医療用医薬品 詳細表示

処方せん医薬品以外の医薬品

添付文書番号
企業コード
作成又は改訂年月
日本標準商品分類番号
薬効分類名
承認等
一般的名称
3.組成・性状
3.1組成
3.2製剤の性状
4.効能又は効果
6.用法及び用量
8.重要な基本的注意
9.特定の背景を有する患者に関する注意
9.1合併症・既往歴等のある患者
11.副作用
11.2その他の副作用
14.適用上の注意
16.薬物動態
16.3分布
16.5排泄
17.臨床成績
17.1有効性及び安全性に関する試験
18.薬効薬理
18.1作用機序
18.2前房形成作用
18.3角膜内皮保護作用
19.有効成分に関する理化学的知見
20.取扱い上の注意
22.包装
23.主要文献
24.文献請求先及び問い合わせ先
25.保険給付上の注意
26.製造販売業者等

*ヒアルロン酸Na0.5眼粘弾剤1%MV「わかもと」/*ヒアルロン酸Na0.6眼粘弾剤1%MV「わかもと」/*ヒアルロン酸Na1.1眼粘弾剤1%MV「わかもと」

添付文書番号

1319720Q2080_1_02

企業コード

890016

作成又は改訂年月

**2026年1月改訂(第3版)
2025年11月改訂(第2版)

日本標準商品分類番号

871319

薬効分類名

眼科手術補助剤

承認等

*ヒアルロン酸Na0.5眼粘弾剤1%MV「わかもと」

販売名コード

YJコード

1319720Q2080

販売名英語表記

HYALURONATE Na 0.5 OPHTHALMIC VISCOELASTIC PREPARATION 1%MV「WAKAMOTO」

販売名ひらがな

ひあるろんさんなとりうむ0.5がんねんだんざい1%えむぶい「わかもと」

承認番号等

承認番号

30200AMX00037000

販売開始年月

1993年7月

貯法・有効期間

貯法

冷所保存(凍結を避けること)

有効期間

3年

*ヒアルロン酸Na0.6眼粘弾剤1%MV「わかもと」

販売名コード

YJコード

1319720Q7308

販売名英語表記

HYALURONATE Na 0.6 OPHTHALMIC VISCOELASTIC PREPARATION 1%MV「WAKAMOTO」

販売名ひらがな

ひあるろんさんなとりうむ0.6がんねんだんざい1%えむぶい「わかもと」

承認番号等

承認番号

30200AMX00038000

販売開始年月

1998年7月

貯法・有効期間

貯法

冷所保存(凍結を避けること)

有効期間

3年

*ヒアルロン酸Na1.1眼粘弾剤1%MV「わかもと」

販売名コード

YJコード

1319720Q9076

販売名英語表記

HYALURONATE Na 1.1 OPHTHALMIC VISCOELASTIC PREPARATION 1%MV「WAKAMOTO」

販売名ひらがな

ひあるろんさんなとりうむ1.1がんねんだんざい1%えむぶい「わかもと」

承認番号等

承認番号

30200AMX00039000

販売開始年月

2003年7月

貯法・有効期間

貯法

冷所保存(凍結を避けること)

有効期間

3年

一般的名称

精製ヒアルロン酸ナトリウム

3. 組成・性状

3.1 組成

*ヒアルロン酸Na0.5眼粘弾剤1%MV「わかもと」

有効成分1筒(0.5mL)中 精製ヒアルロン酸ナトリウム   5mg
添加剤リン酸水素ナトリウム水和物、リン酸二水素ナトリウム水和物、塩化ナトリウム

*ヒアルロン酸Na0.6眼粘弾剤1%MV「わかもと」

有効成分1筒(0.6mL)中 精製ヒアルロン酸ナトリウム   6mg
添加剤リン酸水素ナトリウム水和物、リン酸二水素ナトリウム水和物、塩化ナトリウム

*ヒアルロン酸Na1.1眼粘弾剤1%MV「わかもと」

有効成分1筒(1.1mL)中 精製ヒアルロン酸ナトリウム   11mg
添加剤リン酸水素ナトリウム水和物、リン酸二水素ナトリウム水和物、塩化ナトリウム

3.2 製剤の性状

*ヒアルロン酸Na0.5眼粘弾剤1%MV「わかもと」

pH7.0~7.5
浸透圧比0.9~1.2(生理食塩液に対する比)
性状・剤形無色澄明の粘稠な液、眼科用水性注射剤(プレフィルドシリンジ)。
極限粘度24.0~31.0(dL/g)

*ヒアルロン酸Na0.6眼粘弾剤1%MV「わかもと」

pH7.0~7.5
浸透圧比0.9~1.2(生理食塩液に対する比)
性状・剤形無色澄明の粘稠な液、眼科用水性注射剤(プレフィルドシリンジ)。
極限粘度24.0~31.0(dL/g)

*ヒアルロン酸Na1.1眼粘弾剤1%MV「わかもと」

pH7.0~7.5
浸透圧比0.9~1.2(生理食塩液に対する比)
性状・剤形無色澄明の粘稠な液、眼科用水性注射剤(プレフィルドシリンジ)。
極限粘度24.0~31.0(dL/g)

4. 効能又は効果

白内障手術・眼内レンズ挿入術・全層角膜移植術における手術補助

6. 用法及び用量

  • ○白内障手術・眼内レンズ挿入術を連続して施行する場合には、通常0.4~1.0mLを前房内へ注入する。また、眼内レンズのコーティングに約0.1mL使用する。ただし、白内障手術又は眼内レンズ挿入術のみを施行する場合には、以下のとおりとする。
    • 白内障手術:通常0.1~0.6mLを前房内へ注入する。
    • 眼内レンズ挿入術:眼内レンズ挿入前に、通常0.1~0.5mLを前房内へ注入する。また、眼内レンズのコーティングに約0.1mL使用する。
  • ○全層角膜移植術:移植眼の角膜片を除去後に、通常0.1~0.5mLを前房内へ注入し、移植片角膜を本剤上に浮遊させて縫合を行う。また、提供眼の移植片角膜のコーティングに約0.1mL使用する。

8. 重要な基本的注意

  1. 8.1 注意深く、ゆっくりと注入すること。
  2. 8.2 過量に注入しないこと。術後の眼圧上昇の原因となる可能性がある。
  3. 8.3 超音波乳化吸引術を行う前に吸引灌流を行い、水晶体と本剤との間に灌流液で満たした空間を作ること。空間が不十分なまま超音波乳化吸引を行うと、チップの閉塞により灌流不全となり角膜熱傷を起こすことがある。
  4. 8.4 特に手術直後は、注意深く眼圧を観察すること。もし眼圧上昇があらわれた場合は適切な処置を行うこと。
  5. 8.5 手術後、できるだけ洗浄等により本剤を除去することが望ましい。

9. 特定の背景を有する患者に関する注意

9.1 合併症・既往歴等のある患者

  1. 9.1.1 本剤の成分又は蛋白系薬剤に対し過敏症の既往歴のある患者

    治療上やむを得ないと判断される場合を除き、投与しないこと。

11. 副作用

次の副作用があらわれることがあるので、観察を十分に行い、異常が認められた場合には投与を中止するなど適切な処置を行うこと。

11.2 その他の副作用

0.1~5%未満

頻度不明

眼圧上昇

炎症反応、嚢胞様黄斑浮腫、角膜浮腫、角膜混濁、前房出血、虹彩新生血管、虹彩後癒着、結膜癒着不全、散瞳、水晶体混濁、浅前房、疼痛、霧視、かゆみ

その他

眼内レンズ表面の混濁

14. 適用上の注意

14.1 薬剤使用時の注意

  1. 14.1.1 本剤は冷所に保存するので、使用に先立って室温に30分以上保つことが望ましい。
  2. 14.1.2 本剤の有効成分である精製ヒアルロン酸ナトリウムは、ベンザルコニウム塩化物等の第4級アンモニウム塩及びクロルヘキシジンにより沈殿を生じることがあるので十分注意すること。
  3. 14.1.3 本剤の開封後の使用は1回限りとし、残液は容器とともに廃棄すること。

16. 薬物動態

16.3 分布

ウサギ前房内に1%14C-ヒアルロン酸ナトリウム溶液0.2mLを投与したとき、虹彩・毛様体、前部強膜に⾼い放射活性が認められた。虹彩・毛様体では投与6時間以降、前部強膜では投与12時間以降に放射活性が減少した1)

16.5 排泄

ウサギ前房内に1%14C-ヒアルロン酸ナトリウム溶液0.2mLを投与したとき、投与後48時間までに呼気中に41.1%、尿中に3.5%及び糞中に0.9%の放射性物質が排泄された1)

17. 臨床成績

17.1 有効性及び安全性に関する試験

  • 〈白内障手術・眼内レンズ挿入術〉
    1. 17.1.1 国内第Ⅲ相比較試験

      眼内レンズ挿入術実施患者を対象に、本剤又は1%ヒアルロン酸ナトリウム製剤(平均分子量190万~390万)を眼内レンズ挿入前に前房内に注入し、また、眼内レンズのコーティングに使用した無作為化並行群間比較試験において、手術の容易性、安全性及び有用性を検討した。その結果、手術の容易性(容易及びやや容易)は、本剤群94.8%(110/116例)、1%ヒアルロン酸ナトリウム製剤群93.2%(109/117例)であった。
      本剤群の副作用は117例中3例(2.6%)に認められ、いずれも眼圧上昇であった。
      有効性及び安全性をもとにした判定に手術の容易性を加味した有用性(極めて有用及び有用)は、本剤群100%(116/116例)、1%ヒアルロン酸ナトリウム製剤群98.3%(115/117例)であり、両群間に有意差は認められなかった2)

  • 〈全層角膜移植術〉
    1. 17.1.2 国内第Ⅲ相比較試験

      全層角膜移植術例を対象に、本剤又は1%ヒアルロン酸ナトリウム製剤(平均分子量190万~390万)を移植眼の角膜片を除去後に前房内に注入し、また、移植角膜片のコーティングに使用した無作為化並行群間比較試験において、手術の容易性、安全性及び有用性を検討した。その結果、手術の容易性(容易及びやや容易)は、本剤群100%(32/32例)、1%ヒアルロン酸ナトリウム製剤群97.2%(35/36例)であった。
      本剤群に副作用は認められなかった。
      有効性及び安全性をもとにした判定に手術の容易性を加味した有用性(極めて有用及び有用)は、本剤群100%(32/32例)、1%ヒアルロン酸ナトリウム製剤群94.4%(34/36例)であり、両群間に有意差は認められなかった3) 。 

18. 薬効薬理

18.1 作用機序

1%ヒアルロン酸ナトリウム溶液は、分子量約35万以上で網目構造が形成され始めて、約160万以上で力学的に飽和されて高い粘弾性を示す4) 。前房形成作用及び角膜内皮保護作用はその高い粘弾性に基づくものと考えられる。

18.2 前房形成作用

ウサギの前房水を各種分子量の1%ヒアルロン酸ナトリウム溶液で置換し、角膜切開口からの流出状態を観察した。また、摘出眼球を用いて同様に1%溶液で前房水置換後、一定荷重下での前房深度を測定した。その結果、本剤の分子量で明らかな前房形成作用が認められている5)

18.3 角膜内皮保護作用

ウサギの角膜内皮に各種分子量の1%ヒアルロン酸ナトリウム溶液を滴下後、眼内レンズを載せて等速回転で角膜内皮に傷害を与え、生体染色法により角膜内皮細胞の傷害性を検討した結果、本剤の分子量で角膜内皮保護作用が認められている5)

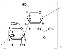
19. 有効成分に関する理化学的知見

一般的名称

精製ヒアルロン酸ナトリウム(Purified Sodium Hyaluronate)(JAN)

分子式

(C14H20NNaO11)n

分子量

平均分子量150万~390万

性状

白色の粉末、粒又は繊維状の塊である。
水にやや溶けにくく、エタノール(99.5)にほとんど溶けない。
吸湿性である。

化学構造式

20. 取扱い上の注意

外箱開封後は遮光して保存すること。

22. 包装

  • 〈ヒアルロン酸Na0.5眼粘弾剤1%MV「わかもと」〉

    0.5mL×1筒

  • 〈ヒアルロン酸Na0.6眼粘弾剤1%MV「わかもと」〉

    0.6mL×1筒

  • 〈ヒアルロン酸Na1.1眼粘弾剤1%MV「わかもと」〉

    1.1mL×1筒

24. 文献請求先及び問い合わせ先

*わかもと製薬株式会社 メディカルインフォメーション

*〒103-8330 東京都中央区日本橋本町二丁目2番2号

*TEL:03-3279-0379  FAX:03-3279-1272

25. 保険給付上の注意

  • 〈ヒアルロン酸Na1.1眼粘弾剤1%MV「わかもと」〉

    本製剤は、連続して行われる白内障手術及び眼内レンズ挿入術に伴って使用される場合に限り算定できるものである。(令和2年6月18日付保医発0618第3号厚生労働省保険局医療課長通知)

26. 製造販売業者等

26.1 *製造販売元

わかもと製薬株式会社

東京都中央区日本橋本町二丁目2番2号



  • ヒアルロン酸Na眼粘弾剤1%MV「わかもと」の使用法

〒100-0013 東京都千代田区霞が関3-3-2 新霞が関ビル

画面を閉じる

Copyright © Pharmaceuticals and Medical Devices Agency, All Rights reserved.