医療用医薬品 詳細表示

メキニスト錠0.5mg/メキニスト錠2mg/メキニスト小児用ドライシロップ4.7mg

処方せん医薬品

添付文書番号
企業コード
作成又は改訂年月
日本標準商品分類番号
薬効分類名
承認等
一般的名称
1.警告
2.禁忌(次の患者には投与しないこと)
3.組成・性状
3.1組成
3.2製剤の性状
4.効能又は効果
5.効能又は効果に関連する注意
6.用法及び用量
7.用法及び用量に関連する注意
8.重要な基本的注意
9.特定の背景を有する患者に関する注意
9.1合併症・既往歴等のある患者
9.3肝機能障害患者
9.4生殖能を有する者
9.5妊婦
9.6授乳婦
9.7小児等
9.8高齢者
11.副作用
11.1重大な副作用
11.2その他の副作用
14.適用上の注意
15.その他の注意
15.2非臨床試験に基づく情報
16.薬物動態
16.1血中濃度
16.2吸収
16.3分布
16.4代謝
16.5排泄
16.6特定の背景を有する患者
16.7薬物相互作用
17.臨床成績
17.1有効性及び安全性に関する試験
18.薬効薬理
18.1作用機序
18.2抗腫瘍効果
19.有効成分に関する理化学的知見
20.取扱い上の注意
21.承認条件
22.包装
23.主要文献
24.文献請求先及び問い合わせ先
26.製造販売業者等

メキニスト錠0.5mg/メキニスト錠2mg/メキニスト小児用ドライシロップ4.7mg

添付文書番号

4291047F1026_1_18

企業コード

300242

作成又は改訂年月

**2026年2月改訂(第8版、効能変更、用法及び用量変更)
2025年3月改訂(第7版)

日本標準商品分類番号

874291

薬効分類名

抗悪性腫瘍剤
MEK阻害剤

承認等

メキニスト錠0.5mg

販売名コード

YJコード

4291047F1026

販売名英語表記

Mekinist Tablets

販売名ひらがな

めきにすとじょう0.5mg

承認番号等

承認番号

22800AMX00374000

販売開始年月

2016年6月

貯法・有効期間

貯法

25℃以下で保存

有効期間

36ヵ月

メキニスト錠2mg

販売名コード

YJコード

4291047F2022

販売名英語表記

Mekinist Tablets

販売名ひらがな

めきにすとじょう2mg

承認番号等

承認番号

22800AMX00375000

販売開始年月

2016年6月

貯法・有効期間

貯法

25℃以下で保存

有効期間

36ヵ月

メキニスト小児用ドライシロップ4.7mg

販売名コード

YJコード

4291047R1022

販売名英語表記

Mekinist Dry syrup for Pediatric

販売名ひらがな

めきにすとしょうにようどらいしろっぷ4.7mg

承認番号等

承認番号

30600AMX00240000

販売開始年月

2024年11月

貯法・有効期間

貯法

2~8℃で保存

有効期間

36ヵ月

一般的名称

トラメチニブ ジメチルスルホキシド付加物

1. 警告

  1. 1.1 本剤は、緊急時に十分対応できる医療施設において、がん化学療法に十分な知識・経験を持つ医師のもとで、本剤の投与が適切と判断される症例についてのみ投与すること。また、治療開始に先立ち、患者又はその家族に有効性及び危険性を十分説明し、同意を得てから投与すること。

2. 禁忌(次の患者には投与しないこと)

  1. 2.1 本剤の成分に対し過敏症の既往歴のある患者

3. 組成・性状

3.1 組成

メキニスト錠0.5mg

有効成分1錠中
トラメチニブ ジメチルスルホキシド付加物0.5635mg(トラメチニブとして0.5mg)  
添加剤D-マンニトール、セルロース、ヒプロメロース、クロスカルメロースナトリウム、ラウリル硫酸ナトリウム、無水ケイ酸、ステアリン酸マグネシウム、酸化チタン、マクロゴール、三二酸化鉄

メキニスト錠2mg

有効成分1錠中
トラメチニブ ジメチルスルホキシド付加物2.254mg(トラメチニブとして2mg)  
添加剤D-マンニトール、セルロース、ヒプロメロース、クロスカルメロースナトリウム、ラウリル硫酸ナトリウム、無水ケイ酸、ステアリン酸マグネシウム、酸化チタン、マクロゴール、ポリソルベート80、三二酸化鉄

メキニスト小児用ドライシロップ4.7mg

有効成分1瓶中
トラメチニブ ジメチルスルホキシド付加物5.3mg(トラメチニブとして4.7mg)  
添加剤スルホブチルエーテルβ-シクロデキストリンナトリウム、スクラロース、クエン酸水和物、無水リン酸一水素ナトリウム、ソルビン酸カリウム、メチルパラベン、香料、バニリン

3.2 製剤の性状

メキニスト錠0.5mg

外形
識別コード TT
大きさ(約)長径:9.0mm 短径:5.0mm 厚さ:3.8mm 質量:0.149g
性状黄色変形楕円形のフィルムコーティング錠

メキニスト錠2mg

外形
識別コード LL
大きさ(約)直径:7.6mm 厚さ:3.8mm 質量:0.170g
性状淡紅色円形のフィルムコーティング錠

メキニスト小児用ドライシロップ4.7mg

性状白色の粉末

4. 効能又は効果

  • 〈錠〉
    • BRAF遺伝子変異を有する悪性黒色腫
    • BRAF遺伝子変異を有する切除不能な進行・再発の非小細胞肺癌
    • 標準的な治療が困難なBRAF遺伝子変異を有する進行・再発の固形腫瘍(結腸・直腸癌を除く)
    • BRAF遺伝子変異を有する再発又は難治性の有毛細胞白血病
    • BRAF遺伝子変異を有する低悪性度神経膠腫
    • **がん化学療法後に増悪した低異型度漿液性卵巣癌
  • 〈小児用ドライシロップ〉
    • 標準的な治療が困難なBRAF遺伝子変異を有する進行・再発の固形腫瘍(結腸・直腸癌を除く)
    • BRAF遺伝子変異を有する低悪性度神経膠腫

5. 効能又は効果に関連する注意

  • 〈悪性黒色腫〉
    1. 5.1 十分な経験を有する病理医又は検査施設における検査により、BRAF遺伝子変異が確認された患者に投与すること。検査にあたっては、承認された体外診断用医薬品又は医療機器を用いること。なお、承認された体外診断用医薬品又は医療機器に関する情報については、以下のウェブサイトから入手可能である:
      https://www.pmda.go.jp/review-services/drug-reviews/review-information/cd/0001.html
    1. 5.2 「17. 臨床成績」の項の内容を熟知し、本剤の有効性及び安全性を十分に理解した上で適応患者の選択を行うこと。,,,
  • 〈非小細胞肺癌〉
    1. 5.3 十分な経験を有する病理医又は検査施設における検査により、BRAF遺伝子変異が確認された患者に投与すること。検査にあたっては、承認された体外診断用医薬品又は医療機器を用いること。なお、承認された体外診断用医薬品又は医療機器に関する情報については、以下のウェブサイトから入手可能である:
      https://www.pmda.go.jp/review-services/drug-reviews/review-information/cd/0001.html
    2. 5.4 「17. 臨床成績」の項の内容を熟知し、本剤の有効性及び安全性を十分に理解した上で適応患者の選択を行うこと。
    3. 5.5 本剤の術後補助療法における有効性及び安全性は確立していない。
  • 〈固形腫瘍〉
    1. 5.6 十分な経験を有する病理医又は検査施設における検査により、BRAF遺伝子変異が確認された患者に投与すること。検査にあたっては、承認された体外診断用医薬品又は医療機器を用いること。なお、承認された体外診断用医薬品又は医療機器に関する情報については、以下のウェブサイトから入手可能である:
      https://www.pmda.go.jp/review-services/drug-reviews/review-information/cd/0001.html
    2. 5.7 組織球症患者は本剤の投与対象となり得る。
    3. 5.8 臨床試験に組み入れられた患者のがん種等について、「17. 臨床成績」の項の内容を熟知し、本剤の有効性及び安全性を十分に理解した上で、本剤以外の治療の実施についても慎重に検討し、適応患者の選択を行うこと。,,
    4. 5.9 1歳未満の患者における有効性及び安全性は確立していない。,
    5. 5.10 本剤の手術の補助療法における有効性及び安全性は確立していない。
  • 〈有毛細胞白血病〉
    1. 5.11 十分な経験を有する病理医又は検査施設における検査により、BRAF遺伝子変異が確認された患者に投与すること。検査にあたっては、承認された体外診断用医薬品又は医療機器を用いること。なお、承認された体外診断用医薬品又は医療機器に関する情報については、以下のウェブサイトから入手可能である:
      https://www.pmda.go.jp/review-services/drug-reviews/review-information/cd/0001.html
    2. 5.12 臨床試験に組み入れられた患者の前治療歴等について、「17. 臨床成績」の項の内容を熟知し、本剤の有効性及び安全性を十分に理解した上で、適応患者の選択を行うこと。
  • 〈低悪性度神経膠腫〉
    1. 5.13 十分な経験を有する病理医又は検査施設における検査により、BRAF遺伝子変異が確認された患者に投与すること。検査にあたっては、承認された体外診断用医薬品又は医療機器を用いること。なお、承認された体外診断用医薬品又は医療機器に関する情報については、以下のウェブサイトから入手可能である:
      https://www.pmda.go.jp/review-services/drug-reviews/review-information/cd/0001.html
    2. 5.14 臨床試験に組み入れられた患者の年齢、病理組織型等について、「17. 臨床成績」の項の内容を熟知し、本剤の有効性及び安全性を十分に理解した上で適応患者の選択を行うこと。
    3. 5.15 1歳未満の患者における有効性及び安全性は確立していない。,
    4. 5.16 切除後に疾患進行した又は切除が困難な患者を対象とすること。
  • **〈低異型度漿液性卵巣癌〉
    1. 5.17 **白金系抗悪性腫瘍剤を含む化学療法歴のある患者を対象とすること。
    2. 5.18 **本剤の手術の補助療法における有効性及び安全性は確立していない。

6. 用法及び用量

    • 〈悪性黒色腫〉

      ダブラフェニブとの併用において、通常、成人にはトラメチニブとして2mgを1日1回、空腹時に経口投与する。ただし、術後補助療法の場合には、投与期間は12ヵ月間までとする。なお、患者の状態により適宜減量する。

    • 〈非小細胞肺癌、有毛細胞白血病〉

      ダブラフェニブとの併用において、通常、成人にはトラメチニブとして2mgを1日1回、空腹時に経口投与する。なお、患者の状態により適宜減量する。

    • 〈固形腫瘍、低悪性度神経膠腫〉

      ダブラフェニブとの併用において、通常、トラメチニブとして以下の用量を1日1回、空腹時に経口投与する。なお、患者の状態により適宜減量する。

      • 成人には、2mg
      • 小児には、体重に合わせて次の用量

        体重

        26kg以上
        38kg未満

        38kg以上
        51kg未満

        51kg以上

        投与量

        1mg

        1.5mg

        2mg

    • **〈低異型度漿液性卵巣癌〉

      通常、成人にはトラメチニブとして2mgを1日1回、空腹時に経口投与する。なお、患者の状態により適宜減量する。

  • 小児用ドライシロップ
    • 〈固形腫瘍、低悪性度神経膠腫〉

      ダブラフェニブとの併用において、通常、小児にはトラメチニブとして体重に合わせて次の用量を1日1回、空腹時に経口投与する。

      体重

      8kg以上
      9kg未満

      9kg以上
      11kg未満

      11kg以上
      12kg未満

      12kg以上
      14kg未満

      14kg以上
      18kg未満

      18kg以上
      22kg未満

      22kg以上
      26kg未満

      投与量

      0.3mg

      0.35mg

      0.4mg

      0.45mg

      0.55mg

      0.7mg

      0.85mg

      体重

      26kg以上
      30kg未満

      30kg以上
      34kg未満

      34kg以上
      38kg未満

      38kg以上
      42kg未満

      42kg以上
      46kg未満

      46kg以上
      51kg未満

      51kg以上

      投与量

      0.9mg

      1mg

      1.15mg

      1.25mg

      1.4mg

      1.6mg

      2mg

7. 用法及び用量に関連する注意

  • 〈効能共通〉
    1. 7.1 食後に本剤を投与した場合、Cmax及びAUCが低下するとの報告がある。食事の影響を避けるため、食事の1時間前から食後2時間までの間の服用は避けること。
    2. 7.2 **本剤投与により副作用(発熱を除く)が発現した場合には、下記の基準を参考に、本剤を休薬、減量又は中止すること。ただし、ダブラフェニブとの併用において、有棘細胞癌(皮膚の扁平上皮癌)又は新たな原発性悪性黒色腫が発現した場合には、外科的切除等の適切な処置を行った上で、休薬、減量することなく治療を継続することができる。
      休薬、減量及び中止基準

      NCI-CTCAE注1)によるGrade判定

      処置

      忍容不能なGrade 2
      又はGrade 3

      休薬
      Grade 1以下まで軽快後、1段階減量して投与を再開

      Grade 4

      原則投与中止
      治療継続が患者にとって望ましいと判断された場合には、Grade 1以下まで軽快後、1段階減量して投与を再開

      注1)NCI-CTCAE v4.0によりGradeを判定

      錠の場合

      用量調節の目安(成人)

      用量調節段階注2)

      投与量(1日1回)

      通常投与量

      2mg

      1段階減量

      1.5mg

      2段階減量

      1mg

      3段階減量

      投与中止

      注2)適切な処置により副作用が管理できた場合には、減量時と逆の段階を経て増量可

      用量調節の目安(小児)

      用量調節段階注2)

      投与量(1日1回)

      通常投与量

      1mg

      1.5mg

      2mg

      1段階減量

      0.5mg

      1mg

      1.5mg

      2段階減量

      投与中止

      0.5mg

      1mg

      3段階減量

      投与中止

      投与中止

      小児用ドライシロップの場合

      用量調節の目安(小児)

      用量調節段階注2)

      投与量(1日1回)

      体重

      8kg以上
      9kg未満

      9kg以上
      11kg未満

      11kg以上
      12kg未満

      12kg以上
      14kg未満

      14kg以上
      18kg未満

      18kg以上
      22kg未満

      22kg以上
      26kg未満

      通常投与量

      0.3mg

      0.35mg

      0.4mg

      0.45mg

      0.55mg

      0.7mg

      0.85mg

      1段階減量

      0.25mg

      0.25mg

      0.3mg

      0.35mg

      0.4mg

      0.55mg

      0.65mg

      2段階減量

      0.15mg

      0.2mg

      0.2mg

      0.25mg

      0.3mg

      0.35mg

      0.45mg

      3段階減量

      投与中止

      投与中止

      投与中止

      投与中止

      投与中止

      投与中止

      投与中止

      用量調節段階注2)

      投与量(1日1回)

      体重

      26kg以上
      30kg未満

      30kg以上
      34kg未満

      34kg以上
      38kg未満

      38kg以上
      42kg未満

      42kg以上
      46kg未満

      46kg以上
      51kg未満

      51kg以上

      通常投与量

      0.9mg

      1mg

      1.15mg

      1.25mg

      1.4mg

      1.6mg

      2mg

      1段階減量

      0.7mg

      0.75mg

      0.85mg

      0.95mg

      1.05mg

      1.2mg

      1.5mg

      2段階減量

      0.45mg

      0.5mg

      0.6mg

      0.65mg

      0.7mg

      0.8mg

      1mg

      3段階減量

      投与中止

      投与中止

      投与中止

      投与中止

      投与中止

      投与中止

      投与中止

    3. 7.3 38.0℃以上の発熱が認められた場合には、本剤を休薬すること。発熱の回復後、24時間以上発熱がない場合には、休薬前と同一の用量で投与を再開すること。38.0℃未満の発熱又は悪寒、戦慄、寝汗、インフルエンザ様症状等の発熱の初期症状の再発が認められた時点で本剤の休薬を検討すること。必要に応じて、7.2項の用量調節の目安を参考に、本剤を減量すること。本剤を休薬しても4週間以内に発熱がGrade1以下又はベースラインに軽快しない場合は、本剤の投与を中止すること。,
    4. 7.4 0.5mg錠と2mg錠の生物学的同等性は示されていないため、2mgを投与する際には0.5mg錠を使用しないこと。
  • 〈固形腫瘍、低悪性度神経膠腫〉
    1. 7.5 8kg未満の小児患者における有効性及び安全性は確立していない。
    2. 7.6 錠と小児用ドライシロップの生物学的同等性は示されていない。錠と小児用ドライシロップの切替えを行う場合は、患者の状態をより慎重に観察すること。
  • **〈低異型度漿液性卵巣癌〉
    1. 7.7 **他の抗悪性腫瘍剤との併用について、有効性及び安全性は確立していない。

8. 重要な基本的注意

  • 〈効能共通〉
    1. 8.1 心障害があらわれることがあるので、本剤投与開始前には、患者の心機能を確認すること。本剤投与中は適宜心機能検査(心エコー等)を行い、患者の状態(左室駆出率(LVEF)の変動を含む)を十分に観察すること。,
    2. 8.2 網膜静脈閉塞、網膜色素上皮剥離、網膜剥離等の重篤な眼障害が報告されているので、定期的に眼の異常の有無を確認すること。また、眼の異常が認められた場合には、速やかに医療機関を受診するよう患者を指導すること。
    3. 8.3 肝機能障害があらわれることがあるので、本剤投与中は定期的に肝機能検査を行うこと。,
    4. 8.4 発熱が高頻度に認められ、重度の脱水、低血圧を伴う例も報告されているので、患者の状態を十分に観察し、異常が認められた場合には減量、休薬や解熱剤の投与など適切な処置を行い、感染症等の有無を評価すること。解熱剤で効果が不十分な場合には、経口ステロイド剤の投与を検討すること。
    5. 8.5 横紋筋融解症があらわれることがあるので、筋肉痛、脱力感、CK(CPK)上昇、血中及び尿中ミオグロビン上昇等に十分注意すること。
    6. 8.6 *好中球減少症、白血球減少症があらわれることがあるので、本剤投与中は定期的に血液検査を実施するなど観察を十分に行うこと。
  • **〈低異型度漿液性卵巣癌〉
    1. 8.7 **関連文献(「医療上の必要性の高い未承認薬・適応外薬検討会議 公知申請への該当性に係る報告書:トラメチニブ(再発した低異型度漿液性卵巣癌または腹膜癌)」等)を熟読すること。

9. 特定の背景を有する患者に関する注意

9.1 合併症・既往歴等のある患者

  1. 9.1.1 心疾患又はその既往歴のある患者

    症状が悪化するおそれがある。,

9.3 肝機能障害患者

  1. 9.3.1 中等度以上の肝機能障害患者

    本剤の曝露量が増加する可能性がある。,,

9.4 生殖能を有する者

*妊娠する可能性のある女性には、本剤投与中及び最終投与後16週間において避妊する必要性及び適切な避妊法について説明すること。

9.5 妊婦

妊婦又は妊娠している可能性のある女性には投与しないことが望ましい。本剤を妊娠中に投与する場合、及び投与中に妊娠した場合には、胎児に対する危険性を患者に説明すること。動物実験では、ラットにおいて母動物の体重増加量の低値、着床後死亡率の高値傾向又は胎児体重の低値が0.094/0.031mg/kg/日(初回/2回目以降の投与量;臨床曝露量(AUC)の約0.3倍)以上の群でみられ、ウサギにおいて母動物の体重増加量の低値、流産、胎児体重の低値及び骨格異常の発現頻度の増加が0.077/0.0385mg/kg/日(臨床曝露量(AUC)の約0.1倍)以上の群で認められている。

9.6 授乳婦

治療上の有益性及び母乳栄養の有益性を考慮し、授乳の継続又は中止を検討すること。ヒトの乳汁中への移行は不明である。

9.7 小児等

  • **〈悪性黒色腫、非小細胞肺癌、有毛細胞白血病、低異型度漿液性卵巣癌〉

    小児等を対象とした臨床試験は実施していない。

  • 〈固形腫瘍、低悪性度神経膠腫〉

    低出生体重児、新生児を対象とした臨床試験は実施していない。,

9.8 高齢者

患者の状態を観察しながら注意して投与すること。一般に生理機能が低下している。

11. 副作用

次の副作用があらわれることがあるので、観察を十分に行い、異常が認められた場合には投与を中止するなど適切な処置を行うこと。

11.1 重大な副作用

  1. 11.1.1 心障害注1)、注2)、注3)

    心不全(0.1%、0.5%)、左室機能不全(0.2%、1.4%)、駆出率減少(5.8%、4.7%)等の重篤な心障害があらわれることがある。,

  2. 11.1.2 肝機能障害注1)、注2)、注3)

    ALT(11.2%、4.3%)、AST(11.2%、5.2%)等の上昇を伴う肝機能障害があらわれることがある。,

  3. 11.1.3 間質性肺疾患(0.1%、0.5%)注1)、注2)、注3)
  4. 11.1.4 横紋筋融解症(0.4%、頻度不明)注1)、注2)、注3)

  5. 11.1.5 静脈血栓塞栓症(0.3%、頻度不明)注1)、注2)、注3)
  6. 11.1.6 脳血管障害注1)、注2)、注3)

    脳出血(0.1%、頻度不明)、脳卒中(いずれも頻度不明)等の脳血管障害があらわれることがある。

  7. 11.1.7 *好中球減少症(8.0%、1.4%)、白血球減少症(3.3%、頻度不明)注1)、注2)、注3)

注1)重大な副作用の発現頻度は、ダブラフェニブとの併用時、本剤単独投与時の順に記載した。

11.2 その他の副作用

ダブラフェニブとの併用時注2)

10%以上

1%~10%未満

1%未満

頻度不明

感染症

-

毛包炎、膿疱性皮疹、爪囲炎

蜂巣炎、尿路感染、上咽頭炎

-

*血液

-

貧血、血小板減少症

-

-

代謝

-

食欲減退、脱水、低ナトリウム血症、低リン血症、高血糖

-

-

*神経系

頭痛

浮動性めまい、末梢性ニューロパチー

-

-

-

霧視、ぶどう膜炎、視力障害

網膜色素上皮剥離、眼窩周囲浮腫、網脈絡膜症、網膜剥離、視力低下

網膜静脈閉塞

*心・血管

-

高血圧、低血圧、出血(鼻出血、歯肉出血等)

リンパ浮腫、徐脈、QT/QTc 間隔延長、房室ブロック

心拍数減少

呼吸器

-

咳嗽、呼吸困難

-

-

消化器

悪心、下痢、嘔吐

便秘、腹痛、口内乾燥、口内炎

膵炎

-

肝胆道系

-

ALP増加、γ-GTP増加

-

-

皮膚

発疹、皮膚乾燥

そう痒症、ざ瘡様皮膚炎、紅斑、日光角化症、寝汗、過角化、脱毛症、手掌・足底発赤知覚不全症候群、皮膚病変、多汗症、脂肪織炎、皮膚亀裂、光線過敏症

-

急性熱性好中球性皮膚症(Sweet症候群)

筋骨格系

関節痛、筋肉痛

四肢痛、筋痙縮、血中CK増加

-

-

-

-

腎炎、腎不全、尿細管間質性腎炎、急性腎障害

-

全身

発熱(49.6%)、疲労、悪寒

無力症、末梢性浮腫、インフルエンザ様疾患、粘膜の炎症、体重増加

顔面浮腫

-

その他

-

脂漏性角化症

乳頭腫、皮膚有棘細胞癌、アクロコルドン、新規の原発性悪性黒色腫、ケラトアカントーマ、ボーエン病、過敏症

-

本剤単独投与時注3)

10%以上

1%~10%未満

1%未満

頻度不明

感染症

-

毛包炎、爪囲炎、膿疱性皮疹

-

蜂巣炎

血液

-

貧血

-

-

代謝

-

-

脱水

-

*神経系

-

末梢性ニューロパチー

-

-

-

眼窩周囲浮腫、霧視

視力障害、視神経乳頭浮腫、網脈絡膜症、網膜剥離、視力低下

網膜静脈閉塞、網膜色素上皮剥離

*心・血管

-

高血圧、リンパ浮腫、出血(鼻出血、歯肉出血等)

徐脈

心拍数減少、QT/QTc間隔延長、房室ブロック

呼吸器

-

咳嗽、呼吸困難

-

-

消化器

下痢(33%)、悪心

嘔吐、便秘、腹痛、口内乾燥、口内炎

-

膵炎

肝胆道系

-

ALP増加

-

-

皮膚

発疹(56%)、ざ瘡様皮膚炎、皮膚乾燥、脱毛症

そう痒症、紅斑、手掌・足底発赤知覚不全症候群、皮膚亀裂、ひび・あかぎれ

-

-

筋骨格系

-

血中CK増加

-

-

全身

疲労、末梢性浮腫

発熱、顔面浮腫、粘膜の炎症、無力症

-

-

その他

-

-

過敏症

-

注2)ダブラフェニブとの併用時の副作用頻度は、臨床試験(MEK115306試験、MEK116513試験、F2301試験、E2201試験、X2201試験及びG2201試験)に基づき記載した。
注3)本剤単独投与時の副作用頻度は、海外臨床試験(MEK114267試験)に基づき記載した。

14. 適用上の注意

14.1 〈小児用ドライシロップ〉
薬剤交付時の注意

  1. 14.1.1 患者又は保護者等に対して具体的な調製方法、投与時の注意点等を指導すること。

14.2 薬剤調製時の注意

  1. 14.2.1 容器のラベルに記載されている目印まで水を入れた後、静かに転倒混和してシロップ剤を調製すること。なお、調製後のシロップ剤はトラメチニブとして0.05mg/mLの溶液となる。
  2. 14.2.2 調製後のシロップ剤は、25℃以下で遮光保存し、凍結させないこと。調製後のシロップ剤は、使用の都度密栓し、調製日から35日以内に使用すること。調製から35日を経過した場合は、シロップ剤を廃棄すること。

15. その他の注意

15.2 非臨床試験に基づく情報

  1. 15.2.1 ラットの0.016mg/kg/日(臨床曝露量(AUC)の約0.2倍)以上の群で卵胞嚢胞の増加及び黄体数の減少がみられたことから、受胎能に悪影響を及ぼす可能性が示唆された。
  2. 15.2.2 マウスの0.25mg/kg/日(臨床曝露量(AUC)の約3倍)以上の群で心臓の病理組織学的変化を伴わない左室機能の低下並びに心拍数及び心重量の低値、ラットの1mg/kg/日(臨床曝露量(AUC)の約0.5~0.8倍)群で血清リンの高値を伴う心筋の鉱質沈着及び壊死がみられた。
  3. 15.2.3 In vitro 3T3 NRU光毒性試験において、本剤は光毒性を有する可能性が示唆された。
  4. 15.2.4 幼若ラットの0.0125mg/kg/日/0.08mg/kg/日(生後7~21日の投与量/生後22~45日の投与量)(成人の臨床曝露量(AUC)の約0.3倍)以上の群で成長・発達(体重減少、骨長の短縮、腟開口の遅延)、骨(大腿骨一次海綿骨壊死等)等への影響がみられた。

16. 薬物動態

16.1 血中濃度

  1. 16.1.1 単回及び反復投与

    日本人固形癌患者6例に、ダブラフェニブ150mgの1日2回併用下でトラメチニブ2mgを1日1回空腹時に反復経口投与した時、トラメチニブの血漿中濃度は投与後1時間で最高濃度に達した1)
    外国人固形癌患者4例にトラメチニブ2mgを単回経口投与及び[14C]トラメチニブ5μgを単回静脈内投与したときの絶対的バイオアベイラビリティは、約72.3%であった2)

    日本人固形癌患者にダブラフェニブ併用下でトラメチニブ2mgを単回及び反復経口投与したときの血漿中トラメチニブ濃度推移(平均値+標準偏差)
    日本人固形癌患者にダブラフェニブ併用下でトラメチニブ2mgを単回及び反復経口投与したときの血漿中トラメチニブの薬物動態パラメータ

    例数
    (n)

    Cmax
    (ng/mL)

    Tmax
    (hr)

    AUC#1
    (ng・hr/mL)

    T1/2
    (hr)

    1日目

    6

    7.82
    (112)

    0.97
    (0.9-23.8)

    376#2
    (23.1)

    82.9#2
    (46.8)

    21日目

    6

    32.5
    (20.2)

    1.2
    (0.9-5.9)

    448
    (25.5)

    -

    幾何平均値(変動係数%)、Tmaxは中央値(最小値-最大値)
    #1:1日目はAUCinf、21日目はAUC0-24h
    #2:n=5

16.2 吸収

  1. 16.2.1 食事の影響

    外国人固形癌患者24例にトラメチニブ2mg注1)を高脂肪・高カロリー食摂食後に単回経口投与した時の血漿中トラメチニブのAUC及びCmaxは絶食下に比べて、それぞれ約10及び70%低下した3)
    注1)本剤の承認用法・用量は、ダブラフェニブとの併用において、通常、成人にはトラメチニブとして2mgを1日1回、空腹時に経口投与である。

16.3 分布

トラメチニブのヒト血漿蛋白結合率は96.3~98.6%であり、血液/血漿中濃度比は約3であった4),5)in vitro)。

16.4 代謝

  1. 16.4.1 In vitro

    トラメチニブは主にカルボキシエステラーゼにより脱アセチル化され、わずかにCYP3A4でも代謝された6),7)

  2. 16.4.2 In vivo

    外国人固形癌患者2例に[14C]トラメチニブ(溶液)2mg注1)を単回経口投与した時の血漿中には、未変化体が検出され(血漿中放射能の約50%以下)、代謝物として脱アセチル体、脱アセチル体の酸化体及び脱アセチル体のグルクロン酸抱合体が検出された8)

16.5 排泄

外国人固形癌患者2例に[14C]トラメチニブ(溶液)2mg注1)を単回経口投与後の主排泄経路は糞中であり、放射能の糞中回収率は投与放射能の35%以上(総回収量の81%以上)、尿中回収率は投与放射能の9.0%以下(総回収量の19%以下)であった。放射能回収率は投与10日間後までで50%未満であった8)

16.6 特定の背景を有する患者

  1. 16.6.1 肝機能障害患者

    外国人の肝機能注2)の異なる患者に本剤を1日1回反復経口投与した時の血漿中薬物動態パラメータは以下のとおりであった。

    外国人の肝機能の異なる患者に本剤を反復経口投与したときの血漿中トラメチニブの薬物動態パラメータ

    肝機能

    例数
    (n)

    投与量
    (mg)

    Cmax
    (ng/mL)

    AUC0-24h
    (hr*ng/mL)

    正常

    10

    2

    26.149(38.03)

    449.54(32.76)

    軽度

    6

    2

    26.196(58.85)

    352.113(49.73)

    中等度

    2

    1.5注1)

    13.00、14.10

    212.41、248.47

    1

    2

    14.60

    320.50

    重度

    2

    1注1)

    7.57、12.00

    114.79、165.57

    1

    1.5注1)

    7.43

    118.37

    幾何平均値±(幾何変動係数%)、n=1又は2の場合は個別値
    注2)NCI分類

  2. 16.6.2 小児

    海外第Ⅰ相試験(A2102試験及びX2101試験)及び国際共同第Ⅱ相試験(G2201試験)に組み入れられた95例(6歳以上18歳未満)のデータを用いた母集団薬物動態解析の結果、①26kg以上38kg未満の患者に1mg、②38kg以上51kg未満の患者に1.5mg、③51kg以上の患者に2mgをそれぞれ1日1回反復経口投与した際の、トラメチニブのCmax(ng/mL)及びAUC0-24h(ng・hr/mL)の中央値は、①15.3及び256.4、②19.8及び345.1並びに③21.1及び381.5と推定された。
    海外第Ⅰ相試験(A2102試験及びX2101試験)及び国際共同第Ⅱ相試験(G2201試験)に組み入れられた244例(0歳以上18歳未満)のデータを用いた母集団薬物動態解析の結果、①17kg未満に0.038mg/kg、②17kg以上26kg未満に0.038mg/kg、③26kg以上38kg未満に0.032mg/kg、④38kg以上51kg未満に0.032mg/kg、⑤51kg以上の患者に2mgをそれぞれ1日1回反復経口投与した際の、トラメチニブのCmax(ng/mL)及びAUC0-24h(ng・hr/mL)の中央値は、①18.1及び216.9、②21.4及び274.1、③21.1及び291.5、④24.0及び347.8並びに⑤26.0及び399.8と推定された。

16.7 薬物相互作用

  1. 16.7.1 In vitro

    トラメチニブはCYP2C8、2C9及び2C19を阻害し(IC50:それぞれ0.34、4.1及び5.0μM)、CYP3A4及び2B6を誘導すると考えられた。また、Pgp及びBSEPの基質であり、Pgp、BCRP、OATP1B1、OATP1B3、OAT1、OAT3及びMATE1を阻害した(IC50:それぞれ5.5、1.1、1.3、0.94、1.34、2.58及び0.0609μM)9),10),11),12)

  2. 16.7.2 In vivo

    ダブラフェニブ
    外国人固形癌患者17例にトラメチニブ2mgの1日1回反復経口投与とダブラフェニブ150mgの1日2回反復経口投与を併用した時、血漿中ダブラフェニブのCmax及びAUCは、ダブラフェニブ単独投与時に比べて、それぞれ約16及び23%増加した13)

17. 臨床成績

17.1 有効性及び安全性に関する試験

  • 〈根治切除不能な悪性黒色腫〉
    1. 17.1.1 国内第Ⅰ/Ⅱ相臨床試験(MEK116885試験)

      BRAF V600E/K変異を有する①進行固形癌患者(第Ⅰ相パート)及び②根治切除不能な悪性黒色腫患者(第Ⅱ相パート)(症例数:①6例及び②6例)を対象にトラメチニブ(2mgを1日1回連日投与)とダブラフェニブ(1回150mgを1日2回連日投与)を併用する第Ⅰ/Ⅱ相非盲検非対照試験を実施した。第Ⅱ相パートにおける奏効率注1)は83%(5/6例)であった。
      副作用発現頻度は、100%(12/12例)であった。主な副作用は、発熱66.7%(8/12例)、AST増加及び末梢性浮腫各 50.0%(6/12例)であった1)
      注1)RECIST(ver 1.1)ガイドラインによる治験責任医師に基づく判定(CR+PR)

    2. 17.1.2 海外第Ⅲ相臨床試験(MEK116513試験、COMBI-v)

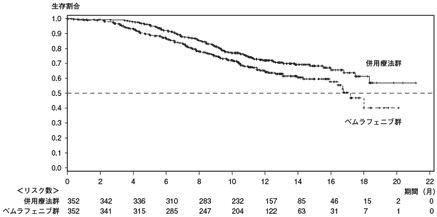
      BRAF V600E/K変異を有する根治切除不能な悪性黒色腫患者704例を対象に、トラメチニブ(2mgを1日1回連日投与)とダブラフェニブ(1回150mgを1日2回連日投与)を併用する群(併用療法群352例)とベムラフェニブ(1回960mgを1日2回連日投与)を投与する群(ベムラフェニブ群352例)と比較した第Ⅲ相非盲検無作為化比較試験を実施した。全生存期間(OS)の中間解析において、ベムラフェニブ群と比較して併用療法群において統計学的に有意な延長が認められた[Kaplan-Meier法で推定した中央値:併用療法群未到達、ベムラフェニブ群17.2ヵ月、ハザード比0.69(95%信頼区間:0.53-0.89)、層別log-rank検定p=0.005]。

      全生存期間(OS)のKaplan-Meier曲線
      (MEK116513試験ITT集団、2014年4月17日カットオフ)

      トラメチニブとダブラフェニブ併用療法群における副作用発現頻度は、91%(320/350例)であった。主な副作用は、発熱 47%(163/350例)、悪寒 28%(98/350例)及び悪心 23%(81/350例)であった14)

    3. 17.1.3 海外第Ⅲ相臨床試験(MEK115306試験、COMBI-d)

      BRAF V600E/K変異を有する根治切除不能な悪性黒色腫患者423例を対象に、トラメチニブ(2mgを1日1回連日投与)とダブラフェニブ(1回150mgを1日2回連日投与)を併用する群(併用療法群211例)とダブラフェニブ(1回150mgを1日2回連日投与)を投与する群(単剤療法群212例)を比較した第Ⅲ相二重盲検無作為化比較試験を実施した。無増悪生存期間(PFS)の解析において、単剤療法群と比較して併用療法群において統計学的に有意な延長が認められた[Kaplan-Meier法で推定した中央値:併用療法群9.3ヵ月、単剤療法群8.8ヵ月、ハザード比0.75(95%信頼区間:0.57-0.99)、層別log-rank検定 p=0.035]15)。なお、OSの最終解析において、Kaplan-Meier法で推定した中央値は併用療法群で25.1ヵ月、単剤療法群で18.7ヵ月であった[ハザード比0.71(95%信頼区間:0.55-0.92)]。
      トラメチニブとダブラフェニブ併用療法群における副作用発現頻度は、86%(179/209例)であった。主な副作用は、発熱47%(98/209例)、悪寒 27%(57/209例)及び疲労 25%(52/209例)であった。

  • 〈悪性黒色腫の術後補助療法〉
    1. 17.1.4 国際共同第Ⅲ相臨床試験(F2301試験、COMBI-AD)

      BRAF V600E/K変異を有する再発ハイリスク(American Joint Committee on Cancer(AJCC)Melanoma of the Skin Staging version 7に基づく病期Ⅲa:リンパ節転移1mm超、Ⅲb、Ⅲc)の悪性黒色腫の術後患者870例(日本人患者5例を含む)を対象に、トラメチニブ(2mgを1日1回連日投与)とダブラフェニブ(1回150mgを1日2回連日投与)を併用する群(併用療法群438例)とプラセボ群(432例)を比較した第Ⅲ相二重盲検無作為化比較試験を実施した。併用療法もしくはプラセボの投与期間は12ヵ月間とした。無再発生存期間(RFS)の解析において、プラセボ群と比較して併用療法群において統計学的に有意な延長が認められた[Kaplan-Meier法で推定したRFSの中央値:併用療法群未到達、プラセボ群16.6ヵ月、ハザード比0.47(95%信頼区間:0.39-0.58)、層別log-rank検定 p=1.53×10-14]。

      無再発生存期間(RFS)のKaplan-Meier曲線
      (2017年6月30日カットオフ)

      トラメチニブとダブラフェニブ併用療法群における副作用発現頻度は、91.5%(398/435例(日本人患者3例を含む))であった。主な副作用は、発熱56.1%(244/435例)、疲労39.1%(170/435例)、悪寒 35.6%(155/435例)であった16)

  • 〈非小細胞肺癌〉
    1. 17.1.5 国際共同第Ⅱ相臨床試験(E2201試験)

      BRAF V600E変異を有する切除不能な進行・再発の非小細胞肺癌患者を対象に、トラメチニブ(2mgを1日1回連日投与)とダブラフェニブ(1回150mgを1日2回連日投与)の併用投与(①白金系抗悪性腫瘍剤を含む化学療法歴のある患者57例(日本人患者1例を含む)、②化学療法歴のない患者36例)を検討する第Ⅱ相非盲検非対照試験を実施した。奏効率注1)(%)はそれぞれ①63.2(95%信頼区間:49.3-75.6)及び②61.1(95%信頼区間:43.5-76.9)であった。
      トラメチニブとダブラフェニブ併用療法群における副作用発現頻度は、89.2%(83/93例(日本人患者1例を含む))であった。主な副作用は、発熱49.5%(46/93例)、悪心38.7%(36/93例)、嘔吐及び皮膚乾燥 26.9%(25/93例)であった17)

  • 〈固形腫瘍、有毛細胞白血病〉
    1. 17.1.6 国際共同第Ⅱ相臨床試験(X2201試験、ROAR)

      標準的な治療選択肢のないBRAF V600E変異を有する固形腫瘍患者、BRAF V600E変異を有する再発又は難治性の有毛細胞白血病患者注2)等(18歳以上)を対象に、トラメチニブ(2mgを1日1回連日投与)とダブラフェニブ(1回150mgを1日2回連日投与)の併用投与を検討する第Ⅱ相非盲検非対照試験を実施した。奏効率は、表のとおりであった。

      がん種

      例数(日本人患者数)

      奏効率(%)
      (95%信頼区間)

      甲状腺未分化癌注1)

      36(2)

      56
      (38.1-72.1)

      胆道癌注1)

      43(2)

      53
      (37.7-68.8)

      消化管間質腫瘍注1)

      1(0)

      0

      WHO grade 1又は2の神経膠腫(LGG)注3)

      13(2)

      69
      (38.6-90.9)

      WHO grade 3又は4の神経膠腫(HGG)注4)

      45(1)

      33
      (20.0-49.0)

      小腸癌注1)

      3(0)

      67
      (9.4-99.2)

      有毛細胞白血病注5)

      55(0)

      89
      (77.8-95.9)

      トラメチニブとダブラフェニブ併用療法群における副作用発現頻度は、88.8%(174/196例(日本人患者7例を含む))であった。主な副作用は、発熱41.8%(82/196例)、疲労27.0%(53/196例)、悪寒26.0%(51/196例)であった18),
      注2)プリンアナログによる一次治療に不応若しくは当該治療の1年以内に再発した、又は2つ以上の治療後に増悪した有毛細胞白血病患者が対象とされた。
      注3)RANO LGG(2011)基準による治験責任医師に基づく判定(CR+PR+MR)
      注4)RANO HGG(2010)基準による治験責任医師に基づく判定(CR+PR)
      注5)NCCN のガイドライン、Consensus Resolution Criteria、及び過去の臨床試験の定義から改変した基準による治験責任医師に基づく判定(微小残存病変を伴う又は伴わないCR+PR)

    2. 17.1.7 海外第Ⅰ/Ⅱ相試験(小児X2101試験、パートD)

      BRAF V600変異を有するLGG及びランゲルハンス細胞組織球症(LCH)患者(1歳以上18歳未満)を対象に、トラメチニブ(6歳未満:0.032mg/kg、6歳以上:0.025mg/kg を1日1回連日投与)注6)とダブラフェニブ(12歳未満:2.625mg/kg、12歳以上:2.25mg/kg を1日2回連日投与)の併用投与(①LGG:20例、②LCH:10例)を検討する第Ⅰ/Ⅱ相非盲検非対照試験を実施した。奏効率注7)(%)はそれぞれ①25.0(95%信頼区間:8.7-49.1)及び②60.0(95%信頼区間:26.2-87.8)であった19)
      トラメチニブとダブラフェニブ併用療法群における副作用発現頻度は、100%であった。主な副作用は発熱53.3%(16/30例)、疲労36.7%(11/30例)、皮膚乾燥36.7%(11/30例)であった。
      注6)小児に対する本剤の承認用法・用量は患者の体重のみに基づいて設定されている。
      注7)①はRANO LGG(2011)基準による独立画像判定に基づく判定(CR+PR)、②はHistiocyte Society Evaluations and Treatment Guidelines(Apr. 2009)(Minkov et al. 2009)による治験責任医師に基づく判定(CR+Regressive disease)。

    3. 17.1.8 国際共同第Ⅱ相臨床試験(G2201試験 HGGコホート)

      BRAF V600変異を有する初回治療後に増悪したHGG患者(1歳以上18歳未満)(41例(日本人患者11例を含む))を対象にトラメチニブ(6歳未満:0.032mg/kg、6歳以上:0.025mg/kgを1日1回連日投与)注6)とダブラフェニブ(12歳未満:2.625mg/kg、12歳以上:2.25mg/kgを1日2回連日投与)の併用投与を検討する第Ⅱ相非盲検非対照試験を実施した。奏効率注8)(%)は56.1(95%信頼区間:39.7-71.5)であった20)
      トラメチニブとダブラフェニブ併用療法群における副作用発現頻度は、85.4%(35/41例(日本人患者11例を含む))であった。主な副作用は発熱36.6%(15/41例)、皮膚乾燥24.4%(10/41例)、発疹17.1%(7/41例)であった。,
      注8)RANO HGG(2010)基準による中央判定(CR+PR)

  • 〈低悪性度神経膠腫〉
    1. 17.1.9 国際共同第Ⅱ相臨床試験(G2201試験 LGGコホート)

      BRAF V600変異を有する初回化学療法の適用となる注9)LGG患者注10)(1歳以上18歳未満)を対象に、トラメチニブ(6歳未満:0.032mg/kg、6歳以上:0.025mg/kgを1日1回連日投与)注6)とダブラフェニブ(12歳未満:2.625mg/kg、12歳以上:2.25mg/kgを1日2回連日投与)の併用投与(D+T群73例(日本人患者4例を含む))とカルボプラチン(6週間を1サイクルとして、175mg/m2を第1、8、15及び22日目に静脈内投与)とビンクリスチン(最初の10週間1.5mg/m2を1週間間隔で静脈内投与し、2週間休薬した後、6週間を1サイクルとして、第1、8及び15日目に1.5mg/m2を静脈内投与)の併用投与(C+V群37例(日本人患者2例を含む))を比較した第Ⅱ相無作為化非盲検比較試験を実施した。奏効率注11)(%)は、D+T群で46.6(95%信頼区間:34.8-58.6)、C+V群で10.8(95%信頼区間:3.0-25.4)であり、C+V群と比較してD+T群で統計学的に有意に高かった(片側p値<0.001、Mantel-Haenszelカイ二乗検定)20)
      D+T群における副作用発現頻度は、93.2%(68/73例(日本人患者4例を含む))であった。主な副作用は発熱47.9%(35/73例)、皮膚乾燥21.9%(16/73例)、疲労20.5%(15/73例)であった。,,
      注9)切除後に進行した又は切除の適応のない患者であり、疾患進行に伴う神経学的障害のために化学療法を開始することが適切と判断された患者
      注10)G2201試験の各群に組み入れられた患者の組織型(WHO 分類(改訂2016年))は、以下のとおりであった。
      D+T群:毛様細胞性星細胞腫22例、神経節膠腫21例、LGG・非特定型14例、多形黄色星細胞腫6例、線維形成性乳児星細胞腫、グリア神経細胞腫瘍・非特定型及びびまん性神経膠腫・非特定型各2例、並びに星細胞腫、びまん性星細胞腫及び線維形成性乳児神経節膠腫各1例
      C+V群:毛様細胞性星細胞腫12例、神経節膠腫9例、LGG・非特定型6例、多形黄色星細胞腫4例、並びに星細胞腫、線維形成性乳児星細胞腫、線維形成性星細胞腫・非特定型、びまん性星細胞腫、グリア神経細胞腫瘍・非特定型及び未分化神経外胚葉性腫瘍各1例
      注11)RANO LGG(2011)基準による中央判定(CR+PR)

18. 薬効薬理

18.1 作用機序

トラメチニブは、MEK1及びMEK2の活性化並びにキナーゼ活性を阻害した21)。また、トラメチニブは、A375P F11細胞株を皮下移植したマウスの腫瘍組織において、MEKの基質であるERKのリン酸化を阻害した22)

18.2 抗腫瘍効果

  1. 18.2.1 In vitro
    1. (1) トラメチニブは、BRAF V600E変異型を発現するヒト悪性黒色腫由来細胞株(UACC-257、SK-MEL-1、COLO-829等)及びヒト非小細胞肺癌由来MV522細胞株及びヒト甲状腺未分化癌由来細胞株(8505C及び8305C)、BRAF V600K変異型を発現するヒト悪性黒色腫由来細胞株(WW165、YUMAC、YULAC及びYUSIT1)並びにBRAF V600D変異型を発現するヒト悪性黒色腫由来WM-115細胞株の増殖を抑制した23),24),25)
    2. (2) トラメチニブを、BRAF阻害薬であるダブラフェニブと併用することにより、UACC-257、SK-MEL-1、COLO-829、MV522、8505C、8305C細胞株等に対する増殖抑制作用は各薬剤単独処理と比較して増強した23),24),25)
  2. 18.2.2 In vivo

    トラメチニブは、BRAF V600E変異型を発現するヒト悪性黒色腫由来A375P F11細胞株を皮下移植したマウスにおいて、腫瘍増殖を抑制した。また、トラメチニブとダブラフェニブを併用投与することにより、各薬剤単独投与と比較して腫瘍増殖抑制作用が増強した26)

19. 有効成分に関する理化学的知見

一般的名称

トラメチニブ ジメチルスルホキシド付加物 Trametinib Dimethyl Sulfoxide

化学名

N-(3-{3-Cyclopropyl-5-[(2-fluoro-4-iodophenyl)amino]-6,8-dimethyl-2,4,7-trioxo-3,4,6,7-tetrahydropyrido[4,3-d]pyrimidin-1(2H)-yl}phenyl)acetamide-(methylsulfinyl)methane(1:1)

分子式

C26H23FIN5O4・C2H6OS

分子量

693.53

性状

白色の粉末である。

化学構造式

20. 取扱い上の注意

  • 〈錠〉
    1. 20.1 光及び湿気を避けるため、乾燥剤を同封した元の容器で保管すること。
    2. 20.2 使用の都度密栓すること。

21. 承認条件

  1. 21.1 医薬品リスク管理計画を策定の上、適切に実施すること。

22. 包装

  • メキニスト錠0.5mg

    7錠[プラスチックボトル、乾燥剤入り]

  • メキニスト錠2mg

    7錠[プラスチックボトル、乾燥剤入り]

  • 〈メキニスト小児用ドライシロップ4.7mg〉

    4.7mg[瓶]

23. 主要文献

1) 社内資料:国内第Ⅰ/Ⅱ相臨床試験(MEK116885試験)(2016年3月28日承認、CTD2.7.6 MEK116885試験)[20160215]

2) Leonowens,C.et al.:Br.J.Clin.Pharmacol. 2014;78(3):524-532[20160223]

3) Cox,D.S.et al. :J.Clin.Pharmacol. 2013;53(9):946-954[20160224]

4) 社内資料:In vitro血漿蛋白結合(2016年3月28日承認、CTD2.6.5.6.1)[20160225]

5) 社内資料:In vitro血球移行性(2016年3月28日承認、CTD2.6.5.6.3)[20160226]

6) 社内資料:In vitro代謝酵素(2016年3月28日承認、CTD2.6.4.5.3.2)[20160227]

7) 社内資料:CYP代謝酵素の同定(2016年3月28日承認、CTD2.6.4.5.3)[20160228]

8) Ho,M.Y.K.et al.:Xenobiotica. 2014;44(4):352-368[20160229]

9) 社内資料:CYPに対するin vitro代謝阻害(2016年3月28日承認、CTD2.6.4.5.5.2)[20160230]

10) 社内資料:CYPに対するin vitro酵素誘導(2016年3月28日承認、CTD2.6.4.5.5)[20160231]

11) 社内資料:In vitroトランスポーターの同定(2016年3月28日承認、CTD2.6.4.4.6.3)[20160232]

12) 社内資料:In vitroトランスポーター阻害(2016年3月28日承認、CTD2.6.4.4.7.4)[20160233]

13) 社内資料:ダブラフェニブとトラメチニブの薬物相互作用(2016年3月28日承認、CTD2.7.2.2.1.3)[20160210]

14) 社内資料:海外第Ⅲ相臨床試験(MEK116513試験、COMBI-v)(2016年3月28日承認、CTD2.7.6 MEK116513試験(COMBI-v試験))[20160216]

15) 社内資料:海外第Ⅲ相臨床試験(MEK115306試験、COMBI-d)(2016年3月28日承認、CTD2.7.6 MEK115306試験(COMBI-d試験))[20160217]

16) 社内資料:国際共同第Ⅲ相臨床試験(F2301試験)(2018年7月2日承認、CTD2.7.6.4.1.1)[20180229]

17) 社内資料:国際共同第Ⅱ相臨床試験(E2201試験)(2018年3月23日承認、CTD2.7.6.4.2.1)[20170555]

18) 社内資料:国際共同第Ⅱ相臨床試験(X2201試験)(2023年11月24日承認、CTD2.7.6.4.2.1)[20230079]

19) 社内資料:海外第Ⅰ/Ⅱ相臨床試験(小児X2101試験)(2023年11月24日承認、CTD2.7.6.4.2.3)[20230078]

20) 社内資料:国際共同第Ⅱ相臨床試験(G2201試験)[20240167]

21) 社内資料:MEK阻害作用(2016年3月28日承認、CTD2.6.2.1.1.1)[20160234]

22) 社内資料:マウス異種移植モデルにおける薬理作用(2016年3月28日承認、CTD2.6.2.2.2.1)[20160235]

23) 社内資料:BRAF変異陽性ヒト悪性黒色腫由来細胞株の増殖に及ぼす影響(2016年3月28日承認、CTD2.6.2.2.1.5)[20160219]

24) 社内資料:BRAF変異陽性ヒト非小細胞肺癌由来細胞株の増殖に及ぼす影響(2018年3月23日承認、CTD2.6.2.2.1.1)[20170556]

25) 社内資料:BRAF変異陽性ヒト甲状腺未分化癌由来細胞株の増殖に及ぼす影響(2023年11月24日承認、CTD2.6.2.2.1.1)[20230080]

26) King,A.J.et al.:PLoS One.2013;8(7):e67583[20160221]

24. 文献請求先及び問い合わせ先

ノバルティスファーマ株式会社 ノバルティスダイレクト

〒105-6333 東京都港区虎ノ門1-23-1

26. 製造販売業者等

26.1 製造販売(輸入)

ノバルティスファーマ株式会社

東京都港区虎ノ門1-23-1

〒100-0013 東京都千代田区霞が関3-3-2 新霞が関ビル

画面を閉じる

Copyright © Pharmaceuticals and Medical Devices Agency, All Rights reserved.