスタミン遊離抑制作用等によるものと考えられている1),2)

18.2 抗炎症作用

  1. 18.2.1 ラット後肢にDextran、Hyaluronidase、Formalinを局所注射して惹起させた浮腫を抑制する1)
  2. 18.2.2 ラットでの各種起炎剤(デキストリン、卵白アルブミン等)結膜下注入による結膜浮腫に対して抑制が認められた3)
  3. 18.2.3 家兎でのトウガラシチンキ点眼による外眼部炎症に対して炎症症状の抑制が認められた3)

18.3 抗アレルギー作用

  1. 18.3.1 ラットにおける受動性皮膚過敏症を著明に抑制する1)
  2. 18.3.2 ラットでの同種IgE抗体又はIgG抗体結膜下注入によるアレルギー性結膜浮腫に対して抑制が認められた3)

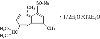
19. 有効成分に関する理化学的知見

一般的名称

アズレンスルホン酸ナトリウム水和物(Sodium Gualenate Hydrate)(JAN)

化学名

Sodium 1,4-dimethyl-7-isopropylazulene-3-sulfonate hemihydrate or hydrate

分子式

C15H17NaO3S・1/2H2O又はC15H17NaO3S・H2O

分子量

309.36又は318.36

性状

暗青色の結晶又は結晶性の粉末で、におい及び味はない。メタノールにやや溶けやすく、水又は酢酸(100)にやや溶けにくく、エタノール(95)に溶けにくく、無水酢酸、ジエチルエーテル又はヘキサンにほとんど溶けない。本品の水溶液(1→200)のpHは6.0~9.0である。光により変化する。

化学構造式

20. 取扱い上の注意

アルミ包装開封後は遮光して保存すること 。

22. 包装

プラスチック点眼容器(脱酸素剤入り)
:5mL×20本、5mL×50本

24. 文献請求先及び問い合わせ先

わかもと製薬株式会社 メディカルインフォメーション

〒103-8330 東京都中央区日本橋本町二丁目2番2号

TEL:03-3279-0379  FAX:03-3279-1272

26. 製造販売業者等

26.1 製造販売元

わかもと製薬株式会社

東京都中央区日本橋本町二丁目2番2号

〒100-0013 東京都千代田区霞が関3-3-2 新霞が関ビル

画面を閉じる

Copyright © Pharmaceuticals and Medical Devices Agency, All Rights reserved.