医療用医薬品 詳細表示

オフサロン点眼液

添付文書番号

1319802Q2020_1_15

企業コード

890016

作成又は改訂年月

2023年6月改訂(第1版)

日本標準商品分類番号

871319

薬効分類名

眼科用抗生物質製剤

承認等

オフサロン点眼液

販売名コード

YJコード

1319802Q2020

販売名英語表記

OPHTHALON OPHTHALMIC SOLUTION

販売名ひらがな

おふさろんてんがんえき

承認番号等

承認番号

15000EMZ00320000

販売開始年月

1976年9月

貯法・有効期間

貯法

2~8℃保存

有効期間

2年

基準名

日本薬局方

クロラムフェニコール・コリスチンメタンスルホン酸ナトリウム点眼液

一般的名称

クロラムフェニコール
コリスチンメタンスルホン酸ナトリウム

2. 禁忌(次の患者には投与しないこと)

本剤又は本剤配合成分に対し過敏症の既往歴のある患者

3. 組成・性状

3.1 組成

オフサロン点眼液

有効成分1mL中クロラムフェニコール2.5mg(力価)、コリスチンメタンスルホン酸ナトリウム10万単位  
添加剤ホウ酸、ホウ砂、ポリソルベート80、ポリオキシエチレン硬化ヒマシ油60、マクロゴール400、クロルヘキシジングルコン酸塩液

3.2 製剤の性状

オフサロン点眼液

pH6.0~8.0
浸透圧比1.0~1.2
性状・剤形無色~微黄色澄明な水性点眼剤(無菌製剤)

4. 効能又は効果

  • 〈適応菌種〉

    クロラムフェニコール/コリスチンに感性の緑膿菌を主とするグラム陰性桿菌

  • 〈適応症〉

    眼瞼炎、結膜炎、角膜炎(角膜潰瘍を含む)、眼科周術期の無菌化療法

6. 用法及び用量

1日4~5回、1回2~3滴点眼する。

8. 重要な基本的注意

  1. 8.1 本剤の使用にあたっては、耐性菌の発現等を防ぐため、原則として感受性を確認し、疾病の治療上必要な最小限の期間の投与にとどめること。
  2. 8.2 長期連用を避けること。,
  3. 8.3 使用中に感作されるおそれがあるので、観察を十分に行い、感作されたことを示す兆候があらわれた場合には投与を中止すること。

11. 副作用

次の副作用があらわれることがあるので、観察を十分に行い、異常が認められた場合には投与を中止するなど適切な処置を行うこと。

11.1 重大な副作用

  1. 11.1.1 骨髄形成不全(頻度不明)

    長期投与後、骨髄形成不全があらわれることがある。

11.2 その他の副作用

頻度不明

過敏症

接触性皮膚炎

菌交代症

長期連用による菌交代症

長期連用注)

全身的使用の場合と同様な症状

注)

14. 適用上の注意

14.1 薬剤交付時の注意

  • 患者に対し以下の点に注意するよう指導すること。
    • 薬液汚染防止のため、点眼のとき、容器の先端が直接目に触れないように注意すること。
    • 患眼を開瞼して結膜嚢内に点眼し、1~5分間閉瞼して涙嚢部を圧迫させた後、開瞼すること。
    • 他の点眼剤を併用する場合には、少なくとも5分以上間隔をあけてから点眼すること。
    • 点眼後口中に苦味を感じることがある。(点眼したクロラムフェニコールが若干口中に流れ出てくるため)
    • 遮光して保存すること。

17. 臨床成績

17.1 有効性及び安全性に関する試験

  • 〈結膜炎・角膜炎(角膜潰瘍を含む)〉
    1. 17.1.1 国内一般臨床試験①

      急性結膜炎の患者28例を対象に、本剤1日3~4回1)、3~11日間点眼した結果、有効率(有効以上)は100%(28/28例)であった。眼の刺激症状やその他の副作用は認められなかった1)

    2. 17.1.2 国内一般臨床試験②

      急性結膜炎、角膜炎の患者14例を対象に、本剤1日3~5回、1回1~2滴1)点眼し、4~8日後に効果を判定した結果、有効率(有効以上)は急性結膜炎で75.0%(9/12眼)、角膜炎で50.0%(1/2例)であった。副作用は認められなかった2)

    3. 17.1.3 国内一般臨床試験③

      急性結膜炎の患者30例を対象に、本剤を原則として1日4回、1回2滴1)、4~24日間点眼した結果、有効率(有効以上)は100%(30/30例)であった。副作用は認められなかった3)

  • 1) 本剤の承認された用法及び用量は、1日4~5回、1回2~3滴点眼である。

18. 薬効薬理

18.1 作用機序

  1. 18.1.1 クロラムフェニコール

    タンパク合成阻害であり、細菌のリポソーム50Sサブユニットに作用し、ペプチド結合形成やt-RNAからのペプチド鎖の遊離を阻害することでタンパク合成を抑制し、抗菌効果を発揮するとされている。静菌的に作用する4)

  2. 18.1.2 コリスチンメタンスルホン酸ナトリウム

    細菌細胞膜障害であり、殺菌的に作用する5)

18.2 抗菌作用

緑膿菌を用いた希釈法において本剤の抗菌力を検討した結果、24時間培養後の菌の増殖に伴う混濁は認められなかった1)in vitro)。

19. 有効成分に関する理化学的知見

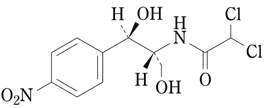
19.1 クロラムフェニコール

一般的名称

クロラムフェニコール(Chloramphenicol)(JAN)

化学名

2,2-Dichloro-N-[(1R,2R)-1,3-dihydroxy-1-(4-nitrophenyl)propan-2-yl]acetamide

分子式

C11H12Cl2N2O5

分子量

323.13

性状

白色~黄白色の結晶又は結晶性の粉末である。メタノール又はエタノール(99.5)に溶けやすく、水に溶けにくい。

化学構造式

19.2 コリスチンメタンスルホン酸ナトリウム

一般的名称

コリスチンメタンスルホン酸ナトリウム
(Colistin Sodium Methanesulfonate)(JAN)

分子式

コリスチンAメタンスルホン酸ナトリウム C58H105N16Na5O28S5
コリスチンBメタンスルホン酸ナトリウム C57H103N16Na5O28S5

分子量

コリスチンAメタンスルホン酸ナトリウム 1749.82
コリスチンBメタンスルホン酸ナトリウム 1735.79

性状

白色~淡黄白色の粉末である。水に溶けやすく、エタノール(95)にほとんど溶けない。

化学構造式

20. 取扱い上の注意

外箱開封後は遮光して保存すること。

22. 包装

プラスチック点眼容器: 5mL×10本

24. 文献請求先及び問い合わせ先

わかもと製薬株式会社 メディカルインフォメーション

〒103-8330 東京都中央区日本橋本町二丁目2番2号

TEL:03-3279-0379 FAX:03-3279-1272

26. 製造販売業者等

26.1 製造販売元

わかもと製薬株式会社

東京都中央区日本橋本町二丁目2番2号

〒100-0013 東京都千代田区霞が関3-3-2 新霞が関ビル

画面を閉じる

Copyright © Pharmaceuticals and Medical Devices Agency, All Rights reserved.